当前位置:首页>文档>黄金卷-赢在高考·黄金8卷备战2024年高考数学模拟卷(天津专用)(参考答案)_2.2025数学总复习_2024年新高考资料_4.2024高考模拟预测试卷_837

黄金卷-赢在高考·黄金8卷备战2024年高考数学模拟卷(天津专用)(参考答案)_2.2025数学总复习_2024年新高考资料_4.2024高考模拟预测试卷_837

  • 2026-04-02 05:12:25 2026-03-29 05:54:44

文档预览

黄金卷-赢在高考·黄金8卷备战2024年高考数学模拟卷(天津专用)(参考答案)_2.2025数学总复习_2024年新高考资料_4.2024高考模拟预测试卷_837
黄金卷-赢在高考·黄金8卷备战2024年高考数学模拟卷(天津专用)(参考答案)_2.2025数学总复习_2024年新高考资料_4.2024高考模拟预测试卷_837
黄金卷-赢在高考·黄金8卷备战2024年高考数学模拟卷(天津专用)(参考答案)_2.2025数学总复习_2024年新高考资料_4.2024高考模拟预测试卷_837
黄金卷-赢在高考·黄金8卷备战2024年高考数学模拟卷(天津专用)(参考答案)_2.2025数学总复习_2024年新高考资料_4.2024高考模拟预测试卷_837
黄金卷-赢在高考·黄金8卷备战2024年高考数学模拟卷(天津专用)(参考答案)_2.2025数学总复习_2024年新高考资料_4.2024高考模拟预测试卷_837
黄金卷-赢在高考·黄金8卷备战2024年高考数学模拟卷(天津专用)(参考答案)_2.2025数学总复习_2024年新高考资料_4.2024高考模拟预测试卷_837
黄金卷-赢在高考·黄金8卷备战2024年高考数学模拟卷(天津专用)(参考答案)_2.2025数学总复习_2024年新高考资料_4.2024高考模拟预测试卷_837
黄金卷-赢在高考·黄金8卷备战2024年高考数学模拟卷(天津专用)(参考答案)_2.2025数学总复习_2024年新高考资料_4.2024高考模拟预测试卷_837
黄金卷-赢在高考·黄金8卷备战2024年高考数学模拟卷(天津专用)(参考答案)_2.2025数学总复习_2024年新高考资料_4.2024高考模拟预测试卷_837
黄金卷-赢在高考·黄金8卷备战2024年高考数学模拟卷(天津专用)(参考答案)_2.2025数学总复习_2024年新高考资料_4.2024高考模拟预测试卷_837
黄金卷-赢在高考·黄金8卷备战2024年高考数学模拟卷(天津专用)(参考答案)_2.2025数学总复习_2024年新高考资料_4.2024高考模拟预测试卷_837
黄金卷-赢在高考·黄金8卷备战2024年高考数学模拟卷(天津专用)(参考答案)_2.2025数学总复习_2024年新高考资料_4.2024高考模拟预测试卷_837
黄金卷-赢在高考·黄金8卷备战2024年高考数学模拟卷(天津专用)(参考答案)_2.2025数学总复习_2024年新高考资料_4.2024高考模拟预测试卷_837

文档信息

文档格式
docx
文档大小
0.460 MB
文档页数
9 页
上传时间
2026-03-29 05:54:44

文档内容

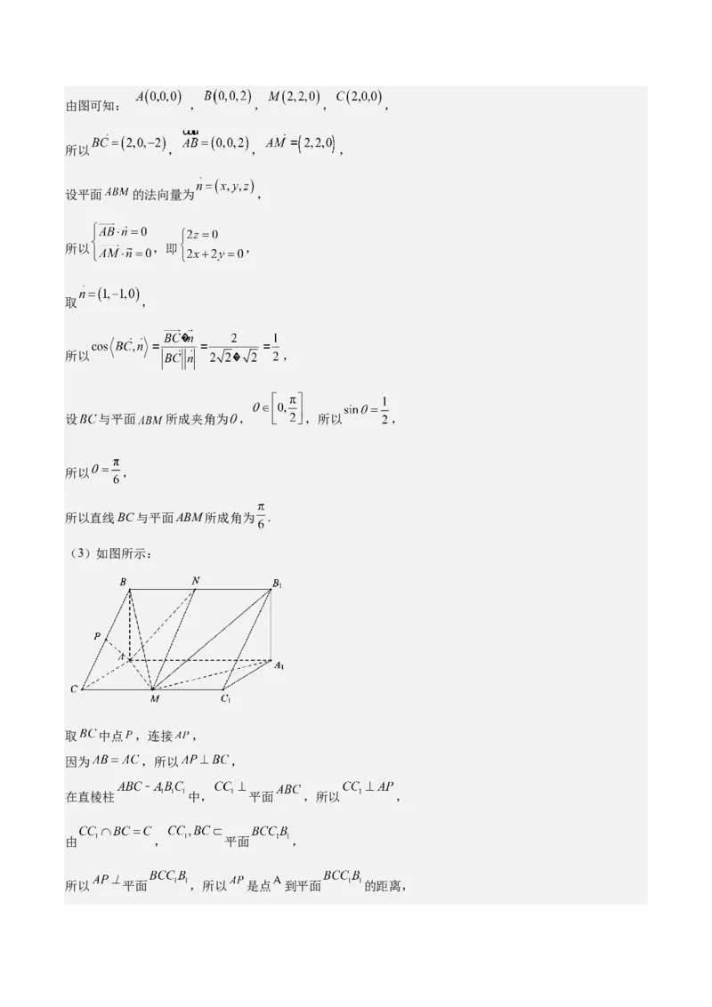
【赢在高考·黄金8卷】备战2024年高考数学模拟卷(天津专用) 黄金卷·参考答案 (考试时间:120分钟 试卷满分:150分) 第 I 卷(选择题) 一、单项选择题:本题共9小题,每小题5分,共45分,在每小题给出的四个选项中,只有一项是符合要 求的。 1 2 3 4 5 6 7 8 9 A B A C C D C C A 第 II 卷(非选择题) 二、填空题:本题共6小题,每小题5分,共30分。 10. 11. 12. 13. 14. 15. , 三、解答题:本题共5小题,共75分,解答应写出必要的文字说明、证明过程及验算步骤。 16.(15分) 【详解】(1)在 ABD中,由余弦定理得 . △ 在 BCD中,由余弦定理得 . △ 因为 ,所以 , 即 , 得 . (2)由题意知 ,得 . 在 中,由余弦定理得 . 令 , ,在 中,由余弦定理得 ,即 . 所以 , 即 , ,当且仅当 时取等号. 所以四边形ABCD周长的最大值为 . 17.(15分) 【详解】(1)在直棱柱 中, 平面 ,所以 , 因为 ,且 , 平面 , 所以 平面 ,因为 平面 ,所以 , 在直棱柱 中, , 因为 , ,且M为 中点,所以 , 所以 ,所以 , 所以 ,因为 , 平面 , 所以 平面 ,因为 平面 ,所以平面 平面 . (2)以 为坐标原点,建立如图所示的空间直角坐标系,由图可知: , , , , 所以 , , , 设平面 的法向量为 , 所以 ,即 , 取 , 所以 , 设 与平面 所成夹角为 , ,所以 , 所以 , 所以直线BC与平面ABM所成角为 . (3)如图所示: 取 中点 ,连接 , 因为 ,所以 , 在直棱柱 中, 平面 ,所以 , 由 , 平面 , 所以 平面 ,所以 是点 到平面 的距离,在 中, ,所以 ,所以 , 设 ,则由 知, , 即 , 解得: , 所以 的长为 . 18.(15分) 【详解】(1)∵离心率 , , ∴ , , 面积的最大值为: , ∴ , ; ∴椭圆方程为 . (2)(i)∵圆 经过椭圆的两个焦点, ∴圆心 为 轴上一点,设点 , ∵圆 与椭圆在第一象限交于点 ,∴ , ∵ , , 三点共线,且 是圆 的一条直径, ∴ , 将 点代入椭圆方程得到 ,即 , ∴直线 的斜率为 .(ii)∵ ,∴直线 的斜率也为 ,设直线 , , 联立 ,得 , ,∴ , , , , 点 到直线 : 的距离 , ∴ . ∴当 ,即 时 的面积最大,此时直线 的方程为: . 19.(15分) 【详解】(1)设等差数列 的公差为 ,等比数列 的公比为 , 由 , ,得 ,则 , 由 , ,得 ,解得 , ,则 , , 所以 , 的通项公式是 , . (2)当 是奇数时, , 当 是偶数时, , 则 ,于是 , 两式相减得: 因此 , , 所以 . (3)由(1)知, ,当且仅当 时取等号, 因此 , 所以 ( ). 20.(15分) 【详解】(1)解:由函数 ,可得 , 且 ,则 , 可得切线方程为 所以 ,所以 ,令 ,则 , 所以 在 单调递增,因此当 时, , 又因为 ,所以当 时, . (2)解:(i)由 等价于 , 令 .注意到, ,依题意, 除了1之外,还有两个零点, 又由 ,令 , 当 时, 恒成立,故这时 在 单调递减,不合题意; 当 时,由题意,首先 在 上有两个零点, 故 ,解得 , 设两个零点为 和 ,有 , ,故可知 , 均大于0, 由此可得 在 单调递增, 单调递减, 单调递增, 而 ,即 , , , 又因为 , , 故 在 内恰有一个零点,在 内恰有一个零点,又1为 的一个零点, 所以 恰有3个零点,亦即 恰有3个零点, 综上,实数 的取值范围是 . (ii)由(i)中 ,由 ,由此可得 .要想证明 , 只需证明 ,而 , 因此只需要证明当 时, , 令 , , 可得 ,故 在 上单调递增, 因此当 时, ,即当 时, , 因此 , 由 ,有 ,即 , 两边同时除以 ,由 ,有 , 即 . 【点睛】方法技巧:已知函数零点(方程根)的个数,求参数的取值范围问题的三种常用方法: 1、直接法,直接根据题设条件构建关于参数的不等式(组),再通过解不等式(组)确定参数的取值范 围2、分离参数法,先分离参数,将问题转化成求函数值域问题加以解决; 3、数形结合法,先对解析式变形,在同一平面直角坐标系中作出函数的图象,然后数形结合求解. 结论拓展:与 和 相关的常见同构模型 ① ,构造函数 或 ; ② ,构造函数 或 ;③ ,构造函数 或 .