当前位置:首页>文档>第1部分专题突破专题15 速率常数、平衡常数的分析应用_05高考化学_新高考复习资料_2023年新高考资料_二轮复习_2023年高考化学二轮复习讲义+课件(新高考版)_学生版

第1部分专题突破专题15 速率常数、平衡常数的分析应用_05高考化学_新高考复习资料_2023年新高考资料_二轮复习_2023年高考化学二轮复习讲义+课件(新高考版)_学生版

  • 2026-04-02 20:35:13 2026-03-29 06:19:33

文档预览

第1部分专题突破专题15 速率常数、平衡常数的分析应用_05高考化学_新高考复习资料_2023年新高考资料_二轮复习_2023年高考化学二轮复习讲义+课件(新高考版)_学生版
第1部分专题突破专题15 速率常数、平衡常数的分析应用_05高考化学_新高考复习资料_2023年新高考资料_二轮复习_2023年高考化学二轮复习讲义+课件(新高考版)_学生版
第1部分专题突破专题15 速率常数、平衡常数的分析应用_05高考化学_新高考复习资料_2023年新高考资料_二轮复习_2023年高考化学二轮复习讲义+课件(新高考版)_学生版
第1部分专题突破专题15 速率常数、平衡常数的分析应用_05高考化学_新高考复习资料_2023年新高考资料_二轮复习_2023年高考化学二轮复习讲义+课件(新高考版)_学生版
第1部分专题突破专题15 速率常数、平衡常数的分析应用_05高考化学_新高考复习资料_2023年新高考资料_二轮复习_2023年高考化学二轮复习讲义+课件(新高考版)_学生版
第1部分专题突破专题15 速率常数、平衡常数的分析应用_05高考化学_新高考复习资料_2023年新高考资料_二轮复习_2023年高考化学二轮复习讲义+课件(新高考版)_学生版
第1部分专题突破专题15 速率常数、平衡常数的分析应用_05高考化学_新高考复习资料_2023年新高考资料_二轮复习_2023年高考化学二轮复习讲义+课件(新高考版)_学生版
第1部分专题突破专题15 速率常数、平衡常数的分析应用_05高考化学_新高考复习资料_2023年新高考资料_二轮复习_2023年高考化学二轮复习讲义+课件(新高考版)_学生版
第1部分专题突破专题15 速率常数、平衡常数的分析应用_05高考化学_新高考复习资料_2023年新高考资料_二轮复习_2023年高考化学二轮复习讲义+课件(新高考版)_学生版
第1部分专题突破专题15 速率常数、平衡常数的分析应用_05高考化学_新高考复习资料_2023年新高考资料_二轮复习_2023年高考化学二轮复习讲义+课件(新高考版)_学生版
第1部分专题突破专题15 速率常数、平衡常数的分析应用_05高考化学_新高考复习资料_2023年新高考资料_二轮复习_2023年高考化学二轮复习讲义+课件(新高考版)_学生版
第1部分专题突破专题15 速率常数、平衡常数的分析应用_05高考化学_新高考复习资料_2023年新高考资料_二轮复习_2023年高考化学二轮复习讲义+课件(新高考版)_学生版

文档信息

文档格式
docx
文档大小
1.691 MB
文档页数
8 页
上传时间
2026-03-29 06:19:33

文档内容

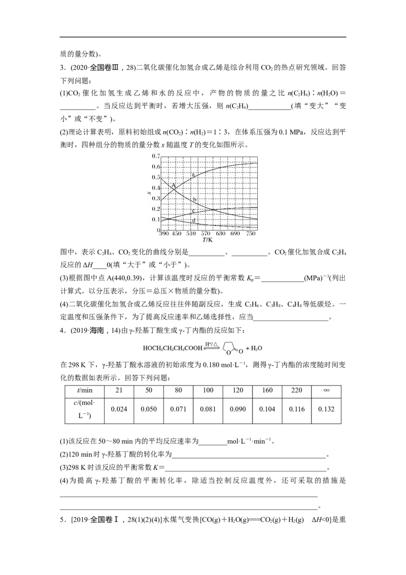
[复习目标] 1.了解速率常数、平衡常数的关系。2.掌握化学平衡常数的计算。 1.化学平衡常数 (1)意义:化学平衡常数K表示反应进行的程度,K越大,反应进行的程度越大。K>105时, 可以认为该反应已经进行完全。K的大小只与温度有关。 (2)化学平衡常数表达式:对于可逆化学反应mA(g)+nB(g)pC(g)+qD(g)在一定温度下达 到化学平衡时,K=。另可用压强平衡常数表示:K =[p(C)为平衡时气体C的分压]。 p (3)依据化学方程式计算平衡常数 ①同一可逆反应中,K ·K =1。 正 逆 ②同一方程式中的化学计量数等倍扩大或缩小n倍,则新平衡常数K′与原平衡常数K间的 关系是K′=Kn或K′=。 ③几个可逆反应方程式相加,得总方程式,则总反应的平衡常数等于各分步反应平衡常数之 积。 2.转化率、产率及分压的计算 反应物的转化率=×100% 产物的产率=×100% 分压=总压×物质的量分数 3.常用的气体定律 同温同体积:p(前)∶p(后)=n(前)∶n(后) 同温同压强:=== 4.速率常数与化学平衡常数关系的应用 温度为T ,在三个容积均为1 L的恒容密闭容器中仅发生反应CH(g)+HO(g)CO(g)+ 1 4 2 3H 2 (g) ΔH=+206.3 kJ·mol-1,该反应中,正反应速率为v正 =k 正 c(CH 4 )·c(H 2 O),逆反应 速率为v逆 =k 逆 c(CO)·c3(H 2 ),k 正 、k 逆 为速率常数,受温度影响。 已知T 时,k =k ,则该温度下,平衡常数K =____;当温度改变为T 时,若k =1.5k , 1 正 逆 1 2 正 逆 则T______(填“>”“=”或“<”)T。 2 1 1.[2020·全国卷Ⅰ,28(2)(3)(4)]硫酸是一种重要的基本化工产品,接触法制硫酸生产中的关 键工序是SO 的催化氧化:SO (g)+O(g)SO (g) ΔH=-98 kJ·mol-1。回答下列问 2 2 2 3题: (2)当 SO (g)、O(g)和 N(g)起始的物质的量分数分别为 7.5%、10.5%和 82%时,在 0.5 2 2 2 MPa、2.5 MPa和5.0 MPa压强下,SO 平衡转化率α随温度的变化如图1所示。反应在5.0 2 MPa、550 ℃时的α=__________,判断的依据是___________________________________。 影响α的因素有__________________________________________________________。 (3)将组成(物质的量分数)为2m% SO(g)、m% O (g)和q% N (g)的气体通入反应器,在温度 2 2 2 t、压强p条件下进行反应。平衡时,若SO 转化率为α,则SO 压强为__________________, 2 3 平衡常数K =__________________(以分压表示,分压=总压×物质的量分数)。 p (4)研究表明,SO 催化氧化的反应速率方程为:v=k(-1)0.8(1-nα′)。式中:k为反应速率 2 常数,随温度t升高而增大;α为SO 平衡转化率,α′为某时刻SO 转化率,n为常数。在 2 2 α′=0.90时,将一系列温度下的k、α值代入上述速率方程,得到v~t曲线,如图2所示。 曲线上v最大值所对应温度称为该α′下反应的最适宜温度t 。tt 后, m m m v逐渐下降。原因是_________________________________________________________ ________________________________________________________________________。 2.[2020·全国卷Ⅱ,28(1)]乙烷在一定条件可发生如下反应:C H(g)===C H(g)+H(g) 2 6 2 4 2 ΔH,相关物质的燃烧热数据如下表所示: 1 物质 C H(g) C H(g) H(g) 2 6 2 4 2 燃烧热ΔH/ -1 560 -1 411 -286 (kJ·mol-1) ①ΔH=________ kJ·mol-1。 1 ②提高该反应平衡转化率的方法有________________、________________。 ③容器中通入等物质的量的乙烷和氢气,在等压下(p)发生上述反应,乙烷的平衡转化率为 α。反应的平衡常数K =______________(用平衡分压代替平衡浓度计算,分压=总压×物 p质的量分数)。 3.(2020·全国卷Ⅲ,28)二氧化碳催化加氢合成乙烯是综合利用CO 的热点研究领域。回答 2 下列问题: (1)CO 催化加氢生成乙烯和水的反应中,产物的物质的量之比 n(C H)∶n(H O)= 2 2 4 2 __________。当反应达到平衡时,若增大压强,则 n(C H)____________(填“变大”“变 2 4 小”或“不变”)。 (2)理论计算表明,原料初始组成n(CO)∶n(H )=1∶3,在体系压强为0.1 MPa,反应达到平 2 2 衡时,四种组分的物质的量分数x随温度T的变化如图所示。 图中,表示C H、CO 变化的曲线分别是__________、__________。CO 催化加氢合成C H 2 4 2 2 2 4 反应的ΔH____0(填“大于”或“小于”)。 (3)根据图中点A(440,0.39),计算该温度时反应的平衡常数K =____________(MPa)-3(列出 p 计算式。以分压表示,分压=总压×物质的量分数)。 (4)二氧化碳催化加氢合成乙烯反应往往伴随副反应,生成 C H 、C H 、C H 等低碳烃。一 3 6 3 8 4 8 定温度和压强条件下,为了提高反应速率和乙烯选择性,应当_____________________。 4.(2019·海南,14)由γ-羟基丁酸生成γ-丁内酯的反应如下: 在298 K下,γ-羟基丁酸水溶液的初始浓度为0.180 mol·L-1,测得γ-丁内酯的浓度随时间变 化的数据如表所示。回答下列问题: t/min 21 50 80 100 120 160 220 ∞ c/(mol· 0.024 0.050 0.071 0.081 0.090 0.104 0.116 0.132 L-1) (1)该反应在50~80 min内的平均反应速率为________mol·L-1·min-1。 (2)120 min时γ-羟基丁酸的转化率为___________________________________________。 (3)298 K时该反应的平衡常数K=_____________________________________________。 (4)为提高 γ-羟基丁酸的平衡转化率,除适当控制反应温度外,还可采取的措施是 ________________________________________________________________________ ________________________________________________________________________。 5.[2019·全国卷Ⅰ,28(1)(2)(4)]水煤气变换[CO(g)+HO(g)===CO(g)+H(g) ΔH<0]是重 2 2 2要的化工过程,主要用于合成氨、制氢以及合成气加工等工业领域中。 回答下列问题: (1)Shibata曾做过下列实验:①使纯H 缓慢地通过处于721 ℃下的过量氧化钴CoO(s),氧化 2 钴部分被还原为金属钴Co(s),平衡后气体中H 的物质的量分数为0.025 0。 2 ②在同一温度下用CO还原CoO(s),平衡后气体中CO的物质的量分数为0.019 2。 根据上述实验结果判断,还原CoO(s)为Co(s)的倾向是CO______H (填“大于”或“小于”)。 2 (2)721 ℃时,在密闭容器中将等物质的量的CO(g)和HO(g)混合,采用适当的催化剂进行 2 反应,则平衡时体系中H 的物质的量分数为__________(填标号)。 2 A.<0.25 B.0.25 C.0.25~0.50 D.0.50 E.>0.50 (4)Shoichi研究了467 ℃、489 ℃时水煤气变换中CO和H 分压随时间变化关系(如图所示), 2 催化剂为氧化铁,实验初始时体系中的 和p 相等、 和 相等。 CO 计算曲线a的反应在30~90 min内的平均速率(a)=________ kPa·min-1。467 ℃时pH 和p 2 CO 随时间变化关系的曲线分别是________、________。489 ℃时 和p 随时间变化关系的 CO 曲线分别是______、______。 6.[2019·全国卷Ⅱ,27(2)(3)改编]环戊二烯( )是重要的有机化工原料,广泛用于农药、 橡胶、塑料等生产。回答下列问题: (2)某温度,等物质的量的碘和环戊烯( )在刚性容器内发生反应[ (g)+I(g)=== 2 (g)+2HI(g) ΔH=+89.3 kJ·mol-1],起始总压为105 Pa,平衡时总压增加了20%,环戊烯 的转化率为________,该反应的平衡常数K =________Pa。达到平衡后,欲增加环戊烯的 p 平衡转化率,可采取的措施有________(填标号)。 A.通入惰性气体 B.提高温度 C.增加环戊烯浓度 D.增加碘浓度 (3)环戊二烯容易发生聚合生成二聚体,该反应为可逆反应。不同温度下,溶液中环戊二烯 浓度与反应时间的关系如图所示,下列说法正确的是______(填标号)。A.T>T 1 2 B.a点的反应速率小于c点的反应速率 C.a点的正反应速率大于b点的逆反应速率 D.b点时二聚体的浓度为0.45 mol·L-1 7.[2022·全国乙卷,28(3)(4)]油气开采、石油化工、煤化工等行业废气普遍含有硫化氢,需 要回收处理并加以利用。回答下列问题: (3)在1 470 K、100 kPa反应条件下,将n(H S)∶n(Ar)=1∶4的混合气进行HS热分解反应。 2 2 平衡时混合气中 HS 与 H 的分压相等,HS 平衡转化率为__________,平衡常数 K = 2 2 2 p __________ kPa。 (4)在1 373 K、100 kPa反应条件下,对于n(H S)∶n(Ar)分别为4∶1、1∶1、1∶4、1∶9、 2 1∶19的HS-Ar混合气,热分解反应过程中HS转化率随时间的变化如图所示。 2 2 ①n(H S)∶n(Ar)越小,HS平衡转化率__________,理由是_______________________ 2 2 ________________________________________________________________________。 ②n(H S)∶n(Ar)=1∶9对应图中曲线________,计算其在0~0.1 s之间,HS分压的平均变 2 2 化率为__________ kPa·s-1。 8.(2022·山东,20)利用γ-丁内酯(BL)制备1,4-丁二醇(BD),反应过程中伴有生成四氢呋喃 (THF)和1-丁醇(BuOH)的副反应,涉及反应如下: 已知:①反应Ⅰ为快速平衡,可认为不受慢反应Ⅱ、Ⅲ的影响;②因反应Ⅰ在高压H 氛围 2下进行,故H 压强近似等于总压。回答下列问题: 2 (1)以5.0×10-3 mol BL或BD为初始原料,在493 K、3.0×103 kPa的高压H 氛围下,分别 2 在恒压容器中进行反应。达平衡时,以 BL为原料,体系向环境放热X kJ;以BD为原料, 体系从环境吸热 Y kJ。忽略副反应热效应,反应Ⅰ焓变 ΔH(493 K,3.0×103 kPa)= ________kJ·mol-1。 (2)初始条件同上。x 表示某物种i的物质的量与除H 外其他各物种总物质的量之比,x 和 i 2 BL x 随时间t变化关系如图甲所示。实验测得X