当前位置:首页>文档>专题07相似三角形中的基本模型之十字架模型解读与提分精练(苏科版)(教师版)_初中数学_九年级数学下册(人教版)_常见几何模型全归纳-V13_2025版

专题07相似三角形中的基本模型之十字架模型解读与提分精练(苏科版)(教师版)_初中数学_九年级数学下册(人教版)_常见几何模型全归纳-V13_2025版

  • 2026-04-06 03:07:43 2026-04-06 02:53:13

文档预览

专题07相似三角形中的基本模型之十字架模型解读与提分精练(苏科版)(教师版)_初中数学_九年级数学下册(人教版)_常见几何模型全归纳-V13_2025版
专题07相似三角形中的基本模型之十字架模型解读与提分精练(苏科版)(教师版)_初中数学_九年级数学下册(人教版)_常见几何模型全归纳-V13_2025版
专题07相似三角形中的基本模型之十字架模型解读与提分精练(苏科版)(教师版)_初中数学_九年级数学下册(人教版)_常见几何模型全归纳-V13_2025版
专题07相似三角形中的基本模型之十字架模型解读与提分精练(苏科版)(教师版)_初中数学_九年级数学下册(人教版)_常见几何模型全归纳-V13_2025版
专题07相似三角形中的基本模型之十字架模型解读与提分精练(苏科版)(教师版)_初中数学_九年级数学下册(人教版)_常见几何模型全归纳-V13_2025版
专题07相似三角形中的基本模型之十字架模型解读与提分精练(苏科版)(教师版)_初中数学_九年级数学下册(人教版)_常见几何模型全归纳-V13_2025版
专题07相似三角形中的基本模型之十字架模型解读与提分精练(苏科版)(教师版)_初中数学_九年级数学下册(人教版)_常见几何模型全归纳-V13_2025版
专题07相似三角形中的基本模型之十字架模型解读与提分精练(苏科版)(教师版)_初中数学_九年级数学下册(人教版)_常见几何模型全归纳-V13_2025版
专题07相似三角形中的基本模型之十字架模型解读与提分精练(苏科版)(教师版)_初中数学_九年级数学下册(人教版)_常见几何模型全归纳-V13_2025版
专题07相似三角形中的基本模型之十字架模型解读与提分精练(苏科版)(教师版)_初中数学_九年级数学下册(人教版)_常见几何模型全归纳-V13_2025版
专题07相似三角形中的基本模型之十字架模型解读与提分精练(苏科版)(教师版)_初中数学_九年级数学下册(人教版)_常见几何模型全归纳-V13_2025版
专题07相似三角形中的基本模型之十字架模型解读与提分精练(苏科版)(教师版)_初中数学_九年级数学下册(人教版)_常见几何模型全归纳-V13_2025版
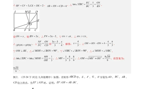
专题07相似三角形中的基本模型之十字架模型解读与提分精练(苏科版)(教师版)_初中数学_九年级数学下册(人教版)_常见几何模型全归纳-V13_2025版
专题07相似三角形中的基本模型之十字架模型解读与提分精练(苏科版)(教师版)_初中数学_九年级数学下册(人教版)_常见几何模型全归纳-V13_2025版
专题07相似三角形中的基本模型之十字架模型解读与提分精练(苏科版)(教师版)_初中数学_九年级数学下册(人教版)_常见几何模型全归纳-V13_2025版
专题07相似三角形中的基本模型之十字架模型解读与提分精练(苏科版)(教师版)_初中数学_九年级数学下册(人教版)_常见几何模型全归纳-V13_2025版
专题07相似三角形中的基本模型之十字架模型解读与提分精练(苏科版)(教师版)_初中数学_九年级数学下册(人教版)_常见几何模型全归纳-V13_2025版
专题07相似三角形中的基本模型之十字架模型解读与提分精练(苏科版)(教师版)_初中数学_九年级数学下册(人教版)_常见几何模型全归纳-V13_2025版
专题07相似三角形中的基本模型之十字架模型解读与提分精练(苏科版)(教师版)_初中数学_九年级数学下册(人教版)_常见几何模型全归纳-V13_2025版
专题07相似三角形中的基本模型之十字架模型解读与提分精练(苏科版)(教师版)_初中数学_九年级数学下册(人教版)_常见几何模型全归纳-V13_2025版
专题07相似三角形中的基本模型之十字架模型解读与提分精练(苏科版)(教师版)_初中数学_九年级数学下册(人教版)_常见几何模型全归纳-V13_2025版
专题07相似三角形中的基本模型之十字架模型解读与提分精练(苏科版)(教师版)_初中数学_九年级数学下册(人教版)_常见几何模型全归纳-V13_2025版
专题07相似三角形中的基本模型之十字架模型解读与提分精练(苏科版)(教师版)_初中数学_九年级数学下册(人教版)_常见几何模型全归纳-V13_2025版
专题07相似三角形中的基本模型之十字架模型解读与提分精练(苏科版)(教师版)_初中数学_九年级数学下册(人教版)_常见几何模型全归纳-V13_2025版
专题07相似三角形中的基本模型之十字架模型解读与提分精练(苏科版)(教师版)_初中数学_九年级数学下册(人教版)_常见几何模型全归纳-V13_2025版
专题07相似三角形中的基本模型之十字架模型解读与提分精练(苏科版)(教师版)_初中数学_九年级数学下册(人教版)_常见几何模型全归纳-V13_2025版
专题07相似三角形中的基本模型之十字架模型解读与提分精练(苏科版)(教师版)_初中数学_九年级数学下册(人教版)_常见几何模型全归纳-V13_2025版
专题07相似三角形中的基本模型之十字架模型解读与提分精练(苏科版)(教师版)_初中数学_九年级数学下册(人教版)_常见几何模型全归纳-V13_2025版
专题07相似三角形中的基本模型之十字架模型解读与提分精练(苏科版)(教师版)_初中数学_九年级数学下册(人教版)_常见几何模型全归纳-V13_2025版
专题07相似三角形中的基本模型之十字架模型解读与提分精练(苏科版)(教师版)_初中数学_九年级数学下册(人教版)_常见几何模型全归纳-V13_2025版
专题07相似三角形中的基本模型之十字架模型解读与提分精练(苏科版)(教师版)_初中数学_九年级数学下册(人教版)_常见几何模型全归纳-V13_2025版
专题07相似三角形中的基本模型之十字架模型解读与提分精练(苏科版)(教师版)_初中数学_九年级数学下册(人教版)_常见几何模型全归纳-V13_2025版
专题07相似三角形中的基本模型之十字架模型解读与提分精练(苏科版)(教师版)_初中数学_九年级数学下册(人教版)_常见几何模型全归纳-V13_2025版
专题07相似三角形中的基本模型之十字架模型解读与提分精练(苏科版)(教师版)_初中数学_九年级数学下册(人教版)_常见几何模型全归纳-V13_2025版
专题07相似三角形中的基本模型之十字架模型解读与提分精练(苏科版)(教师版)_初中数学_九年级数学下册(人教版)_常见几何模型全归纳-V13_2025版
专题07相似三角形中的基本模型之十字架模型解读与提分精练(苏科版)(教师版)_初中数学_九年级数学下册(人教版)_常见几何模型全归纳-V13_2025版
专题07相似三角形中的基本模型之十字架模型解读与提分精练(苏科版)(教师版)_初中数学_九年级数学下册(人教版)_常见几何模型全归纳-V13_2025版
专题07相似三角形中的基本模型之十字架模型解读与提分精练(苏科版)(教师版)_初中数学_九年级数学下册(人教版)_常见几何模型全归纳-V13_2025版
专题07相似三角形中的基本模型之十字架模型解读与提分精练(苏科版)(教师版)_初中数学_九年级数学下册(人教版)_常见几何模型全归纳-V13_2025版
专题07相似三角形中的基本模型之十字架模型解读与提分精练(苏科版)(教师版)_初中数学_九年级数学下册(人教版)_常见几何模型全归纳-V13_2025版
专题07相似三角形中的基本模型之十字架模型解读与提分精练(苏科版)(教师版)_初中数学_九年级数学下册(人教版)_常见几何模型全归纳-V13_2025版
专题07相似三角形中的基本模型之十字架模型解读与提分精练(苏科版)(教师版)_初中数学_九年级数学下册(人教版)_常见几何模型全归纳-V13_2025版
专题07相似三角形中的基本模型之十字架模型解读与提分精练(苏科版)(教师版)_初中数学_九年级数学下册(人教版)_常见几何模型全归纳-V13_2025版
专题07相似三角形中的基本模型之十字架模型解读与提分精练(苏科版)(教师版)_初中数学_九年级数学下册(人教版)_常见几何模型全归纳-V13_2025版
专题07相似三角形中的基本模型之十字架模型解读与提分精练(苏科版)(教师版)_初中数学_九年级数学下册(人教版)_常见几何模型全归纳-V13_2025版
专题07相似三角形中的基本模型之十字架模型解读与提分精练(苏科版)(教师版)_初中数学_九年级数学下册(人教版)_常见几何模型全归纳-V13_2025版
专题07相似三角形中的基本模型之十字架模型解读与提分精练(苏科版)(教师版)_初中数学_九年级数学下册(人教版)_常见几何模型全归纳-V13_2025版
专题07相似三角形中的基本模型之十字架模型解读与提分精练(苏科版)(教师版)_初中数学_九年级数学下册(人教版)_常见几何模型全归纳-V13_2025版
专题07相似三角形中的基本模型之十字架模型解读与提分精练(苏科版)(教师版)_初中数学_九年级数学下册(人教版)_常见几何模型全归纳-V13_2025版
专题07相似三角形中的基本模型之十字架模型解读与提分精练(苏科版)(教师版)_初中数学_九年级数学下册(人教版)_常见几何模型全归纳-V13_2025版
专题07相似三角形中的基本模型之十字架模型解读与提分精练(苏科版)(教师版)_初中数学_九年级数学下册(人教版)_常见几何模型全归纳-V13_2025版
专题07相似三角形中的基本模型之十字架模型解读与提分精练(苏科版)(教师版)_初中数学_九年级数学下册(人教版)_常见几何模型全归纳-V13_2025版
专题07相似三角形中的基本模型之十字架模型解读与提分精练(苏科版)(教师版)_初中数学_九年级数学下册(人教版)_常见几何模型全归纳-V13_2025版
专题07相似三角形中的基本模型之十字架模型解读与提分精练(苏科版)(教师版)_初中数学_九年级数学下册(人教版)_常见几何模型全归纳-V13_2025版
专题07相似三角形中的基本模型之十字架模型解读与提分精练(苏科版)(教师版)_初中数学_九年级数学下册(人教版)_常见几何模型全归纳-V13_2025版
专题07相似三角形中的基本模型之十字架模型解读与提分精练(苏科版)(教师版)_初中数学_九年级数学下册(人教版)_常见几何模型全归纳-V13_2025版
专题07相似三角形中的基本模型之十字架模型解读与提分精练(苏科版)(教师版)_初中数学_九年级数学下册(人教版)_常见几何模型全归纳-V13_2025版
专题07相似三角形中的基本模型之十字架模型解读与提分精练(苏科版)(教师版)_初中数学_九年级数学下册(人教版)_常见几何模型全归纳-V13_2025版
专题07相似三角形中的基本模型之十字架模型解读与提分精练(苏科版)(教师版)_初中数学_九年级数学下册(人教版)_常见几何模型全归纳-V13_2025版
专题07相似三角形中的基本模型之十字架模型解读与提分精练(苏科版)(教师版)_初中数学_九年级数学下册(人教版)_常见几何模型全归纳-V13_2025版
专题07相似三角形中的基本模型之十字架模型解读与提分精练(苏科版)(教师版)_初中数学_九年级数学下册(人教版)_常见几何模型全归纳-V13_2025版
专题07相似三角形中的基本模型之十字架模型解读与提分精练(苏科版)(教师版)_初中数学_九年级数学下册(人教版)_常见几何模型全归纳-V13_2025版
专题07相似三角形中的基本模型之十字架模型解读与提分精练(苏科版)(教师版)_初中数学_九年级数学下册(人教版)_常见几何模型全归纳-V13_2025版
专题07相似三角形中的基本模型之十字架模型解读与提分精练(苏科版)(教师版)_初中数学_九年级数学下册(人教版)_常见几何模型全归纳-V13_2025版
专题07相似三角形中的基本模型之十字架模型解读与提分精练(苏科版)(教师版)_初中数学_九年级数学下册(人教版)_常见几何模型全归纳-V13_2025版
专题07相似三角形中的基本模型之十字架模型解读与提分精练(苏科版)(教师版)_初中数学_九年级数学下册(人教版)_常见几何模型全归纳-V13_2025版

文档信息

文档格式
docx
文档大小
6.023 MB
文档页数
62 页
上传时间
2026-04-06 02:53:13

文档内容

专题07 相似三角形中的基本模型之十字架模型 几何学是数学的一个重要分支,研究的是形状、大小和相对位置等几何对象的性质和变换。在初中几 何学中,十字模型就是综合了上述知识的一个重要模型。 本专题就十字模型相关的考点作梳理,帮助学 生更好地理解和掌握。 大家在掌握几何模型时,多数同学会注重模型结论,而忽视几何模型的证明思路及方法,导致本末倒 置。要知道数学题目的考察不是一成不变的,学数学更不能死记硬背,要在理解的基础之上再记忆,这样 才能做到对于所学知识的灵活运用,并且更多时候能够启发我们解决问题的关键就是基于已有知识、方法 的思路的适当延伸、拓展,所以学生在学习几何模型要能够做到的就是:①认识几何模型并能够从题目中 提炼识别几何模型;②记住结论,但更为关键的是记住证明思路及方法;③ 明白模型中常见的易错点, 因为多数题目考察的方面均源自于易错点。当然,以上三点均属于基础要求,因为题目的多变性,若想在 几何学习中突出,还需做到的是,在平时的学习过程中通过大题量的训练,深刻认识几何模型,认真理解 每一个题型,做到活学活用! ....................................................................................................................................................2 模型1.矩形中的十字架模型(相似模型)...................................................................................................2 模型2.等边三角形中的斜十字模型(相似模型).......................................................................................9 模型3.直角三角形中的十字模型(相似模型).........................................................................................13 ..................................................................................................................................................20模型1.矩形中的十字架模型(相似模型) 矩形的十字架模型:矩形相对两边上的任意两点联结的线段是互相垂直的,此时这两条线段的的比等于矩 形的两边之比。通过平移线段构造基本图形,再借助相似三角形和平行四边的性质求得线段间的比例关系。 条件:如图1,在矩形ABCD中,若E是AB上的点,且DE⊥AC,结论: . 证明: 四边形 为矩形, , ; DE⊥AC, , , , , . 条件:如图2,在矩形ABCD中,若E、F分别是AB、CD上的点,且EF⊥AC,结论: . 证明:如图,过点F作 于点G,则 ; 四边形 为矩形, , 四边形 为矩形, ; ; EF⊥AC, , ;, , ,易证:DC=AB,FG=BC, . 条件:如图3,矩形ABCD中,若E、F、M、N分别是AB、CD、AD、BC上的点,且EF⊥MN,结论: . 证明:如图:过点N、F作 、 垂直 , ; 四边形 为矩形, , 四边形 为矩形, ; ∵EF⊥MN, ,∴ ; 又∵ (对顶角相等),∴ ; ∴ , ,易证:NH=AB,FG=BC, . 例1.(2024·山西·三模)如图,在矩形 中,E、F分别是边 的中点, 与 相交于点O, 过点O作 交AD于点M,若 ,则 的长为 . 【答案】 【分析】题目主要考查矩形的性质,相似三角形的判定和性质,解三角形,理解题意,作出辅助线,综合 运用这些知识点是解题关键.过点O作 交AD、 于点H、N,根据题意得出, ,则 ,设 ,则 , 再由相似三角形的判定和性质得出 ,确定 ,利用等量代换得出 ,再次 利用正切函数及勾股定理即可求解. 【详解】解:过点O作 交 于点H、N,如图所示: ∵ ,E、F分别是边 的中点, ∴ , ,∴ , 设 ,则 ,∴ ,∵ ,∴ , ∴ ,∴ 即 ,解得: ,∴ , ∵ ,∴ ,∵ ,∴ , ∴ ,∴ ,∴ ,故答案为: . 例2.(23·24下·河北·九年级期中)如图,在矩形 中, 、 、 、 分别为 、 、 、 边上的点,当 时,证明: . 【答案】见解析 【分析】过点 作 于点 ,过点 作 于点 ,先根据余角的性质证明,再证明 即可证明结论成立. 【详解】证明:如解图,过点 作 于点 ,过点 作 于点 , ∵ ,且四边形 为矩形,∴ ,∴ ,∴ . 又∵ ,∴ ,∴ . 又∵ ,∴ ,∴ . 【点睛】本题考查了余角的性质,矩形的性质,以及相似三角形的判定与性质,熟练掌握相似三角形的判 定与性质是解答本题的关键. 例3.(23-24江苏学年九年级月考)【探究证明】(1)某班数学课题学习小组对矩形内两条互相垂直的 线段与矩形两邻边的数量关系进行探究,提出下列问题,请你给出证明:如图①,在矩形 中, , 分别交 于点E、F, 分别交 于点G、H,求证: ; 【结论应用】(2)如图②,将矩形 沿 折叠,使得点B和点D重合,若 ,求折痕 的长; 【拓展运用】(3)如图③,将矩形 沿 折叠.使得点D落在 边上的点G处,点C落在点P处, 得到四边形 ,若 ,求 的长. 【答案】(1)见解析;(2) ;(3) 【分析】(1)如图,过 作 交 于 ,过 作 交 于 ,由矩形 ,可得, ,则四边形 、 均为平行四边形, , ,证明 ,即可证明 ,则 , ; (2)由矩形的性质可得 ,由勾股定理得 ,由(1)可知, , 即 ,计算求解即可;(3)如图,过点 作 交 延长线于 ,由(1)可知, ,即 ,解得 ,由勾股定理得 ,由折叠的性质可得, , , ,设 ,则 ,在 中,结合勾股定理即可解得 ,即 ,再证明 ,则 ,计算求解 和 的值,进而可得 的长. 【详解】解:(1)如图,过 作 交 于 ,过 作 交 于 , ∵四边形 是矩形,∴ , , , ∴四边形 、 均为平行四边形,∴ , , ∵ , , ∴ , ∴ ,∴ , 又∵ ,∴ ,∴ ,∴ ; (2)如图所示,连接 ,∵四边形 是矩形,∴ , , 由勾股定理得 ,∵将矩形 沿 折叠,使得点B和点D重合,∴ , 由(1)可知, ,即 ,∴ ,∴ 的长 . (3)如图所示,过点 作 交 延长线于 ,由折叠的性质可得 , 由(1)可知, ,即 ,解得 , ∴在 中,由勾股定理得 ,∴ , 由折叠的性质可得, , , , 设 ,则 , ∴在 中,由勾股定理得 ,∴ ,解得 ,∴ , , ∵ ,∴ , 又∵ ,∴ , ∴ ,即 ,解得 , ,∴ , 在 中,由勾股定理得 . 【点睛】本题考查了正方形、矩形的性质,全等三角形的判定与性质,相似三角形的判定与性质,平行四 边形的判定与性质,勾股定理,折叠等知识.解题的关键在于对知识的熟练掌握与灵活运用以及正确作出 辅助线构造相似三角形. 例4.(23·24下·江苏·九年级期中)某数学课外兴趣小组成员在研究下面三个有联系的问题,请你帮助他 们解决:(1)如图1,矩形ABCD中,AB=a,BC=b,点E,F分别在AB,DC上,点G,H分别在AD,BC上且 EF⊥GH,求 的值.(2)如图2,矩形ABCD中,AB=4,BC=3,将矩形对折,使得B、D重叠,折 痕为EF,求EF的长.(3)如图3,四边形ABCD中,∠ABC=90°,AB=AD=8,BC=CD=4, AM⊥DN,点M,N分别在边BC,AB上,求 的值. 【答案】(1) ;(2) ;(3) 【分析】(1)如图1,过点G作GM⊥CB于M,过点E作EN⊥CD于点N,可证四边形DCMG是矩形, 四边形ABMG是矩形,四边形AEND是矩形,四边形BCNE是矩形,可得GM=CD=AB,EN=AD=BC, 通过证明 EFN∽△GHM,可求解; (2)如图△2,连接BD交EF于点O,DE,BF,可证四边形DFBE是菱形,可得BO=DO,EO=FO, BD⊥EF,由勾股定理可求DE,DO,EO的长,即可求EF的长; (3)过点D作EF⊥BC,交BC的延长线于F,过点A作AE⊥EF,连接AC,由“SSS”可证 ACD≌△ACB,可得∠ADC=∠ABC=90°,通过证明 ADE∽△DCF,可得AE=2DF,DE=2CF,由勾股 △定理可求DE的长,即可求解. △ 【详解】(1)如图1,过点G作GM⊥CB于M,过点E作EN⊥CD于点N, ∵四边形ABCD是矩形,∴∠A=∠B=∠C=∠D=90°,AB=CD,AD=BC,且GM⊥BC,EN⊥CD, ∴四边形DCMG是矩形,四边形ABMG是矩形,四边形AEND是矩形,四边形BCNE是矩形, ∴GM=CD=AB,EN=AD=BC, ∵EF⊥GH,∠BCD=90°,∴∠EFC+∠GHC=180°,且∠DFE+∠EFC=180°, ∴∠EFN=∠GHC,且∠ENF=∠GMH=90°, ∴△EFN∽△GHM,∴ ; (2)如图2,连接BD交EF于点O,DE,BF,∵将矩形对折,使得B、D重叠,∴BE=DE,∠DEF=∠BEF, ∵AB∥CD,∴∠DFE=∠BEF,∴∠DFE=∠DEF, ∴DF=DE,且BE=DE,∴BE=DF,且AB∥CD, ∴四边形DFBE是平行四边形,且DF=DE, ∴四边形DFBE是菱形,∴BO=DO,EO=FO,BD⊥EF, ∵DE2=AE2+AD2,∴DE2=9+(4﹣DE)2,∴DE= , ∵BD= = =5,∴DO=BO= , ∴OE= = = ,∴EF=2OE= ; (3)如图3,过点D作EF⊥BC,交BC的延长线于F,过点A作AE⊥EF,连接AC, ∵∠ABC=90°,AE⊥EF,EF⊥BC,∴四边形ABFE是矩形, ∴∠E=∠F=90°,AE=BF,EF=AB=8, ∵AD=AB,BC=CD,AC=AC,∴△ACD≌△ACB(SSS) ∴∠ADC=∠ABC=90°,∴∠ADE+∠CDF=90°,且∠ADE+∠EAD=90°, ∴∠EAD=∠CDF,且∠E=∠F=90°,∴△ADE∽△DCF, ∴ ,∴AE=2DF,DE=2CF,∵DC2=CF2+DF2,∴16=CF2+(8﹣2CF)2, ∴DE=4(不合题意舍去),DE= ,∴BF=BC+CF= =AE,由(1)可知: = = . 【点睛】此题是相似形综合题,主要考查了矩形的性质,全等三角形的判定和性质,相似三角形的判定和 性质,勾股定理,添加恰当辅助线构造相似三角形或全等三角形是本题的关键. 模型2.等边三角形中的斜十字模型(相似模型) 条件:如图1,已知等边△ABC,BD=EC(或CD=AE), 结论:①AD=BE,②AD和BE夹角为60°,③ 。证明:如图,在等边 中, , , 在 与 中, , ,∴AD=BE, ; ,∴AD和BE夹角为60°; , , ,同理: , 例1.(2024·江西上饶·一模)课本再现:(1)如图1, 分别是等边三角形的两边 上的点,且 .求证: .下面是小涵同学的证明过程: 证明: 是等边三角形, . , , . 小涵同学认为此题还可以得到另一个结论: 的度数是______; 迁移应用:(2)如图2,将图1中的 延长至点 ,使 ,连接 .利用(1)中的结论完 成下面的问题.①求证: ;②若 ,试探究 与 之间的数量关系. 【答案】(1) ;(2)①见解析;②【分析】本题主要考查了等边三角形的性质,全等三角形的判定和性质,相似三角形的判定和性质,熟练 掌握性质是解题的关键.(1)由全等三角形的性质可得 ,由外角的性质可求解; (2)①证明 ,求出 ,即可得到答案;②证明 ,根据三 角形相似的性质即可得到答案. 【详解】(1)解: , , , ,故答案为: ; (2)证明:①由(1)知 , , 又 , 是等边三角形, , , , 又 , , , , , , ; ② , , , , , 又 , , ; 例2.(23·24下·无锡·阶段练习)如图,在边长为6的等边 中, 、 分别为边 、 上的点, 与 相交于点 ,若 ,则 = °;则 的周长为 . 【答案】 【分析】根据 证 ,得出 ,在 上取一点 使 ,则 ,证 ,根据比例关系设 ,则 ,作 延长线于 ,利 用勾股定理列方程求解即可得出 和 的长. 【详解】解: 是等边三角形, , , 在 和 中, , ,, , 在 上取一点 使 ,则 , , 是等边三角形, ,即 , , ,设 ,则 ,作 延长线于 , , , , , , 在 中, ,即 ,解得 或 (舍去), , , 的周长为 , 故答案为: , . 【点睛】本题主要考查全等三角形的判定和性质,相似三角形的判定和性质,勾股定理,解直角三角形等 知识,熟练掌握这些基础知识是解题的关键. 例3.(23·24上·衢州·期末)如图,在等边 ABC的AC,BC边上各取一点E,D,使AE=CD,AD,BE 相交于点O.(1)求证:AD=BE;(2)若BO=6OE ,求CD的长. (3)在(2)的条件下,动点P在CE上从点C向终点E匀速运动,点Q在BC上,连结OP,PQ,满足 ∠OPQ=60°,记PC为x,DQ的长为y,求y关于x的函数表达式.【答案】(1)见解析;(2)2;(3) 【分析】(1)只需要证明△BAE≌△ACD即可得到 答案 ; (2)证明△CAD∽△OAE得到 ,然后求出OE和AD的长即可; (3)过点E作EF⊥AB于F,过点O作OG∥AB交AC于G,先求出∴ , , ,从而得到三角形ABC的边长为6,再 证明△OGE∽△BAE,得到 , , , ,最后证明△PQC∽△OPG, ,由此求解即可. 【详解】解:(1)∵△ABC是等边三角形,∴AB=AC,∠BAC=∠ACB=60°, 又∵AE=CD,∴△BAE≌△ACD(SAS),∴AD=BE; (2)由(1)得△BAE≌△ACD,∴∠ABO=∠CAD,AD=BE ∴∠BAO+∠ABO=∠AOE=∠EAO+∠BAO=∠BAC=∠C=60°, 又∵∠CAD=∠OAE,∴△CAD∽△OAE,∴ , ∵ ,∴ ,∴ , ∵CD=AE,∴ ,∴CD=2;(3)如图所示,过点E作EF⊥AB于F,过点O作OG∥AB交AC于G, ∵∠FAG=60°,∠AEF=30°,∴ ,∴ , ∴ ,∴ , ∵OG∥AB,∴△OGE∽△BAE,∠OGE=∠BAC=60° ∴ ,∴ , ,∴ , ∵∠AOE=60°,∴∠OEP=∠AOE+∠OAE=60°+∠OAE, ∵∠EPQ=∠C+∠PQC=∠OPQ+∠OPE,∠C=∠OPQ=60°, ∴∠OPE=∠CQP,∴△PQC∽△OPG,∴ , ∵ , ∴ ,∴ ,∵ ,∴ . 【点睛】本题主要考查了等边三角形的性质,全等三角形的性质与判定,相似三角形的性质与判定,含30 度角的直角三角形,勾股定理,解题的关键在于能够熟练掌握相关知识进行求解. 模型3.直角三角形中的十字模型(相似模型) 该模型主要分等腰直角三角形和普通直角三角形两类情况讨论。 1)等腰直角三角形中的十字模型(全等+相似): 条件:如图2,在△ABC中,AB=BC,AB⊥BC,结论:①D为BC中点,②BF⊥AD,③AF:FC=2:1, ④∠BDA=∠CDF,⑤∠AFB=∠CFD,⑥∠AEC=135°,⑦ ,以上七个结论中,可“知二得五”。证明:不妨把①②作为条件,来证明③--⑦的五个结论。 如图1,过点C作BC的垂线交BF于点H,过点A作AG垂直于CH,∴∠BCH=90°, ∴∠CBH+∠CHB=90° ∵AB⊥BC,∴∠ABC=90°,∴∠BCH=∠ABC=90°,∵BF⊥AD,∴∠CBH+∠ADB=90°, ∴∠CHB=∠ADB, ∵AB=BC,∴ ,∴BD=CH,∵D为BC中点,∴BD=DC=CH,∴AB=2CH, 易证:四边形ABCG为正方形,即AB//CG,∴ ,∴AF:CF=BA:HC=2:1 ∵AB=BC,AB⊥BC,∴∠BCA=45°,∵∠BCH=90°,∴∠BCA=∠GCA=45°, ∵DC=CH,CF=CF,∴ ,∴∠CHF=∠CDF,∠CFH=∠CFD, ∴∠BDA=∠CDF,∵∠CFH=∠AFB,∴∠AFB=∠CFD, 如图2,过点C作CQ垂直于BF,∴∠BQC=90°, ∵AB⊥BC,∴∠ABD=∠BQC=90°,∴∠ABE+∠QBC=90°,∵AB=BC,∴ , ∴CQ=BE,AE=BQ,∵BF⊥AD,CQ⊥BF,易证: ,∴EA:QC=AF:CF=2:1。 ∴AE=BQ=BE+EQ=CQ+EQ,∴CQ=EQ,∴ QEC为等腰直角三角形,∴∠QEC=45°, ∴∠AEC=135°, 。 2)直角三角形中的十字模型: 如图3,在三角形ABC中,BC=kAB,AB⊥BC,①D为BC中点,②BF⊥AD,③AF:FC=2:k2, ④∠BDA=∠CDF,⑤∠AFB=∠CFD,⑥∠AEC=135°,⑦ ,以上七个结论中,可“知二得五”。 (全等+相似)证明:不妨把①②作为条件,来证明③--⑦的五个结论。 由于该模型证明主要结合了前面矩形中的十字架模型和等腰直角三角形中的十字架模型,故此不再详细证 明,有兴趣的同学可以自行证明即可。 例1.(23·24下·重庆·九年级期中)如图,在 中, , ,点 为 边上的中 点,连接 ,过点 作 于点 ,延长 交 于点 ,求 的值. 【答案】2 【分析】过点 作 的平行线,过点 作 的平行线相交于点 ,延长 交 于点 .先证明 ,得到 ,然后根据及平行线分线段成比例定理求解即可. 【详解】解:如解图,过点 作 的平行线,过点 作 的平行线相交于点 ,延长 交 于点 . ∵ , ,∴四边形 为正方形, ∴ ,∴ , 又∵ ,∴ ,∴ , 又∵ ,∴ ,∴ . 又∵ ,∴ .【点睛】本题主要考查了正方形的判定与性质,全等三角形的判定与性质,以及平行线分线段成比例定理, 解题的关键是作辅助线,构造全等三角形,灵活运用平行线分线段成比例定理解答. 例2.(23-24九年级下·湖北襄阳·阶段练习)如图,在Rt ABC中,∠ABC=90°.AB=BC.点D是线段 AB上的一点,连结CD.过点B作BG⊥CD,分别交CD、△CA于点E、F,与过点A且垂直于AB的直线 相交于点G,连结DF,给出以下四个结论:① ;②若点D是AB的中点,则AF= AB;③ 当B、C、F、D四点在同一个圆上时,DF=DB;④若 ,则S =9S ,其中正确的结论序号是 ABC BDF △ △ . 【答案】①②③ 【分析】由△AFG∽△CFB,可确定结论①正确;由△ABG≌△BCD可得AG= AB= BC,进而由 △AFG∽△CFB确定点F为AC的三等分点,可确定结论②正确;当B、C、F、D四点在同一个圆上时, 由圆内接四边形的性质得到∠CFD=∠ABC=90°,得到CD为圆的直径,因为BG⊥CD,根据垂径定理得到 DF=DB,故③正确;因为D为AB的三等分点,△AFG∽△CFB,所以 所以S = S ,又 ABF ABC △ △ S = S ,所以S =12S ,由此确定结论④错误. BDF ABF ABC BDF △ △ △ △ 【详解】解:依题意可得BC∥AG,∴△AFG∽△CFB,∴ ,又AB=BC,∴ .故结论①正确;如图, ∵∠1+∠3=90°,∠1+∠4=90°,∴∠3=∠4. 在△ABG与△BCD中, ,∴△ABG≌△BCD(ASA),∴AG=BD, 又∵BD=AD,∴AG=AD;∵△ABC为等腰直角三角形,∴AC= AB;∴AG=AD= AB= BC; ∵△AFG∽△BFC,∴ ,∴FC=2AF,∴AF= AC= AB.故结论②正确; 当B、C、F、D四点在同一个圆上时,由圆内接四边形的性质可得∠CFD=∠ABC=90° ∴CD是B、C、F、D四点所在圆的直径,∵BG⊥CD,∴ ,∴DF=DB,故③正确; ∵ ,AG=BD, ,∴ ,∴S = S , , BDF ABF △ △ ∴AF= AC,∴S = S ;∴S = S ,即S =12S .故结论④错误. ABF ABC BDF ABC ABC BDF △ △ △ △ △ △ ∴正确的结论有①②③;故答案为:①②③. 【点睛】本题考查了等腰直角三角形中相似三角形与全等三角形的应用,有一定的难度.对每一个结论, 需要仔细分析,严格论证;注意各结论之间并非彼此孤立,而是往往存在逻辑关联关系,需要善加利用. 例3.(23·24下·三明·期末)如图①,在 中, , ,点D在边 上,过点C作 ,垂足为M,交 于点E.(1)小亮通过探究发现 ,请你帮他说明理由;(2)如图②, 平分 交 于点N,小 明通过度量猜想有 ,他的猜想正确吗?请你帮他说明理由;(3)如图③,连接 ,若D是 的 中点,小刚通过探究得到结论 ,请你帮他说明理由. 【答案】(1)理由见解析;(2)正确,理由见解析;(3)理由见解析 【分析】(1)利用互余和三角形内角和定理进行求解,即可证明猜想;(2)根据等腰直角三角形的性质 和角平分线的性质,证明 ,即可证明猜想;(3)根据 ,得到 , ,再证明 ,得到 ,即可证明猜想. 【详解】(1)解: , , , , , ; (2)解:猜想正确,理由如下: , , , 平分 , , , 在 和 中, , , ; (3)解:如图,过点C作 平分 交 于点N, 由(2)可知, , , , 平分 , , D是 的中点, , 在 和 中, , , , ,即 .【点睛】本题考查了全等三角形的判定和性质,三角形内角和定理,等腰直角三角形的性质,角平分线的 定义等知识,熟练掌握全等三角形的判定和性质是解题关键. 例4.(23-24辽宁九年级期末)(1)如图1,四边形ABCD为正方形,BF⊥AE,那么BF与AE相等吗? 为什么? (2)如图2,在Rt ABC中,BA=BC,∠ABC=90°,D为BC边的中点,BE⊥AD于点E,交AC于F, 求AF:FC的值;(△3)如图3,Rt ACB中,∠ABC=90°,D为BC边的中点,BE⊥AD于点E,交AC于 F,若AB=3,BC=4,求CF. △ 【答案】(1)BF=AE,理由见详解 (2)AF:FC=2:1 (3)CF= . 【分析】(1)先判断出AB=AD,再利用同角的余角相等,判断出∠ABF=∠DAE,进而得出△ABF DAE,即可得出结论;(2)构造出正方形,同(1)的方法得出△ABD≌△CBG,进而得出CG= △ AB,再判断出△AFB∽△CFG,即可得出结论;(3)先构造出矩形,同(1)的方法得, ∠BAD=∠CBP,进而判断出△ABD∽△BCP,即可求出CP,再同(2)的方法判断出△CFP∽△AFB,建 立方程即可得出结论. 【详解】解:(1)BF=AE,理由: ∵四边形ABCD是正方形,∴AB=AD,∠BAD=∠D=90°,∴∠BAE+∠DAE=90°; ∵AE⊥BF,∴∠BAE+∠ABF=90°,∴∠ABF=∠DAE; 在△ABF和△DAE中, ,∴△ABF DAE,∴BF=AE. △ (2)如图2:过点A作AM‖BC, 过点C作CM‖AB,两线相较于M,延长BF交CM于G,∴四边形ABCM是平行四边形, ∵∠ABC=90°,∴平行四边形ABCM是矩形,∵AB=BC,∴矩形ABCM是正方形,∴AB=BC=CM; 同(1)的方法得,△ABD CBG,∴CG=BD; △ 又∵D为BC边的中点,∴BD= BC= CM,∴CG= CM AB; ∵AB‖CM,∴△AFB CFG,∴ = =2. △ (3)如图3:在Rt ACB中,AB=3,BC=4,∴AC=5,∵点D是BC的中点,∴BD= BC=2; △ 过点A作AN‖BC, 过点C作CN∥AB,两线相较于N,延长BF交CN于P,∴四边形ABCN是平行四边形, ∵∠ABC=90°,∴平行四边形ABCN是矩形,同(1)的方法得,∠BAD=∠CBP, ∵∠ABD=∠BCP=90°,∴△ABD BCP,∴ = ,∴ = ,∴CP= ; △ 同(2)的方法得:△CFP AFB, ∴ = ,∴ = ,∴CF= . △ 【点睛】此题属于四边形综合题,主要考查了正方形的性质和判定,平行四边形的判定,矩形的判定和性 质,全等三角形的判定和性质,相似三角形的判定和性质。此题第一问图1是解题的关键.1.(23-24江苏扬州市九年级期末)如图,在 中, , , ,垂足 为D,E为BC的中点,AE与CD交于点F,则EF的长为( ) A. B. C. D. 【答案】B 【分析】连接DE,可证得 ,即可得 且相似比为1:2,故有 ,在 中由勾股定理可得 ,故 . 【详解】连接DE,由题意可知E为BC中点,D为AB中点∴ 又∵ ∴ ∴∠BED=∠BCA, ∴DE//AC ∴∠EDC=∠DCA,∠DEA=∠CAE∴ ,且相似比为1:2故 在 中有 即 ∴ 故选:B.【点睛】本题考查了相似三角形的判定及性质和勾股定理,两边成比例且夹角相等的两个三角形相似,两 角分别相等的两个三角形相似;相似三角形的对应边成比例,对应角相等. 2.(2024·广东广州·二模)如图,在正方形 中, 为 上一点,连接 与 交于点 ,点 在 上,点 在 上,连接 交 于点 ,且 ,垂足为 ,若 为 的中点,则下列 结论:① ;② ;③ ;④ .其中结论正确的个数有 ( ) A.①③ B.①④ C.②③ D.①② 【答案】A 【分析】过点 作 于点 ,证明 即可判断①;采用特殊值法判断②,若点 是 的中点,则 ,又 ,得到 ,从而 ,故②错误;过点 作 ,交 于点 ,交 于点 ,证得 ,得到 , ,根据正 方形的性质与 得到 ,进而有 ,从而可证得 , 有 ,因此 ,故③正确;利用反证法证明④,假设 成立, 则 ,根据同角的余角相等推出 ,即 ,而 是定值, 随着点 的变化而变化,故 不成立,从而 不成立,故④错误. 【详解】解:如图,过点 作 于点 , ,在正方形 中, , 四边形 是矩形, , 在正方形 中, , , , , , , , , , ;故①正确; 如图,若点 是 的中点,则 ,设正方形 的边长为 ,即 , , 在 中, , 点 是 的中点, , , , , , , ,即 , , , 在矩形 中, , 在正方形 中, , , , ,故②错误; 过点 作 ,交 于点 ,交 于点 , , , 点 是 的中点, , , , , 在正方形 中, 平分 , , , , , , ,由①知, , , , ,即 ,由①得,四边形 是矩形, , , , , , , , , , ,故③正确;对于④,假设 成立,则 , , , , , , 是定值, 随着点 的变化而变化, 不成立, 不成立.故④错误.故选: . 【点睛】本题考查正方形的性质,全等三角形的判定及性质,相似三角形的判定及性质,勾股定理,熟练 运用相关知识,运用特殊值法与反证法是解决本题的关键. 3.(2024·黑龙江·模拟预测)如图,E是矩形 的边 的中点, 于点F, 的延长线交 于点G,连接 ,则下列结论:① ;② ;③若 , ,则 ;④ ;⑤图中相似三角形只有6对.其中正确结论的序号是( ) A.①②③ B.②③④ C.①④⑤ D.①②③④⑤ 【答案】D 【分析】延长 和 交点H,利用 可证得 ,则有 和 ,结合 中点可得 ,根据等腰三角形的性质得 ,可证得 ,则①正确; 由垂直得 ,则有 ,则②正确;证得 ,有 , 利用勾股定理求得 ,可得 ,即可判断③正确;根据 ,有 ,结合 和 ,即可判定④正确;利用 , ,可得到 ,即可判定⑤正确. 【详解】解:延长 和 交点H,如图,∵四边形 为矩形,∴ , , ∵E是矩形 的边 的中点,∴ ,∵ , ∴ ,∴ , ,则点D为 的中点, ∵ ,∴ ,∴ ,∵ , ∴ ,∴ ,故①正确; ∵ ,∴ ,∴ , ∵ ,∴ ,故②正确; ∵ , ,∴ ,∴ , ∵ , ,∴ ,∵E是矩形 的边 的中点, ∴ ∴ ,解得 ,故③正确; ∵ , ,∴ ,∴ , ∵ ,∴ ,即 ,∵ ,∴ ,故④正确; ∵ , ,∴ , ∴图中相似三角形只有6对,故⑤正确.故选:D. 【点睛】本题主要考查全等三角形的判定和性、直角三角形的性质、等腰三角形的性质、三角形外角定理、 勾股定理以及相似三角形的判定和性质,解题的关键是添加辅助线和熟练掌握相似三角形的性质. 4.(23·24下·山西·模拟预测)如图,在 中, , ,D为BC上一点且 ,连接AD,过点B作 ,垂足为E,BE的延长线与AC交于点F,则EF的长为 .【答案】 【分析】过点 作 交 于 ,由勾股定理解出 , ,利用等积法解得 , 继而得到 ,从而解出 再利用勾股定理解出 ,,最后 证明 ,根据相似三角形对应边成比例解题即可. 【详解】解:过点 作 交 于 , 在 中 在 中, 在 中, 在 中,故答案为: . 【点睛】本题考查勾股定理、相似三角形的判定与性质、三角形的等积法等知识,是重要考点,难度较易, 掌握相关知识是解题关键. 5.(23·24上·临沂·期末)如图,在Rt ABC中,∠ACB=90°,AC=BC.点D是线段BC上的一点,连接 AD,过点C作CG⊥AD,分别交AD、△AB于点G、E,与过点B且垂直于BC的直线相交于点F,连接 DE.给出以下四个结论:① ;②若 平分 ,则 ;③若点D是BC的中点,则 ;④若 ,则 .其中正确的结论序号是 . 【答案】①②③ 【分析】由△BEF∽△AEC,可确定结论①正确;由△BEF≌△BED可得BF= BC= AC,进而 △BEF∽△AEC确定点E为AB的三等分点,可确定结论②正确;当A、C、D、E四点在同一个圆上时, 由于∠ACB=90°,得到AD是直径,根据垂径定理得到DE=CD,故③正确;因为E为AB的三等分点,所 以S = S ,又S = S ,所以S =12S ,由此确定结论④错误. BCE ABC CDE BCE ABC CDE △ △ △ △ △ △ 【详解】依题意可得BF∥AC,∴△BEF∽△AEC,∴ 又AC=BC,∴ .故结论①正 确;. ∵ 平分 ,∴∠CAG=∠EAG.∵CG⊥AD,∴∠AGC=∠AGE=90°. 在△AGE和△AGC中 ∴△AGE≌△AGC(ASA)∴∠AEG=∠ACG. ∵∠BFC+∠BCF=90°,∠ACG+∠BCF=90°,∴∠BFC=∠ACG.∴∠BFC=∠AEG. ∵∠BEF=∠AEG,∴∠BFC=∠BEF.∴ .故结论②正确;∵CG⊥AD,∴∠ADC+ =90°,∵∠ADC+∠CAD=90°,∴ . 在△BCF与△CAD中, ,∴△BCF≌△CAD(ASA),∴BF=CD. ∵点D是BC的中点,∴BD=CD.又∵BD=AD,∴AG=AD; ∵△ABC为等腰直角三角形,∴AB= BC;∴BF=BD= BC; ∵△BEF∽△AEC,∴ ,∴AE=2BE,∴BE= AB= .故结论③正确; 当A、C、D、E四点在同一个圆上时, ∵∠ACB=90°,∴AD是A、C、D、E四点所在圆的直径, ∵CG⊥AD,∴ = ,∴DE=CD, ∵ ,BF=CD,∴ ,∴ ,∴ ,∴BE= AB, ∴S = S ;∴S = S ,∴S = S ,即S =12S . BCE ABC CDE BCE CDE ABC ABC CDE △ △ △ △ △ △ △ △ 故结论④错误.故答案为:①②③. 【点睛】本题考查了等腰直角三角形中相似三角形与全等三角形的应用,有一定的难度.对每一个结论, 需要仔细分析,严格论证;注意各结论之间并非彼此孤立,而是往往存在逻辑关联关系,需要善加利用. 6.(2024·山西晋中·三模)如图,在矩形 中, , ,点H在 上,且 ,连接 ,过点C作 于点F,交 于点E,则 的长为 . 【答案】 【分析】本题主要考查矩形的性质、解直角三角形、勾股定理和相似三角形的判定和性质,根据题意可知 ,得 ,求得 .则 ,利用勾股定理求得 ,继而证明 , ,可得 即可求得答案. 【详解】解:如图,延长 与 交于点M. ∵四边形 是矩形, , . ∵ , . . ∵ , , . . . . ∵ , , . . . . 7.(23-24九年级上·福建泉州·阶段练习)如图,在 中, , ,点D为 边上一动点(不与点B、C重合), 垂直 交 于点E,垂足为点H,连接 并延长交 于点 F,下面结论:①若 是 边上的中线,则 ;②若 平分 ,则 ;③若 ,则 ;④ 的最小值为 . 正确的是 . 【答案】①②③ 【分析】根据勾股定理求出 ,根据三角形面积公式求出 ,据此判断①符合题意;过点作 交 于点 ,根据题意推出 是 的中位线,则 ,根据直角三角形的 性质及平行线的性质推出 , , ,根据相似三角形的性质 即可判断②符合题意;当 时,设 ,则 , ,过点 作 交 的延长线于点 ,结合题意及直角三角形的性质利用 推出 ,根据全等三角形 的性质得到 ,根据 ,判断 ,进而推出 ,根据相 似三角形的性质即可判断③符合题意;根据当 最短时,点 为 的中点,求解即可判断④不符合题 意 【详解】解: 是 边上的中线, , , , , , , , , , , , 故①正确,符合题意; 如图,过点 作 交 的延长线于点 , , , 是等腰直角三角形,, , , , 平分 , , , , , , , 故②正确,符合题意; 当 时,设 ,则 , , 过点 作 交 的延长线于点 , , , 垂直 , , , 又 , , , , , ,, , , 故③正确,符合题意; , 点 在以 为直径的圆上, 当 最短时,点 为 的中点, , , 的最小值为 , 故④错误,不符合题意; 故答案为:①②③ 【点睛】此题是三角形综合题,考查了勾股定理、三角形面积公式、全等三角形的判定与性质、相似三角 形的判定与性质、三角形中位线的判定与性质等知识,熟练掌握勾股定理、全等三角形的判定与性质、相 似三角形的判定与性质并作出合理的辅助线是解题的关键. 8.(23-24九年级上·上海青浦·期中)如图,在 中, , .点 是 的中 点,连接 ,过点 作 ,分别交 , 于点 , ,与过点A且垂直于 的直线相交于点 ,连接 .求:(1) 的长;(2) 的值. 【答案】(1) 的长为 (2) 的值为 【分析】(1)利用直角三角形两锐角互余的关系可得 ,利用 可证明 ,可得 ,通过勾股定理即可计算 ,证明 即可求解计算; (2)根据(1)得 ,由 可得 ,即可证明 ,根据相似三 角形的性质即可求出 的值,通过图象可得 和 得面积可以为同高,进而即可求解计算. 【详解】(1)∵D为 中点, , ∴ , ∵ , ∴ , ∵ , ∴ , ∴ , ∵ , ∴ , 在 和 中, , ∴ , ∴ , 在 中, , ∴ , ∵ , ∴ , ∴ ,∴ ; (2)由(1)得 , , ∴ , ∵ , ∴ , ∴ , ∴ , 由图可得 和 以 和 为底时,它们的高为同一个, ∴ , ∵ , ∴ . 【点睛】本题考查了相似三角形的判定与性质、勾股定理和全等三角形的判定和性质,灵活运用所学知识 求解是解决本题的关键. 9.(23-24九年级下·吉林长春·自主招生)如图, 中, , , ,点D 在边 上运动,连结 .点D不与A、B重合时,过点A作 ,交 于点E,交 于点F.设 的长为x.(1)边 的长为______.(2)当 是以 为腰的等腰三角形时,求x的值. (3)运动过程中,当点B、F的距离最小时,直接写出这个最小值及此时 的面积. (4)运动过程中,当 所在直线将 的面积分为 两部分时,直接写出 的长.【答案】(1)4(2)2或 (3)最小值为 ,面积为 (4) 或2 【分析】(1)由勾股定理可得出答案; (2)分两种情况,由等腰三角形的性质可得出答案; (3)由题意知点F在以 为直径的圆上,取 的中点O,连接 ,交圆O于点F,此时 最小,过 点F作 于点M,证明 ,由相似三角形的性质得出 ,求出 的长,则 可得出答案 (4)分两种情况,由相似三角形的性质及直角三角形的性质可得出答案 【详解】(1)解:∵ , ∴ ,帮答案为:4; (2)解:分两种情况 :①若 ,∴ ; ②若 ,则 ∵ , , . ∴ ∴ ,∴ 或 时, 是以 为腰的等腰三角形; (3)解: 如图, ∴点F在以 为直径的圆上,取 的中点O,连接 ,交圆O于点F,此时 最小, ∵ ∴ ,∴ 的最小值为 , 过点F作 于点M,∴ ,∴ ,∴ ,∴ ,∴ ,∴ (4)解:分两种情况:①若 时, , 过点D作 交 于点G,如图,∴ , , ∵ , ,∴ , ,∴ ,∴ , ∴ , ; ②若 时, , 过点D作 交 于点H,如图, 同理可得 , , ∵ , ∴ , ∴ , ∴ , ∴ , ∴综上所述, 或 【点睛】本题主要考查了锐角三角函数、勾股定理、相似三角形的性质,等腰三角形的性质等知识,解题 的关键是学会添加常用辅助线,学会利用面积法解决问题,学会用转化的思想思考问题、 10.(23·24下·武汉·阶段练习)如图1,在 中, , 为边 上一点, . (1)求证: ;(2)如图2,过点 作 于 ,交 于点 ,若 ,求 的 值; (3)如图, 为 延长线上一点,连接 ,且 ,若 直接写出 的 值(用含 的代数式表示). 【答案】(1)见解析(2) (3) 【分析】(1)根据角相等证明Rt 与Rt 相似,然后根据对应边成比例,根据比例性质变换即 可证明;(2)过 点作 ,交 的延长线于 点,设 ,先证 ,再由 得到 为中位线, ,再证 ≌ ,得到 ,得到 ,再 由 ∽ ,得到 ;(3)作 ,作 ,交 于 ,交 于 , 设 ,根据锐角三角函数可求出 , ,证明 ,表示出 ,根据 ,而 ,得到 ,然后表示 ,进而求出 ; 【详解】(1)证明:∵ , ∴ ∽ ,∴ ∴ (2)解:过 点作 ,交 的延长线于 点,∵ ,∴设 , ,∴ , ∵ ,∴ , ∴ , ,∴ , ∵ , ,∴ ,∴ , ,∴ , ∵ , ,∴ ≌ , ∴ , ,∴ , ∵ ,∴ ∽ ,∴ . (3)解:作 ,作 ,交 于 ,交 于 ; 设 ,∵ ∴ ∴ 即: ∴ , 即 ∴ , ∵ , ∴ ∴ , 又∵ ∴ ∴ ,∴ ,∴ 为 中点 又 , ,∴ ,∴在Rt 中, 为中位线, ∴ ,∴ ,∴ , ∵ ,而 ,∴ , 而由 可得, ,∴ ∴ 为 的角平分线,又 ∴ 为 的中线, ,∴ ∴ . 【点睛】本题考查了相似三角形、全等三角形、平行线分线段成比例、锐角三角函数等知识,正确作出辅 助线,构造线段相等进行等量代换是求解的关键 11.(23·24下·武汉·模拟预测)探索发现:如图1,等边 中, 为 中点, 、 分别是 、 上的两点, .(1)求证: ;(2) 为 上一点,若 ,求 的值;迁移拓展:(3)如图2,等腰 中, 为斜边 的中点, 为 中点, . 是 上的点, , 为 上一点,若 ,直接写出 的长. 【答案】(1)见解析(2)2(3) 【分析】(1)利用等边三角形的性质和全等三角形的判定证明 可证的结论; (2)连接 , ,如图,设 、 交点为M,根据全等三角形的性质和三角形的外角和求得 ,进而求得 ,再根据等边三角形性质求得 , ,则 ,证明 ,和 得到 ,利用余弦定义求 解即可; (3)连接 , ,根据等腰直角三角形性质得到 , , , ,即 ,进而得到 ,证明 ,得到 ,进而求得,则 ,证明 和 得到 , , 利用勾股定理求得 即可求解. 【详解】(1)解:∵ 是等边三角形,∴ , ,又 , ∴ ,∴ ; (2)解:连接 , ,如图,设 、 交点为M, ∵ ,∴ , ∵ ∴ , ∵等边 中, 为 中点,∴ , , ∴ ,又 ,∴ , ∴ ,即 ,又 ,∴ , ∴ ,则 ,∴ , 则 ; (3)解:连接 , , ∵ 是等腰直角三角形, 为斜边 的中点, ∴ , , , ,即 , ∵ , ,∴ ,则 ,∴ ,则 , ∴ , ∵ ,∴ ,则 , ∴ ,又 为 中点,∴ ,则 ,∵ , ,∴ ,∴ , ∵ 为 中点, ,∴ , ,又 , ∴ ,∴ ,∴ ,∴ . 【点睛】本题考查了等边三角形的性质、等腰直角三角形的性质、全等三角形的判定与性质、三角形的外 角性质、相似三角形的判定与性质、直角三角形的性质等知识,熟练掌握相关知识的联系与运用,利用相 似三角形的判定与性质探究边角关系是解答的关键. 12.(2024·河南周口·二模)如图,正方形 中, ,对角线 与 交于点O,点P为对 角线 上一个动点,作射线 交正方形的边于点F,过点D作 垂足为点Q,交直线 于点 M,交正方形的一边于点E. (1)如图1,当点P在线段 上时,线段 与线段 的数量关系为 . (2)如图2,当点P在线段 上时,(1)中的结论是否成立?若成立,请证明;若不成立,请说明理由. (3)当四边形 的面积与 的面积比为 时,直接写出线段 的长. 【答案】(1) (2)依然成立,理由见解析(3)1或3 【分析】本题主要考查了正方形的性质、等腰直角三角形的性质、全等三角形的判定与性质、相似三角形 的判定与性质等知识点,熟练掌握以上知识是解决本题的关键. (1)先证明 ,然后根据全等三角形的性质即可证明结论; (2)证明 ,然后根据全等三角形的性质即可解答; (3)先证明 可得 ,设 ,则 ,再证明可得出 ,进而求得 的长,然后再分点P在线段 上和 上两种情 况分别求解即可. 【详解】(1)解:∵ , ∴ . ∵ , ∴ . ∵四边形 是正方形, ∴ , ∴ , ∴ , 故答案为: ; (2)解:依然成立,理由如下: ∵在正方形 中, , ∴ . ∵点O 是 的中点, , ∴ . ∵ , ∴ , ∵ , ∴ . 在 和 中,∴ , ∴ ; (3)解:∵在正方形 中, ,点O是 的中点, , ∴ , ∴ , ∵ , ∴ , ∴ . 在 和 中, ∴ ∴ . 设 ,则 , ∵ , ∴ , ,即: 解得: ∵ 的面积为2,四边形 的面积与 的面积比为 , ∴四边形 的面积为∵ 四边形 的面积= 的面积- 的面积 , 解得 , 即: ①当点P在线段 上时, ; ②当点 P 在线段 上时, . 综上所述,四边形 的面积为 时,线段 的长为1或3. 13.(23·24下·滁州·二模)如图1,在等边 中,D,E分别是边 上点,且 , 与 相交于点P,连接 .(1)求证: ;(2)若 ,求证: ;(3)如图2,连接 , 若 ,求 的值. 【答案】(1)见解析(2)见解析(3) 【分析】(1)证明 后可得 ,再利用三角形内角和定理即可证明; (2)延长 到 ,使 ,连接 , ,可证明 ,从而可得 , ,取 的中点 ,连接 ,可得 是等边三角形,再根据等腰三角形的性质 可得 ,从而可得 ,继而得出结论; (3)设 , ,证明 ,可得 ,从而可得 ,化简可得 ,从而可求得结论. 【详解】(1)证明:∵ 是等边三角形,∴ , , ∵ , , , ∴ , ∴ , ∴ , ∵ , ∴ ; (2)如图,延长 到 ,使 ,连接 , , 由(1)知: , ∴ , ∴ 是等边三角形, ∴ , ∴ , ∵ 为等边三角形, ∴ , , ∴ , ∴ , ∴ , , ∵ , ∴ .取 的中点 ,连接 ,则 , ∵ , ∴ , ∴ 是等边三角形,∴ , ∴ , ∵ , ∴ , ∴ , ∴ ; (3)设 , ,则 , , ∵ , , ∴ , ∴ , ∴ ,化为 , ∵ , ∴ , ∴ 或 (舍去), ∴ . 【点睛】本题考查等边三角形的性质和判定,相似三角形的性质和判定,三角形内角和定理,解一元二次 方程等.正确构造辅助线是解题关键. 14.(2024·湖北武汉·模拟预测)如图1, 中,点E、F分别在边 上,连接 交于 点G, .问题探究(1)先将问题特殊化,如图2,当 时,求证: ; (2)再探究一般情形,如图1,证明(1)中结论仍然成立;问题拓展(3)如图3,当 时, ,F为 中点,直接写出 的值(用含n的式子表示).【答案】(1)见解析(2)见解析(3) 【分析】(1)先证明 是矩形,再证明 ,即可得证;(2)先证明 , 得到 ,进而得到 ,再证明 ,得到 ,即可得证; (3)设 ,过点 作 ,过点 作 ,根据含30度角的直角三角形的性质, 得到 , ,进而得到 , 勾股定理求出 ,利用(2)中的结论得到 ,设 ,在 中,利用勾股定理求出 的值,再利用正切的定义,求解 即可. 【详解】(1)证明:∵ , ∴ , ∴ 是矩形, ∴ , ∴ , ∴ , ∴ , ∴ , ∴ ; (2)证明:∵ ,∴ , ∴ , ∵ , ∴ , ∵ , ∴ , ∵ , ∴ , ∴ , ∴ , ∴ , ∵ , ∴ , ∴ , ∴ ; (3)∵ , ∴ , ∵ , ∴不妨设 , ∴ , ∵ 为 的中点, ∴ , 过点 作 ,过点 作 , 则: , ,∴ , , ∴ , ∴ , 由(2)知: , ∴ , 设 ,则: , , 在 中,由勾股定理,得: , 解得: 或 (舍去), ∴ , ∴ . 【点睛】本题考查平行四边形的性质,矩形的判定和性质,勾股定理,相似三角形的判定和性质,解直角 三角形等知识点,综合性强,难度较大,计算量大,属于压轴题,熟练掌握相关知识点,找准角度之间的 关系,证明三角形相似,是解题的关键. 15.(2023·江苏苏州·三模)如图1,在矩形 中,点E,F分别是边 上的点,连接 , 且 于点G,若 ,求 的值.(1)请你帮助同学们解决上述问题,并说明理由. (2)如图2,在 中, ,点D为 的中点,连接 ,过点A作 于点 E,交 于点F,求 的值.(3)如图3,在四边形 中, , , ,点E,F分别在边 上,且 ,垂足为G,则 ______. 【答案】(1) (2) (3) 【分析】(1)由矩形的性质得出 ,证明 ,由 相似三角形的性质得出 ;(2)过点B作 的垂线,过点D作 的垂线,垂足为K, 过点A作 的平行线,分别交两条垂线于G,H,根据有三个直角的四边形,即四边形 为矩形,证 明 ,由全等三角形的性质得出 ,证明 ,由相似三角形的性质 得出答案;(3)过C作 于N, 交 的延长线于点M,证明 ,得 出 ,证明 ,由相似三角形的性质得出 ,设 ,则 ,设 ,则 ,由勾股定理证出 ,则可得出答案. 【详解】(1)解:∵四边形 是矩形, ∴ , ∴ , ∵ , ∴ , ∴ , ∴ ,∴ , ∴ ; (2)解:过点B作 的垂线,过点D作 的垂线,垂足为K,过点A作 的平行线,分别交两条垂线 于G,H, ∵ 则四边形 为矩形, ∵D为 中点, ∴ , 又∵ , ∴ 又∵ , ∴ , ∵ , ∴ , ∴ , ∵ ∴ , 设 ,则 , ,∴ , 由(1)知, , ∴ ; (3)解:过C作 于N, 交 的延长线于点M, ∵ ,即 , ∴ , ∴四边形 是矩形, ∴ , 在 和 中, , ∴ ∴ , ∴ , ∵ , ∴ , ∵ , ∴ , ∴ ,设 ,则 ,设 ,则 , ∴ , 在 中,由勾股定理得: , ∴ , 解得 ( 舍去), ∴ , 故答案为: . 【点睛】本题是四边形综合题,主要考查了矩形的性质,全等三角形的判定与性质,直角三角形的性质, 相似三角形的判定与性质,熟练掌握相似三角形的判定与性质是解题的关键. 16.(2024九年级下·江苏徐州·学业考试)【问题情境】如图1, 垂足为点B, 垂足为 点C, ,且点B、D、C在同一条直线上,可得 ,则 【探究思考】如图2,在矩形 中,点E在边 上,作 交 于点F, ,若 , ,求 的值. 【拓展提高】如图3,菱形 的边长为10, ,点E在边 上,作 交 于点 F,交 于点G,且 ,求 的长. 【答案】探究思考: ;拓展提高: 【分析】本题考查了矩形的性质、菱形的性质、相似三角形的判定与性质、正切的定义,熟练掌握以上知 识点并灵活运用,添加适当的辅助线是解此题的关键. 探究思考:证明 ,得出 ,设 ,则 ,,代入计算求出 的值即可得解; 拓展提高:连接 交 于M,交 于O,求出 ,设 , ,由勾股定理得出 ,得到 , ,证明 ,得出 ,进而得出 ,证明 ,求出 , , ,进而得出 , , ,再证明 ,求出 ,即可得解. 【详解】解:探究思考:∵四边形 是矩形, ∴ , , , ∴ , ∵ , ∴ , ∴ , ∴ , ∴ , 设 ,则 , , ∴ , 解得: , (舍), ∴ ; 拓展提高:连接 交 于M,交 于O, ∵四边形 是菱形,∴ , ∴ , ∴ , 设 , , 由勾股定理,得 , 解得: , ∴ , , ∵ , ∴ , ∵ , ∴ , , ∴ , ∴ . ∴ , ∴ , ∵ , ∴ , ∵四边形 是菱形, ∴ , ∴ , ∴ , ∴ , ∵ , ∴ , , ∴ , ∵ ,即 ,∴ , ∴ , , ∵四边形 是菱形, ∴ , ∴ , ∴ ,即 , ∴ , ∴ . 17.(2024·广东深圳·中考真题)垂中平行四边形的定义如下:在平行四边形中,过一个顶点作关于不相 邻的两个顶点的对角线的垂线交平行四边形的一条边,若交点是这条边的中点,则该平行四边形是“垂中 平行四边形”. (1)如图1所示,四边形 为“垂中平行四边形”, , ,则 ________; ________; (2)如图2,若四边形 为“垂中平行四边形”,且 ,猜想 与 的关系,并说明理由; (3)①如图3所示,在 中, , , 交 于点 ,请画出以 为边的垂 中平行四边形,要求:点 在垂中平行四边形的一条边上(温馨提示:不限作图工具); ②若 关于直线 对称得到 ,连接 ,作射线 交①中所画平行四边形的边于点 ,连接 ,请直接写出 的值.【答案】(1) , (2) ,理由见解析(3)①见解析;② 或 . 【分析】(1)根据题意可推出 ,得到 ,从而推出 ,再根据勾股定理可求得 ,再求得 ;(2)根据题意可推出 ,得到 ,设 ,则 , ,再利用勾股定理得到 ,从而推出 、 ,即可求得答案; (3)①分情况讨论,第一种情况,作 的平行线 ,使 ,连接 ,延长 交 于点 ; 第二种情况,作 的平分线,取 交 的平分线于点 ,延长 交 的延长线于点 , 在射线 上取 ,连接 ;第三种情况,作 ,交 的延长线于点 ,连接 ,作 的垂直平分线;在 延长线上取点F,使 ,连接 ; ②根据①中的三种情况讨论:第一种情况,根据题意可证得 是等腰三角形,作 ,则 ,可推出 ,从而推出 ,计算可得 ,最后利用勾股定理即可求得 ; 第二种情况,延长 、 交于点 ,同理可得 是等腰三角形,连接 ,可由 ,结 合三线合一推出 ,从而推出 ,同第一种情况即可求得 ; 第三种情况无交点,不符合题意. 【详解】(1)解: , 为 的中点, , , , , , ,即 ,解得 , , ;故答案为:1; ; (2)解: ,理由如下:根据题意,在垂中四边形 中, ,且 为 的中点, , ;又 , , ;设 ,则 , , , , , ,, , ; (3)解:①第一种情况:作 的平行线 ,使 ,连接 , 则四边形 为平行四边形;延长 交 于点 , , , , , , ,即 , 为 的中点; 故如图1所示,四边形 即为所求的垂中平行四边形: 第二种情况:作 的平分线,取 交 的平分线于点 ,延长 交 的延长线于点 , 在射线 上取 ,连接 ,故 为 的中点; 同理可证明: ,则 ,则四边形 是平行四边形; 故如图2所示,四边形 即为所求的垂中平行四边形: 第三种情况:作 ,交 的延长线于点 ,连接 ,作 的垂直平分线; 在 延长线上取点F,使 ,连接 ,则 为 的中点, 同理可证明 ,从而 ,故四边形 是平行四边形; 故如图3所示,四边形 即为所求的垂中平行四边形: ②若按照图1作图, 由题意可知, , 四边形 是平行四边形, , , 是等腰三角形;过P作 于H,则 , , , , , , ; , , , ,即 ∴ 若按照图2作图, 延长 、 交于点 ,同理可得: 是等腰三角形, 连接 , , , , , ;同理, , , , , ,即 , , 若按照图3作图,则:没有交点,不存在PE(不符合题意) 故答案为: 或 . 【点睛】本题考查了垂中平行四边形的定义,平行四边形的性质与判定,相似三角形的判定与性质,勾股 定理,尺规作图,等腰三角形的判定与性质等,熟练掌握以上知识点,读懂题意并作出合适的辅助线是解 题的关键. 18.(24-25九年级上·陕西西安·阶段练习)【数学模型】(1)如图1,在矩形 中, , , 点 、 分别在边 、 上, ,垂足为点 ,则 . 【模型探究】(2)如图2,在平行四边形 中,点 、 分别在边 、 上, 与 交于点 , 且 ,请证明: ; 【拓展应用】(3)如图3,白云小区有一块四边形绿地 ,为了居民出行方便计划在四边形 中修两条小路,在边 上取一点 ,连接 与 交于点 , 、 即为规划的两条小路,其中 , , ,且 ,求两条小路长度的比,即求 的值. 【答案】(1) ;(2)证明见解析;(3) 【分析】(1)证明 ,根据相似三角形对应边成比例即可求解; (2)当 时,可证明 得到 ,再证明 ,得到 , 由此可得 ,即 ; (3)如图所示,过点C作 交 延长线于N,过点D作 交 延长线于M,则四边形 是平行四边形,证明 ,则 ,再证 ,得 ,则 ,在 上取一点P,使 ,连接 ,证 是等边三角形,得 , ,然后证 ,得 ,设 ,则 , ,进而由 ,得出方程,求出 ,即可解决问题. 【详解】解:(1)∵四边形 是矩形, ∴ , , ,∴ , ∵ ,∴ ,∴ , ∴ ,∴ , , , , ,故答案为: ; (2)∵ , ,∴ ,又∵ ,∴ ,∴ , ∵四边形 是平行四边形,∴ , ,∴ , 又∵ ,∴ ,∵ ,∴ , ∴ ,∴ ,∴ ,∴ ; (3)如图所示,过点C作 交 延长线于N,过点D作 交 延长线于M,则四边形 是平行四边形,∴ , , , 同(2)可得 ,在 上取一点P使得 ,连接 , ∵ ,∴ ,∴ 是等边三角形, ∴ ,∴ ; ∵ ,∴ , ∴ ,∴ ,∴ , 设 ,则 , ,∴ , ∵ ,∴ ,解得 , ∴ ,∴ . 【点睛】本题主要考查了相似三角形的性质与判定,平行四边形的性质与判定,矩形的性质,等边三角形 的性质与判定等等,熟知相似三角形的性质与判定条件是解题的关键.