当前位置:首页>文档>专题11圆中的重要模型之定角定高(探照灯)模型、米勒最大角模型解读与提分精练(人教版)(教师版)_初中数学_九年级数学下册(人教版)_常见几何模型全归纳-V13_2025版

专题11圆中的重要模型之定角定高(探照灯)模型、米勒最大角模型解读与提分精练(人教版)(教师版)_初中数学_九年级数学下册(人教版)_常见几何模型全归纳-V13_2025版

  • 2026-04-06 05:27:53 2026-04-06 05:03:46

文档预览

专题11圆中的重要模型之定角定高(探照灯)模型、米勒最大角模型解读与提分精练(人教版)(教师版)_初中数学_九年级数学下册(人教版)_常见几何模型全归纳-V13_2025版
专题11圆中的重要模型之定角定高(探照灯)模型、米勒最大角模型解读与提分精练(人教版)(教师版)_初中数学_九年级数学下册(人教版)_常见几何模型全归纳-V13_2025版
专题11圆中的重要模型之定角定高(探照灯)模型、米勒最大角模型解读与提分精练(人教版)(教师版)_初中数学_九年级数学下册(人教版)_常见几何模型全归纳-V13_2025版
专题11圆中的重要模型之定角定高(探照灯)模型、米勒最大角模型解读与提分精练(人教版)(教师版)_初中数学_九年级数学下册(人教版)_常见几何模型全归纳-V13_2025版
专题11圆中的重要模型之定角定高(探照灯)模型、米勒最大角模型解读与提分精练(人教版)(教师版)_初中数学_九年级数学下册(人教版)_常见几何模型全归纳-V13_2025版
专题11圆中的重要模型之定角定高(探照灯)模型、米勒最大角模型解读与提分精练(人教版)(教师版)_初中数学_九年级数学下册(人教版)_常见几何模型全归纳-V13_2025版
专题11圆中的重要模型之定角定高(探照灯)模型、米勒最大角模型解读与提分精练(人教版)(教师版)_初中数学_九年级数学下册(人教版)_常见几何模型全归纳-V13_2025版
专题11圆中的重要模型之定角定高(探照灯)模型、米勒最大角模型解读与提分精练(人教版)(教师版)_初中数学_九年级数学下册(人教版)_常见几何模型全归纳-V13_2025版
专题11圆中的重要模型之定角定高(探照灯)模型、米勒最大角模型解读与提分精练(人教版)(教师版)_初中数学_九年级数学下册(人教版)_常见几何模型全归纳-V13_2025版
专题11圆中的重要模型之定角定高(探照灯)模型、米勒最大角模型解读与提分精练(人教版)(教师版)_初中数学_九年级数学下册(人教版)_常见几何模型全归纳-V13_2025版
专题11圆中的重要模型之定角定高(探照灯)模型、米勒最大角模型解读与提分精练(人教版)(教师版)_初中数学_九年级数学下册(人教版)_常见几何模型全归纳-V13_2025版
专题11圆中的重要模型之定角定高(探照灯)模型、米勒最大角模型解读与提分精练(人教版)(教师版)_初中数学_九年级数学下册(人教版)_常见几何模型全归纳-V13_2025版
专题11圆中的重要模型之定角定高(探照灯)模型、米勒最大角模型解读与提分精练(人教版)(教师版)_初中数学_九年级数学下册(人教版)_常见几何模型全归纳-V13_2025版
专题11圆中的重要模型之定角定高(探照灯)模型、米勒最大角模型解读与提分精练(人教版)(教师版)_初中数学_九年级数学下册(人教版)_常见几何模型全归纳-V13_2025版
专题11圆中的重要模型之定角定高(探照灯)模型、米勒最大角模型解读与提分精练(人教版)(教师版)_初中数学_九年级数学下册(人教版)_常见几何模型全归纳-V13_2025版
专题11圆中的重要模型之定角定高(探照灯)模型、米勒最大角模型解读与提分精练(人教版)(教师版)_初中数学_九年级数学下册(人教版)_常见几何模型全归纳-V13_2025版
专题11圆中的重要模型之定角定高(探照灯)模型、米勒最大角模型解读与提分精练(人教版)(教师版)_初中数学_九年级数学下册(人教版)_常见几何模型全归纳-V13_2025版
专题11圆中的重要模型之定角定高(探照灯)模型、米勒最大角模型解读与提分精练(人教版)(教师版)_初中数学_九年级数学下册(人教版)_常见几何模型全归纳-V13_2025版
专题11圆中的重要模型之定角定高(探照灯)模型、米勒最大角模型解读与提分精练(人教版)(教师版)_初中数学_九年级数学下册(人教版)_常见几何模型全归纳-V13_2025版
专题11圆中的重要模型之定角定高(探照灯)模型、米勒最大角模型解读与提分精练(人教版)(教师版)_初中数学_九年级数学下册(人教版)_常见几何模型全归纳-V13_2025版
专题11圆中的重要模型之定角定高(探照灯)模型、米勒最大角模型解读与提分精练(人教版)(教师版)_初中数学_九年级数学下册(人教版)_常见几何模型全归纳-V13_2025版
专题11圆中的重要模型之定角定高(探照灯)模型、米勒最大角模型解读与提分精练(人教版)(教师版)_初中数学_九年级数学下册(人教版)_常见几何模型全归纳-V13_2025版
专题11圆中的重要模型之定角定高(探照灯)模型、米勒最大角模型解读与提分精练(人教版)(教师版)_初中数学_九年级数学下册(人教版)_常见几何模型全归纳-V13_2025版
专题11圆中的重要模型之定角定高(探照灯)模型、米勒最大角模型解读与提分精练(人教版)(教师版)_初中数学_九年级数学下册(人教版)_常见几何模型全归纳-V13_2025版
专题11圆中的重要模型之定角定高(探照灯)模型、米勒最大角模型解读与提分精练(人教版)(教师版)_初中数学_九年级数学下册(人教版)_常见几何模型全归纳-V13_2025版
专题11圆中的重要模型之定角定高(探照灯)模型、米勒最大角模型解读与提分精练(人教版)(教师版)_初中数学_九年级数学下册(人教版)_常见几何模型全归纳-V13_2025版
专题11圆中的重要模型之定角定高(探照灯)模型、米勒最大角模型解读与提分精练(人教版)(教师版)_初中数学_九年级数学下册(人教版)_常见几何模型全归纳-V13_2025版
专题11圆中的重要模型之定角定高(探照灯)模型、米勒最大角模型解读与提分精练(人教版)(教师版)_初中数学_九年级数学下册(人教版)_常见几何模型全归纳-V13_2025版
专题11圆中的重要模型之定角定高(探照灯)模型、米勒最大角模型解读与提分精练(人教版)(教师版)_初中数学_九年级数学下册(人教版)_常见几何模型全归纳-V13_2025版
专题11圆中的重要模型之定角定高(探照灯)模型、米勒最大角模型解读与提分精练(人教版)(教师版)_初中数学_九年级数学下册(人教版)_常见几何模型全归纳-V13_2025版
专题11圆中的重要模型之定角定高(探照灯)模型、米勒最大角模型解读与提分精练(人教版)(教师版)_初中数学_九年级数学下册(人教版)_常见几何模型全归纳-V13_2025版
专题11圆中的重要模型之定角定高(探照灯)模型、米勒最大角模型解读与提分精练(人教版)(教师版)_初中数学_九年级数学下册(人教版)_常见几何模型全归纳-V13_2025版
专题11圆中的重要模型之定角定高(探照灯)模型、米勒最大角模型解读与提分精练(人教版)(教师版)_初中数学_九年级数学下册(人教版)_常见几何模型全归纳-V13_2025版
专题11圆中的重要模型之定角定高(探照灯)模型、米勒最大角模型解读与提分精练(人教版)(教师版)_初中数学_九年级数学下册(人教版)_常见几何模型全归纳-V13_2025版
专题11圆中的重要模型之定角定高(探照灯)模型、米勒最大角模型解读与提分精练(人教版)(教师版)_初中数学_九年级数学下册(人教版)_常见几何模型全归纳-V13_2025版
专题11圆中的重要模型之定角定高(探照灯)模型、米勒最大角模型解读与提分精练(人教版)(教师版)_初中数学_九年级数学下册(人教版)_常见几何模型全归纳-V13_2025版
专题11圆中的重要模型之定角定高(探照灯)模型、米勒最大角模型解读与提分精练(人教版)(教师版)_初中数学_九年级数学下册(人教版)_常见几何模型全归纳-V13_2025版
专题11圆中的重要模型之定角定高(探照灯)模型、米勒最大角模型解读与提分精练(人教版)(教师版)_初中数学_九年级数学下册(人教版)_常见几何模型全归纳-V13_2025版
专题11圆中的重要模型之定角定高(探照灯)模型、米勒最大角模型解读与提分精练(人教版)(教师版)_初中数学_九年级数学下册(人教版)_常见几何模型全归纳-V13_2025版
专题11圆中的重要模型之定角定高(探照灯)模型、米勒最大角模型解读与提分精练(人教版)(教师版)_初中数学_九年级数学下册(人教版)_常见几何模型全归纳-V13_2025版
专题11圆中的重要模型之定角定高(探照灯)模型、米勒最大角模型解读与提分精练(人教版)(教师版)_初中数学_九年级数学下册(人教版)_常见几何模型全归纳-V13_2025版
专题11圆中的重要模型之定角定高(探照灯)模型、米勒最大角模型解读与提分精练(人教版)(教师版)_初中数学_九年级数学下册(人教版)_常见几何模型全归纳-V13_2025版
专题11圆中的重要模型之定角定高(探照灯)模型、米勒最大角模型解读与提分精练(人教版)(教师版)_初中数学_九年级数学下册(人教版)_常见几何模型全归纳-V13_2025版
专题11圆中的重要模型之定角定高(探照灯)模型、米勒最大角模型解读与提分精练(人教版)(教师版)_初中数学_九年级数学下册(人教版)_常见几何模型全归纳-V13_2025版
专题11圆中的重要模型之定角定高(探照灯)模型、米勒最大角模型解读与提分精练(人教版)(教师版)_初中数学_九年级数学下册(人教版)_常见几何模型全归纳-V13_2025版
专题11圆中的重要模型之定角定高(探照灯)模型、米勒最大角模型解读与提分精练(人教版)(教师版)_初中数学_九年级数学下册(人教版)_常见几何模型全归纳-V13_2025版
专题11圆中的重要模型之定角定高(探照灯)模型、米勒最大角模型解读与提分精练(人教版)(教师版)_初中数学_九年级数学下册(人教版)_常见几何模型全归纳-V13_2025版
专题11圆中的重要模型之定角定高(探照灯)模型、米勒最大角模型解读与提分精练(人教版)(教师版)_初中数学_九年级数学下册(人教版)_常见几何模型全归纳-V13_2025版
专题11圆中的重要模型之定角定高(探照灯)模型、米勒最大角模型解读与提分精练(人教版)(教师版)_初中数学_九年级数学下册(人教版)_常见几何模型全归纳-V13_2025版
专题11圆中的重要模型之定角定高(探照灯)模型、米勒最大角模型解读与提分精练(人教版)(教师版)_初中数学_九年级数学下册(人教版)_常见几何模型全归纳-V13_2025版
专题11圆中的重要模型之定角定高(探照灯)模型、米勒最大角模型解读与提分精练(人教版)(教师版)_初中数学_九年级数学下册(人教版)_常见几何模型全归纳-V13_2025版
专题11圆中的重要模型之定角定高(探照灯)模型、米勒最大角模型解读与提分精练(人教版)(教师版)_初中数学_九年级数学下册(人教版)_常见几何模型全归纳-V13_2025版
专题11圆中的重要模型之定角定高(探照灯)模型、米勒最大角模型解读与提分精练(人教版)(教师版)_初中数学_九年级数学下册(人教版)_常见几何模型全归纳-V13_2025版
专题11圆中的重要模型之定角定高(探照灯)模型、米勒最大角模型解读与提分精练(人教版)(教师版)_初中数学_九年级数学下册(人教版)_常见几何模型全归纳-V13_2025版
专题11圆中的重要模型之定角定高(探照灯)模型、米勒最大角模型解读与提分精练(人教版)(教师版)_初中数学_九年级数学下册(人教版)_常见几何模型全归纳-V13_2025版
专题11圆中的重要模型之定角定高(探照灯)模型、米勒最大角模型解读与提分精练(人教版)(教师版)_初中数学_九年级数学下册(人教版)_常见几何模型全归纳-V13_2025版
专题11圆中的重要模型之定角定高(探照灯)模型、米勒最大角模型解读与提分精练(人教版)(教师版)_初中数学_九年级数学下册(人教版)_常见几何模型全归纳-V13_2025版
专题11圆中的重要模型之定角定高(探照灯)模型、米勒最大角模型解读与提分精练(人教版)(教师版)_初中数学_九年级数学下册(人教版)_常见几何模型全归纳-V13_2025版
专题11圆中的重要模型之定角定高(探照灯)模型、米勒最大角模型解读与提分精练(人教版)(教师版)_初中数学_九年级数学下册(人教版)_常见几何模型全归纳-V13_2025版

文档信息

文档格式
docx
文档大小
6.163 MB
文档页数
55 页
上传时间
2026-04-06 05:03:46

文档内容

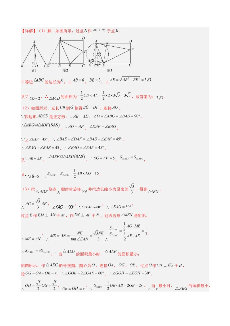
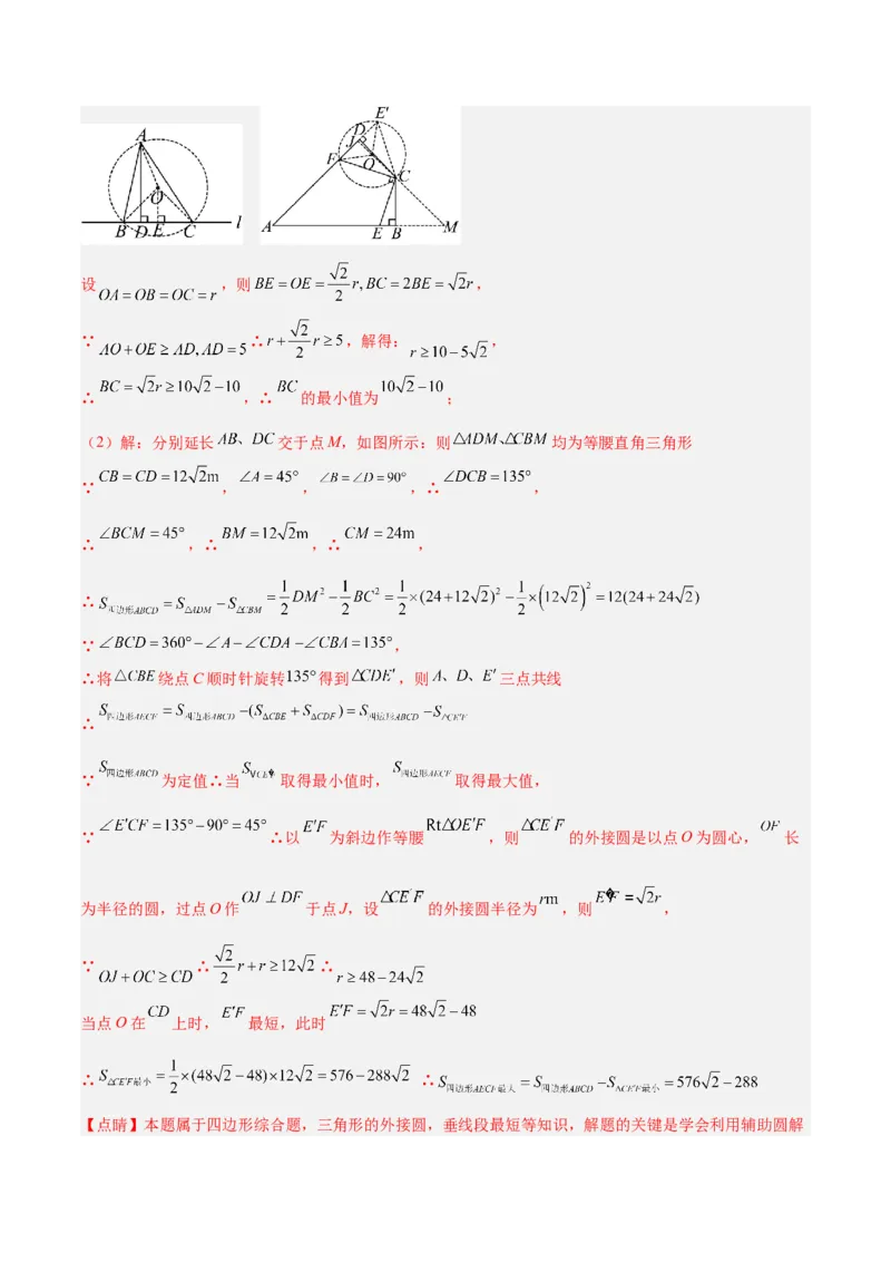
专题11 圆中的重要模型之定角定高(探照灯)模型、米勒最大角模型 圆在中考数学几何模块中占据着重要地位,也是学生必须掌握的一块内容,本专题就圆形中的重要模 型(米勒最大视角(张角)模型、定角定高(探照灯)模型)进行梳理及对应试题分析,方便掌握。 近几年一些中考几何问题涉及了“最大视角”与“定角定高”模型,问题往往以动点为背景,与最值 相结合,综合性较强,解析难度较大,学生难以找到问题的切入点,不能合理构造辅助圆来求解。实际上, 这样的问题中隐含了几何的“最大视角”与“定角定高”模型,需要对其中的动点轨迹加以剖析,借助圆 的特性来探究最值情形。而轨迹问题是近些年中考压轴题的热点和难点,既可以与最值结合考查,也可以 与轨迹长结合考查,综合性较强、难度较大。 ....................................................................................................................................................1 模型1.米勒最大张角(视角)模型...............................................................................................................1 模型2.定角定高模型(探照灯模型)...........................................................................................................8 ..................................................................................................................................................17 模型1.米勒最大张角(视角)模型 已知点A,B是∠MON的边ON上的两个定点,点C是边OM上的动点,则当C在何处时,∠ACB最大? 对米勒问题在初中最值的考察过程中,也成为最大张角或最大视角问题。 米勒定理:已知点AB是∠MON的边ON上的两个定点,点C是边OM上的一动点,则当且仅当三角形 ABC的外圆与边OM相切于点C时,∠ACB最大。M M C C O N O N A B A B 如图1,设C’是边OM上不同于点C的任意一点,连结A,B,因为∠AC’B是圆外角,∠ACB是圆周角, 易证∠AC’B小于∠ACB,故∠ACB最大。 M C' C D O N A B 在三角形AC’D中, 又 常常以解析几何、平面几何和实际应用为背景进行考查。若能从题设中挖出隐含其中的米勒问题模型, 并能直接运用米勒定理解题,这将会突破思维瓶颈、大大减少运算量、降低思维难度、缩短解题长度,从 而使问题顺利解决。否则这类问题将成为考生的一道难题甚至一筹莫展,即使解出也费时化力。 例1.(23-24·广东珠海·九年级统考期末)如图,在足球训练中,小明带球奔向对方球门PQ,仅从射门角 度大小考虑,小明将球传给哪位球员射门较好( ) A.甲 B.乙 C.丙 D.丁 【答案】D【分析】根据同弧所对的圆周角相等,得出 ,根据三角形外角的性质得出 ,得出 最大,进而即可求解. 【详解】解:如图所示, ∵ , ∴ 最大,∴小明将球传给丁球员射门较好,故选:D. 【点睛】本题考查了同弧所对的圆周角相等,三角形外角的性质,掌握以上知识是解题的关键. 例2.(2022·广西·统考中考真题)如图,某雕塑MN位于河段OA上,游客P在步道上由点O出发沿OB 方向行走.已知∠AOB=30°,MN=2OM=40m,当观景视角∠MPN最大时,游客P行走的距离OP是 米. 【答案】 【分析】先证OB是⊙F的切线,切点为E,当点P与点E重合时,观景视角∠MPN最大,由直角三角形 的性质可求解. 【详解】解:如图,取MN的中点F,过点F作FE⊥OB于E,以直径MN作⊙F, ∵MN=2OM=40m,点F是MN的中点,∴MF=FN=20m,OF=40m, ∵∠AOB=30°,EF⊥OB,∴EF=20m,OE=❑√3EF=20❑√3m,∴EF=MF, 又∵EF⊥OB,∴OB是⊙F的切线,切点为E,∴当点P与点E重合时,观景视角∠MPN最大,此时OP= m,故答案为: . 【点睛】本题考查解直角三角形的应用,切线的判定,直角三角形的性质,证明OB是⊙F的切线是解题 的关键. 例3.(23-24九年级下·北京·阶段练习)在平面直角坐标系 中,A为y轴正半轴上一点. 已知点 , , 是 的外接圆.(1)点P的横坐标为 ;(2)若 最大时,则 . 【答案】 3 【分析】本题考查坐标与图形,三角形的外接圆,圆周角定理,切线的性质,求正弦值,解题的关键是确 定点P,A的位置.(1)根据三角形的外接圆的圆心为三边中垂线的交点上,得到点 在 的中垂线上, 即可得出结果;(2)据 最大时, 与 轴相切,确定点 的位置,再根据正弦的定义进行计算 即可. 【详解】解:(1)∵三角形的外接圆的圆心为三边中垂线的交点上,∴点 在 的中垂线上, ∵ , ,∴点 的横坐标为 ;故答案为:3; (2)如图:当 与 轴相切于点 时, 的度数最大,理由如下: 若 过点 点,连接 , 交与 轴相切且过点 的圆于点 ,连接 ,则: , 又∵ ,∴ , ∴当 与 轴相切于点 时, 的度数最大,则: 轴,∵ , ,点 的横坐标为 ;∴ , 连接 ,过点 作 ,则: , , , ∴ ;故答案为: . 例4.(2024·陕西西安·模拟预测)问题探究:(1)如图1, 是 的弦,直线 与 相交于点 两点, 是直线 上异于点 , 的两个点,则 、 、 的大小关系是______ (用“ ”连接).(2)如图2, 是 的弦,直线 与 相切于点 ,点 是直线 上异于点 的任意一点,请在图2中画出图形,试判断 , 的大小关系,并证明. 问题解决:(3)某儿童游乐场的平面图如图3所示,场所工作人员想在 边上点 处安装监控装置,用 来监控 边上的 段,为了让监控效果最佳,必须要求 最大.已知 , 米, 米,问在 上是否存在一点 ,使得 最大,若存在,请求出此时 的长和 的 度数,如果不存在,请说明理由. 【答案】(1) (2) (3) , 【分析】(1)先利用三角形外角的性质得出 再利用同弧所对的圆周角相等得出 即可得出结论;(2)先利用三角形外角的性质得出 ,再利用同弧所对的 圆周角相等得出, 即可得出结论;(3)如图3中, 当经过 的 与 相切于 时,的值最大,作 于 , 交 于 , 连接 .设 ,用两种方法求出 ,构建方程即可解决问题. 【详解】(1)如图 ,延长 交 于 , 连接 , 是 的外角, , , ,故答案为: ; (2)画出图形如图 所示, 证明: 连接 , 是 的外角, , , ; (3)如图 中, 当经过 的 与 相切于 时, 的值最大, 作 于 , 交 于 ,连接 .设 , , , , , , , , ,整理得: , , 或 (舍弃), , , , , , . 【点睛】此题是圆的综合题,主要考查了三角形外角的性质,同弧所对的圆周角的性质,解直角三角形, 构造出直角三角形是解本题的关键. 例5.(2023·山西晋城·模拟预测)如图,已知抛物线 与 轴交于 、 两点( 在 的左侧),与 轴交于点 , ,点 的坐标为 . (1)求 、 、 的坐标及 的值;(2)直线 经过点 ,与抛物线交于 、 ,若 ,求直线 的解析式;(3)过点 作直线 , 为直线 上的一动点.是否存在点 ,使 的值最 大?若存在,求出此时 的值;若不存在,请说明理由. 【答案】(1) 、 , , ;(2)直线 的解析式为: 或 ; (3)存在, . 【分析】(1)令 ,即可求出点 、 坐标,再求出点 坐标代入抛物线解析式即可求出 . (2)如图1,作 于点 , 于点 ,则 ,设直线 的解析式为 ,, ,列出方程组消去 ,根据根与系数关系以及 ,列出方程即可解决问 题. (3)存在点 ,使 的值最大,当 时, 最小,此时 与 相切于点 (如图 3),求出 即可. 【详解】(1)解:令 ,得 , 、 ; , ,代入 得 ; (2)解:如图1,作 于点 , 于点 ,则 , , ,又 , , 设直线 的解析式为 , , , 由 消去 得 , , , , , , , 直线 的解析式为: 或 ; (3)解:存在点 ,使 的值最大, 如图2,设 的外接圆为 , 是弦心距,则 , 在 中, 为定值,当 的半径最小时, 最大, 当 时, 最小,此时 与 相切于点 (如图3),由 ,得 ,解得 , . 【点睛】本题考查二次函数综合题、根与系数关系、勾股定理、平行线分线段成比例定理、圆、锐角三角 函数等知识,解题的关键是学会利用根与系数的关系构建方程解决问题,学会添加常用辅助线,构造圆解 决问题,属于中考压轴题. 模型2.定角定高模型(探照灯模型) 定角定高模型:如图,直线BC外一点A,A到直线BC距离为定值(定高AD),∠BAC为定角,则BC有 最小值,即△ABC的面积有最小值。因为其形像探照灯,所以也叫探照灯模型。 条件:在△ABC中,∠BAC= (定角),AD是BC边上的高,且AD=h(定高)。 结论:当△ABC是等腰三角形(AB=AC)时,BC的长最小;△ABC的面积最小;△ABC的周长最小。 证明:如图,作△ABC的外接圆 ,连接OA,OB,OC, 过点O作OH⊥BC于点E,设 的半径为r,则∠BOH=∠BAC= ; ∴BC= 2BH=2OB sin =2r sin ,OH=OB cos =r cos 。 ∵OA+OH≥AD(当且仅当点A,O,H三点共线时,等号成立), ∴r+rcos ≥h,即 , 当取等号时r有最小值; ∴ , 当取等号时BC有最小值;∴ , 当取等号时△ABC有最小值; ∴ , 当取等号时△ABC有最小值。 例1.(23-24九年级上·江苏苏州·阶段练习)已知:如图,点O是直线l外一点,点O到直线l的距离是 4,点A、点B是直线l上的两个动点,且cos∠AOB= ,则线段AB的长的最小值为( ) A. B. C.3 D.4 【答案】D 【分析】法1:根据定角定高(探照灯)模型求解。 法2:如图,过点O作直线 直线l,则直线l与直线 之间的距离为4,作点B关于直线 的对称点 , 连接 , , 交直线 于点T,连接BT,过点A作AH⊥BT于H,过点T作TW⊥AB于W.首先证 明当A,O, 共线时, 的值最小,此时AB的值最小,解直角三角形求出此时AB的值,可得结论. 【详解】法1:根据定角定高(探照灯)模型知道:当△OAB是等腰三角形(OA=OB)时,AB的长最小; 设三角形△OAB的高为h,其外接圆半径为r,根据定角定高(探照灯)模型易得:r+rcos∠AOB≥h, 当取等号时r有最小值,此时BC的长最小:2r sin∠AOB; ∵O到直线l的距离是4,且cos∠AOB= ,∴r≥ ,sin∠AOB= ,∴BC≥4。 法2:如图,过点O作直线 直线l,则直线l与直线 之间的距离为4,作点B关于直线 的对称点 , 连接 , , 交直线 于点T,连接BT,过点A作AH⊥BT于H,过点T作TW⊥AB于W.在Rt 中,AB= ,∴ 的值最小时,AB的值最小, △ ∵OA+OB=OA+ ≥ ,∴当A,O, 共线时, 的值最小,此时AB的值最小, ∵直线l'垂直平分线段 ,∴TB= ,∴∠ =∠ , ∵∠TBA+∠ =90°,∠TAB+∠ =90°,∴∠TAB=∠TBA,∴TA=TB, ∵cos∠AOB=cos∠ATB= ,∴ ,∴可以假设TH=3k,AT=TB=5k,∴BH=TB-TH=2k, ∴AH= =4k,∴AB= , ∵ ,∴ ,解得k= , ∴AB的最小值 ,故选:D. 【点睛】本题考查解直角三角形,轴对称最短问题,解题的关键是学会利用轴对称的性质添加辅助线,学 会用转化的思想思考问题,属于选择题中的压轴题。 例2.(2023·陕西渭南·二模)如图,在 中, , 边上的高 为4,则 周长的最 小值为 . 【答案】 【分析】法1:根据定角定高(探照灯)模型求解。法2:作 的垂直平分线,交 于点N,交 于点 M,连接 ,则 周长 ,当点D与点M重合时, 周长 ,且为等边三角形,最后根据等边三角形的性质即可求解. 【详解】法1:设三角形△ABC的高为AD=h=4,其外接圆半径为r, 根据定角定高 (探照灯)模型知:r+rcos ≥h,即 , 当取等号时r有最小值(即AB=AC时);r的最小值为: ,BC的最小值为: , 此时△ABC是等腰三角形(AB=AC)时,△ABC的周长有最小值: . 法2:如图所示,作 的垂直平分线,交 于点N,交 于点M,连接 , ∵ 垂直平分 ,∴ , ∴ 周长 ∵在 中, ,∴ ,当点D与点M重合时, , ∴ 周长 ,∴ 周长的最小值 , ∵ , ∴ 为等边三角形,∵ 为 边上的高, , ∴ ,∴ 周长的最小值 ,故答案为: . 【点睛】本题主要考查了等边三角形的判定和性质,解直角三角形,解题的关键是正确作出辅助线,确定 当 周长最小时的情况. 例3.(23-24·广东·九年级校考阶段练习)如图,在△ABC中,∠BAC=60°,AD⊥BC于点D,且AD=4, 则△ABC面积的最小值为 . 【解析】作△ABC的外接圆⊙O,连接OA,OB,OC,过点O作OE⊥BC于点E,∵∠BAC=60°,∴∠BOC=120°,∵OB=OC,∴∠OBC=∠OCB=30°, 设⊙O的半径为r,则OE= OB= r,BE= OB= r,∴BC= r, ∵OA+OE≥AD,∴r+ r≥4,解得:r≥ ,∴BC≥ ,∴ , ∴△ABC的面积的最小值为 ,故答案为: . 例4.(23-24·重庆·九年级校考期中)如图,正方形ABCD边长为4,E、F分别是边BC、CD上的动点,则 △AEF面积的最小值为________. 【解析】“大角含半角+有相等且共端点的边”识别出“半角模型”,通过截长补短构造△AEF的全等三 角形△AEF',在△AEF'中,∠F'AE=45°,AB为定高,通过定角定高模型结论求出最值。 延长CD至点G,使DG=BE,连结AG,易证△ABE≌△ADG(SAS) ∴BE=DG,∠BAE=∠DAG ∴∠FAG=∠FAD+∠DAG=∠FAD+∠BAE=45°=∠EAF则△AEF'≌△AGF(SAS),作△AGF的外接圆圆心为O,连接OA、OG、OF,过得O作OH⊥GF于H, 则∠FOG=2∠FOH=2∠FAG=90°,设△AGF的外接圆的半径为R, 则GF= R,OH= R,由题意得,OA+OH≥AD,即R+ R≥4,解得,R≥8﹣ , ∴△AGF的面积≥ × ×(8﹣ )×4=16 ﹣16,∴△AFE的面积的最小值为16 -16. 例5.(2023·江苏淮安·二模)某数学兴趣小组同学遇到这样一个问题:如图1,点 是一只探照灯,距离 地面高度 ,照射角度 ,在地平线 上的照射范围是线段 ,此灯的光照区域 的 面积最小值是多少? (1)小明同学利用特殊化方法进行分析,请你完成填空:如图2,设 , ,构造 的外接圆 ,可得 ,即 的最小值为4,又 ,故得 的最小值为__________,通过计算可 得 的面积最小值为__________. (2)当 时,小慧同学采用小明的思路进行如下构造,请你在图1中画出图形,并把解题过程 续写完整:解:作 的外接圆 ,作 于H,设 (3)请你写出原题中的结论:光照区域 的面积最小值是__________________________.(用含 的式子表示);(4)如图3,探照灯A到地平线l距离 米,到垂直于地面的墙壁n的距离 米, 探照灯的照射角度 ,且 ,光照区域为四边形 ,点M、N分别在射线 上, 设 的面积为 , 的面积为 ,求 的最大值. 【答案】(1)8,16(2) (3) (4) 【分析】(1)当 和点 重合时, ,此时 最小为4,从而得出 ; (2)作 的外接圆 ,作 于 ,设 ,依次表示出 , , , ,根据列出 ,从而得出 的最小值,进一步得出结果; (3)同(2)步骤相同:作 的外接圆 ,作 于 ,设圆的半径为 ,依次表示出 , , ,根据 列出方程,从而得出 的最小值,进一步得出结果; (4)作 , 交 于 ,可证得 ,从而得出 ,可证得 ,从而得出由(3)结论知: 的最小值,进而变形得出 的最小值,可得 出 ,进一步得出结果. 【详解】(1)解: , ,当 和点 重合时, ,此时 最小为4, , 最小 ,故答案为:8,16; (2)解:如图1,作 的外接圆 ,作 于 ,设 , , , , , , , , 当点 在 上时, ,此时 最小, ; (3)解:如图2,作 的外接圆 ,作 于 ,设 , , , , , , , , , ,当点 在 上时, ,此时 , ,故答案为: ; (4)解:如图3,作 , 交 于 , , , , , , , , ,由(2)知: , , , , , , , 同理 , , . 【点睛】本题考查了圆周角定理,相似三角形的判定和性质,解直角三角形等有关知识,解决问题的关键 是作辅助线,构造相似三角形. 例6.(2023·重庆·校考三模)问题探究:(1)如图①,已知在△ABC中,∠B=∠C=30°,BC=6,则 S ABC= .(2)如图②,已知四边形ABCD中,∠ABC+∠ADC=180°,AD=DC,BD=4 ,请 △ 求出四边形ABCD面积的最大值.问题解决(3)如图③,某小区有一个四边形花坛ABCD,AD∥BC,AB =AD=CD=15m,∠B=∠C=60°.为迎接“十四运”,园艺师将花坛设计成由两种花卉构成的新造型, 根据造型设计要求,点E、F分别在边BC、CD上,且∠EAF=60°,现需要在△AEF的区域内种植甲种花 卉,其余区域种植乙种花卉.已知种植甲种花卉每平方米需200元,乙种花卉每平方米需160元.试求按 设计要求,完成花卉种植至少需费用多少元?(结果保留整数,参考数据: ≈1.7)【答案】(1) ;(2)16;(3) . 【分析】(1)过点A作 于点D,根据等腰三角形的性质求出 ,利用正弦求出 ,再根据三角形面积公式即可求解; (2)因为 , 四点共圆,所以当 BD是直径时,四边形ABCD的面积最大,此时 ,由勾股定理可得 ,因为四边形 ,所以 ,当 时,四边形ABCD是正方形,由 不难求出 ,进而求得四边形ABCD的最大面积;(3) 因为甲种花卉贵,所以若费用最 少,则甲种花卉种植面积最小, 最小时,将 绕A顺时针旋转 到 ,可证得 三点共线,通过证明 ,得 ,过点A作 过点A作 于 K,求得 ,作 的外接圆 ,连接 ,过点 作 于点N,通 过 过得 面积的最小值为 , 再通过求 求得乙种花卉的种植面积为 ,最后根据甲乙两种花卉每平方米的价格求出至少种植两种花卉的费. 【详解】解:(1)如图①,过点 作 于点D,, 是等腰三角形, , , ,故答案为: (2) , 四点共圆, 当 为直径时, 最大,此时 , , ,由勾股定理, , 时,四边形 是正方形, 最大, , , 的最大值= , (3)如图③ 甲种花卉贵, 若费用最少,则甲种花卉种植面积最小, 最小时,将 绕A顺时针旋转 到 ,由旋转可得 三点共线, , , 过点A作 过点A作 于K, , 作 的外接圆 ,连接 ,过点 作 于点N, 设在 中, , , , , , , 面积的最小值为 且 , 乙种花卉的种植面积为 种四花卉花费: 元,种乙花卉花费: 元, 至少花费 元. 【点睛】本题是一道四边形的综合题,考查了等腰三角形的性质,三角形全等的判定和性质,三角函数, 正方形的性质和判定,直径所对的圆周角是直角,三角形和四边形的面积问题等知识,利用四点共圆及图 形的旋转变换是解决本题的关键. 1.(2023·江苏苏州·九年级校考阶段练习)已知:如图,点O是直线l外一点,点O到直线l的距离是4,点A、点B是直线l上的两个动点,且cos∠AOB= ,则线段AB的长的最小值为( ) A. B. C.3 D.4 【答案】D 【分析】法1:运用定角定高(探照灯)模型求解。 法2:如图,过点O作直线 直线l,则直线l与直线 之间的距离为4,作点B关于直线 的对称点 , 连接 , , 交直线 于点T,连接BT,过点A作AH⊥BT于H,过点T作TW⊥AB于W.首先证 明当A,O, 共线时, 的值最小,此时AB的值最小,解直角三角形求出此时AB的值,可得结论. 【详解】法1:设三角形△ABO的高为h=4,其外接圆半径为r,∠AOB= 根据定角定高(探照灯)模型知道:当△ABO是等腰三角形(AO=BO)时。 ∴r+rcos ≥h,即 , 当取等号时r有最小值; ∴ =4, 当取等号时AB有最小值; 法2:如图,过点O作直线 直线l,则直线l与直线 之间的距离为4,作点B关于直线 的对称点 , 连接 , , 交直线 于点T,连接BT,过点A作AH⊥BT于H,过点T作TW⊥AB于W.在Rt 中,AB= ,∴ 的值最小时,AB的值最小, △ ∵OA+OB=OA+ ≥ ,∴当A,O, 共线时, 的值最小,此时AB的值最小, ∵直线l'垂直平分线段 ,∴TB= ,∴∠ =∠ , ∵∠TBA+∠ =90°,∠TAB+∠ =90°,∴∠TAB=∠TBA,∴TA=TB, ∵cos∠AOB=cos∠ATB= ,∴ ,∴可以假设TH=3k,AT=TB=5k, ∴BH=TB-TH=2k,∴AH= =4k, ∴AB= , ∵ ,∴ ,解得k= , ∴AB的最小值 ,故选:D. 【点睛】本题考查解直角三角形,轴对称最短问题,解题的关键是学会利用轴对称的性质添加辅助线,学 会用转化的思想思考问题,属于选择题中的压轴题. 2.(23-24九年级上·广东广州·期中)如图,已知正方形 和直角三角形 , , ,连接 , .若 绕点A旋转,当 最大时, 的面积是( ) A. B.6 C.8 D.10 【答案】B 【分析】作 于H,由题意知 绕点A旋转时,点F在以A为圆心,4为半径的圆上,当 为此圆的切线时, 最大,即 ,利用勾股定理计算出 ,接着证明得到 ,然后根据三角形面积公式求解. 【详解】解:作 于H,如图, ∵ , ∴当 绕点A旋转时,点F在以A为圆心,4为半径的圆上, ∴当 为此圆的切线时, 最大,即 , 此时 , ∵ , ∴ , ∵ , ∴ , 在 和 中, , ∴ , ∴ , ∴ . 故选:B. 【点睛】本题考查了旋转的性质、全等三角形的判定与性质、正方形的性质、勾股定理、圆的性质等知识; 熟练掌握旋转的性质,证明三角形全等是解题的关键. 3.(2024·陕西宝鸡·模拟预测)如图,点P为 上一动点,点A为圆内一点,且满足 ,当 最大时,则 的长是 .【答案】 【分析】本题考查的是圆的基本性质,锐角三角函数的应用,勾股定理的应用,作出合适的辅助线是解本 题的关键,先过 作 于 , ,可得 最大,则 最大,再进一步解 题可得答案. 【详解】解:如图,过 作 于 , , ∴ ,∴ 最大,则 最大,∴此时 , ∴ ,故答案为: 4.(23-24九年级上·北京西城·期中)如图,在平面直角坐标系 中,P为x轴正半轴上一点.已知点 , , 为 的外接圆.(1)点M的纵坐标为 ;(2)当 最大时,点P的坐 标为 .【答案】 5 【分析】(1)根据点A、点B的坐标求出 的中点,根据外心的概念得到点M的纵坐标; (2)连接 、 ,过点M作 轴于点N,根据垂径定理求出 ,进而求出 ,根据勾股定理 计算,得到答案. 【详解】解:(1)∵点 , , ∴ 的中点坐标为 , ∵ 为 的外接圆, ∴点M在 的垂直平分线上, ∴点M的纵坐标为5, 故答案为:5; (2)连接 , , 根据解析(1)可知,点M一定在直线 上, ∵ 为 的外接圆,点P在x轴上, ∴ , ∴ , 如图,过点M作 于点N, ∵ , ∴ , , ∵ ,∴ , ∴ , ∵ , ∴当 最小时, 最大,即 最大, 最大, ∴当 ,即当 与x轴相切于点P时, 最大, 连接 、 , ∵ 与x轴相切于点P, ∴ 轴, ∴四边形 为矩形, ∴ , , 在 中, , ∴ , ∴点P的坐标为 , 故答案为: . 【点睛】本题考查的是三角形的外接圆与外心、切线的性质、圆周角定理,根据圆周角定理得到当 与 x轴相切于点P时, 最大是解题的关键. 5.(2023·陕西咸阳·统考二模)如图,在正方形ABCD中,AB=4,M是AD的中点,点P是CD上一个 动点,当∠APM的度数最大时,CP的长为 .【答案】4-2❑√2 【分析】过点A、M作⊙O与CD相切于点P',记AM的中点为N,PM与⊙O交于点Q,连接 AP',M P',OM,OP',AQ,则∠AP'M=∠AQM>∠APM,证明四边形OP'DN是矩形, 再求出圆的半 径,利用勾股定理和矩形的性质即可求解. 【详解】:过点A、M作⊙O与CD相切于点P',记AM的中点为N,PM与⊙O交于点Q,连接 AP',M P',OM,OP',AQ, 则∠AP'M=∠AQM>∠APM, ∵四边形ABCD是正方形,AB=4,∴∠ADP'=90°,AD=CD=AB=4, 1 ∵M是AD的中点,∴AM=DM= AD=2, 2 ∵过点A、M作⊙O与CD相切于点P',∴∠OP'D=90°, 1 ∵AM的中点为N,∴ON⊥AM,AN=NM= AM=1, 2 ∴∠OND=90°,∴四边形OP'DN是矩形, ∴OM=OP'=DN=DM+MN=3, 在Rt△MON中,ON=❑√OM2-M N2=2❑√2, ∴DP'=ON=2❑√2,∴当点P运动到点P'时,∠APM最大, 此时CP=4-2❑√2,故答案为:4-2❑√2 【点睛】本题考查了最大张角问题,涉及到了切线的性质、垂径定理、圆周角定理、正方形的性质、勾股 定理解三角形、矩形的判定与性质等内容,解题关键是理解当P点在与BC相切且经过D点和M点的圆上且位于切点处时张角最大. 6.(2023·山东·九年级期中)如图,在平行四边形ABCD中,AD与BC之间的距离为2,点E是AD边上一 点,且∠BEC=45°,则四边形ABCD面积的最小值为 。 【解析】如图,过点E作EF⊥BC于点F,作三角形BEC的外接圆 , 连接OB,OC,OE,过点O作OG⊥BC于点G,则EF=2,(AD与BC之间的距离为2), BG=CG= BC,OB=OC=OE,∠ BOC=2∠BEC, ∵∠BEC= 45°,∴∠BOC= 90°,∠OBC=∠OCB=45°, 设OB=OC=OE=r,则OG= BG= r,BC=2BG= r, ∵OE+OG≥EF,,∴ r+ r≥2,解得r≥4 -4,即BC≥4 -4, 当G,O,E三点共线,即EF与EG重合时,BC有最小值,最小值为4 -4, ∴S =BC ×EF=(4 -4)×2=8 -8,四边形ABCD面积的最小值为8 -8。 ABCD最小 最小 7.(2024九年级上·江苏·专题练习)如图,在 中, , 边上的高 ,则 周长的最小值为 .【答案】 【分析】法1:根据定角定高(探照灯)模型求解。 法2:延长 到E,使得 ,延长 到F,使得 ,连接 ,作 的外接圆 , 过点O作 于点J,交 于点T.求出 的最小值,可得结论. 【详解】法1:根据定角定高(探照灯)模型知道: 当△ABC是等腰三角形(AB=AC)时,△ABC有最小值。 再结合 , 边上的高 ,∴BC=12,AB=AC= 。 ∴ 的周长的最小值为 ,故答案为: . 法2:如图,延长 到E,使得 ,延长 到F,使得 ,连接 ,作 的外接 圆 ,连接 ,过点O作 于点J,交 于点T. ∵ ,∴ , ∵ ,∴ , ∴ ,∴ ,∵ ,∴ ,∴ , 设 ,则 , ,∵ ,∴ 最小时, 的周长最小,∵ ,∴ ,∴ , ∴ ,∴ ,∴ , ∴ 的周长的最小值为 ,故答案为: . 【点睛】本题考查轴对称最短问题,等腰直角三角形的判定和性质,三角形的外接圆等知识,解题的关键 是学会添加常用辅助线,构造特殊三角形解决问题,属于中考填空题中的压轴题. 8.(23-24九年级·江苏南京·自主招生)某博物馆出土了一件文物,文物长度为 ,摆放在高度为 的展示架上,一老师打算带舞蹈团去参观,舞蹈团的平均身高为 ,为了保证观看视角最大 (视角:人眼与被观看物两边构成的角),栅栏 应摆放在距 多远的位置? 【答案】 【分析】本题综合考查了与圆相切的位置关系和勾股定理,找出最大视角即与圆相切的位置关系是解决问 题的关键. 根据题意画出图形找到最大视角,运用与圆有关的位置相切和勾股定理求解即可. 【详解】解:如图,在 上截取 ,则 在过 ,且与地面平行的直线 上, 当过 , , 的 与 相切时, 最大, 过 作 ,则 , ,, 栅栏 应摆放在距 的位置. 9.(23-24九年级上·陕西西安·阶段练习)问题发现(1)如图1, 是 的弦,直线 交 于点 , 在直线 上找一点 ,使得 ,请画出满足条件的一个 . 问题探究(2)如图2,已知射线 、 , ,点 、 在射线 上,点 是射线 上一动 点, , ,当 最大时,请求出此时 的长. 问题解决(3)如图3,某公园准备修建一室外儿童游乐园,地面道路 边的 段为儿童游乐园的入口, 安全管理部门准备在与地面道路 夹角为 的射线 方向上确定一点 ,并架设横杆 ,使得 且 ,在点 处安装一摄像头,对入口段 实施监控(点 、 、 、 、 、 、 在同一平面内).已知 , , .调研发现,当 最大时监控效果最好. 请问能否找到一个点 ,从而确定点 ,使得 达到最大?如果存在,请确定点 的位置,并求出此 时 的值;如果不存在,请说明理由. 【答案】(1)见解析;(2) ;(3)满足条件点 的位置是 ,此时 【分析】(1)设直线 交 于 , ,根据三角形的外角的性质,当点 在点 的左侧或点 的右侧时, 满足条件.(2)如图2中,作线段AB的垂直平分线,垂足为 ,在线段AB的垂直平分线上取一点 , 以 为圆心, 为作 ,当 与直线 相切于点 时, 的值最大.(3)存在.过点 作 交 于 ,作线段AB的垂直平分线垂足为 ,在线段AB的垂直平分线上取一点 ,以 为圆心, 为作 ,当 与直线 相切于点 时, 的值最大.延长 交 的延长线于 ,连接 , . ,则 ,利用勾股定理构建方程求出 ,再求出 即可. 【详解】解:(1)如图, , .(2)如图2中,作线段AB的垂直平分线,垂足为 ,在线段AB的垂直平分线上取一点 ,以 为圆心, 为作 ,当 与直线 相切于点 时, 的值最大. 是 的切线, , , , 四边形 是矩形, , , , , , 当 最大时, 的长为 . (3)存在.理由:过点 作 交 于 ,作线段AB的垂直平分线垂足为 ,在线段AB的垂直 平分线上取一点 ,以 为圆心, 为作 ,当 与直线 相切于点 时, 的值最大.延长 交 的延长线于 ,连接 , . , , 是 的切线, , , , , ,, 设 , ,则 , 由题意, , , , , , , , , , 在 中, , , 整理得, , 解得 或 (舍), , , , ,此时 . ∴满足条件点 的位置是 ,此时 . 【点睛】本题考查了直线与圆的位置关系,解直角三角形,切线的判定和性质等知识,解题的关键是理解题意,学会用转化的思想思考问题,学会利用参数构建方程解决问题. 10.(2023·广东深圳·一模)船在航行过程中,船长常常通过测定角度来确定是否会遇到暗礁.如图1, A,B表示灯塔,暗礁分布在经过A,B两点的一个圆形区域内,优弧 上任一点C都是有触礁危险的临 界点, 就是“危险角”.当船P位于安全区域时,它与两个灯塔的夹角 与“危险角” 有 怎样的大小关系? (1)数学小组用已学知识判断 与“危险角” 的大小关系,步骤如下:如图2, 与 相交于点 D,连接 ,由同弧或等弧所对的圆周角相等,可知 , 是 的外角, (填“ ”,“ ”或“ ”), (填“ ”,“ ”或“ ”); (2)如图3,已知线段 与直线l,在直线l上取一点P,过A、B两点,作 使其与直线l相切,切点为 P,不妨在直线上另外任取一点Q,连接 、 ,请你判断 与 的数量关系,并说明理由; (3)一位足球左前锋球员在某场赛事中有一精彩进球,如图4,他在点P处接到球后,沿 方向带球跑动, 球门 米, 米, 米, , .该球员在射门角度( )最 大时射门,球员在 上的何处射门?(求出此时 的长度.) 【答案】(1) , (2) ,理由见解析 (3) 【分析】(1)由 是 的外角,可得 ,即可求解; (2)设 与 交于点G,连接 ,可证 ,从而可证 ,即可求证; (3)当经过A,B的 与 相切时, 最大,过点O作 交 于点H,延长 交 于 点E,过点E作 交 于点F,四边形 是矩形, 可求 ,可证是等腰直角三角形,设 的半径 , ,由此即可求解. 【详解】(1)解: 是 的外角, , , 故答案为: , . (2)解: ,理由如下: 如图所示,设 与 交于点G,连接 , , , 是 的外角, , . (3)解:如图所示,由(2)可得,当经过A,B的 与 相切时, 最大, 过点O作 交 于点H,延长 交 于点E,过点E作 交 于点F, , , , ,AD⊥DF,四边形 是矩形, , , , , , , , , , 是等腰直角三角形, 设 的半径 , , , 在 中, , , 解得: 或 (舍去), , . 答: 的长度为 . 【点睛】本题主要考查了圆的基本性质,三角形的外角性质,等腰三角形的判定及性质,矩形的判定及性 质,勾股定理,三角函数等掌握相关的性质,找出最大角的条件是解题的关键 11.(24-25九年级上·江苏盐城·期中)根据以下素材,完成探索任务. 生活中的最大视角问题 素 如图1,直线 , 相交于点 ,A,B为直线 上两点且在 同侧,C为直线 上一动点,当 材 1 的外接圆与动点C所在直线相切时, 最大.如图2,在 上任取异于点C的一点D,连接 ,交圆于点E,连接 ,可证得 . 如图3,山顶有一座古塔 ,已知塔的高度 为 ,距离山脚 的观测点E处(即 )看古塔的视角最大. 素 材 2 如图4,若动点C在半径为r的 上,经过点A、点B的 (半径为R)与点C所在圆外切时, 最大.(参考:两圆外切时一个圆在另一个圆的外面,且有唯一公共点,此时两圆心与切点 三点共线) 素 材 3 如图5,摩天轮的半径为 (它的最低点距地面的高度忽略不计),与摩天轮在同一竖直平面内有 一长度为 的风景带 ,其中 为 ,点P从最低点A处按逆时针转动到最高点B处. 素 材 4 问题解决任 务 结合图2,说明 . 一 任 务 结合图3,求山的高度. 二 任 务 结合图4,写出两个圆外切时,圆心之间的距离 _______.(用含R和r的代数式表示) 三 任 务 结合图5,若从点P处看风景带 视角最大,求 的度数. 四 【答案】任务一:见解析;任务二: ;任务三: ;任务四: 【分析】任务一,根据圆周角定理,建立圆周角与圆外角之间的联系,即得答案; 任务二,根据最大视角的定义可知, 的外接圆 与 相切于点E,过点O作 于点H, 连结 , ,根据垂径定理求得 的半径长,即可进一步求得答案; 任务三,根据素材三给出的两圆外切的概念阐述,即得答案; 任务四,由题意得点P位于 的外接圆 与 外切的切点处,过点 作 于点C, 于点D,连结 , ,则切点P在 上,设 的半径为r(m), (m),根据 勾股定理列出方程组,解方程组得 ,可知点O与点D重合,即得答案. 【详解】解:任务一,由圆周角定理得 , 是 的一个外角, , ; 任务二,根据最大视角的定义可知, 的外接圆 与 相切于点E, 过点O作 于点H,连结 , , 则 , , 四边形 是矩形, , (m),(m), 在 中, (m), (m), (m), 即山的高度为 ; 任务三, 与 外切, ,C, 三点共线, 两圆心之间的距离 ; 故答案为: ; 任务四, 若从点P处看风景带 视角最大, 由素材三可知,点P位于 的外接圆 与 外切的切点处, 过点 作 于点C, 于点D,连结 , , 则切点P在 上, , (m), 设 的半径为r(m), (m), 则 (m), , , ,四边形 是矩形, (m), (m), (m), 在 和 中, , 解得 , , 即点O与点D重合, . 【点睛】本题主要考查了圆的切线的性质定理,圆周角定理,垂径定理,矩形的判定与性质,正确理解最 大视角的定义是解题的关键. 12.(24-25九年级上·湖南长沙·期中)如图,已知正方形 ,以顶点 为直角顶点的等腰 在 正方形外部绕点 旋转. (1)如图1,连接 与 ,在旋转过程中小语同学发现 ,请你帮小语同学完成证明过程; (2)如图2,若 , ,在旋转过程中, ①求点 与点 之间的最大距离;②当 最大时,连接 ,求 的面积. 【答案】(1)见解析(2)① ;②24 【分析】(1)先根据 证明 ,得出 即可;(2)①连接 , ,根据题意可知 ,当点 ,点 ,点 共线时, 可以取得最大值; ②以点 为圆心,以8为半径作圆,可知当 为圆的切线时, 最大,可求得 ,证明 ,得出 ,代入数据求出 ,根据三角形面积公式求出结果即可. 【详解】(1)证明:∵四边形 为正方形,∴ , , ∵ 为等腰直角三角形,∴ , , ∴ ,即 ,∴ ,∴ ; (2)解:①如图所示,连接 , . ∵四边形 为正方形,∴ , , ∴ ,根据题意可知: . 且当点 ,点 ,点 共线时, 可以取得最大值, ∴ ,即点 与点 之间的最大距离为 . ②以点 为圆心,以8为半径作圆,可知当 为圆的切线时, 最大. ∵此时 与 相切,∴ ,∴ ,根据勾股定理得: , 过点 作直线 的垂线,交直线 于点N,∵ ,∴ ,∵ ,∴ ,∴ ,即 ,∴ . ∴ . 【点睛】本题主要考查了正方形的性质,三角形全等的判定和性质,三角形相似的判定和性质,勾股定理, 切线的性质,解题的关键是数形结合,作出辅助线,熟练掌握相关的判定和性质. 13.(23-24九年级下·重庆·阶段练习)如图,在平面直角坐标系中,已知抛物线 ( ) 过点 、 ,与 轴交于点 .(1)求抛物线的表达式:(2)点 为第四象限内抛物线上一动点, 过点 作 轴交直线 于 , 为直线 上一点,且 ,求 的最大值及此时点 的坐标:(3)在(2)问的前提下,在抛物线对称轴上是否存在点 ,使 的度数最大,若存在,请写 出 点的坐标,并做详细解答. 【答案】(1) (2) 的最大值为 , (3) 【分析】(1)用待定系数法,将点 ,点 坐标代入 ,即可求解, (2)先证明 ,得出 ,设 ,求出 ,则 ,然后证明 是等腰直角三角形,得出 , ,则可求 ,然后根据二次函数的性质求解即可; (3)利用圆周角定理判断出当 的外接圆与对称轴相切时, 的度数最大,然后设 , ,利用 相等构造方程组求解即可. 【详解】(1)解:将点 ,点 代入 可得: ,解得: ,故抛物线的解析式为: ; (2)解:当 时, ,∴C(0,-3),∴ , ∵ , ∴ , ,设直线 解析式为 , 则 ,解得 ,∴直线 解析式为 , 过点F作 于H,∴ , 又 ,∴ ,∴ ,设 , ∵ 轴,∴点E的纵坐标为 ,代入 ,得 ,解得 , ∴ ,∴ ,∵ , ,∴ ,∵ 轴,∴ ,∴ 是等腰直角三角形, ∴ , ,∴ ,∴ , ∵ ,∴ , ∴ , ∴当 时, 取最大值为 ,此时 ,∴ 的最大值为 , ; (3)解:∵ ,∴对称轴为 , 作 的外接圆,记为 , ∵点M在对称轴上运动,∴对称轴与 相交或相切, 设 与对称轴相切于M,在对称轴上另取一点 ,连接 , , , , 与 相交于 点N,则 ,由 ,∴ , ∴当 与对称轴相切时, 的度数最大,此时 ,设 , ,则 ∵ ,∴ ,整理得 , 解得 (舍去), ,∴ 【点睛】本题考查二次函数的综合应用,待定系数法求二次函数解析式,二次函数的最值,解题的关键是: (1)熟练掌握待定系数法求二次函数解析式,(2)用含字母的式子表示点坐标和相关线段的长度,熟练掌握求二次函数最值, (3)利用圆周角定理找到符合已知条件的点M的位置. 14.(2024·陕西·二模)(1)如图1,已知点A是直线l外一点,点B,C均在直线l上, 于点D, 且 , ,求 的最小值; (2)如图2,某公园有一块四边形空地 ,园区管理人员计划将该空地进行划分,种植不同的花卉, 点E,F分别为 , 上的点, , 将其分为三个区域.已知 , , ,若保持 ,试求四边形 面积的最大值. 【答案】(1) 的最小值为 ;(2) 【分析】(1) 的外接圆 ,连接 ,过点O作 ,先由圆周角定理和垂径定 理得 , ,则 , ,设 , 则 ,再由 即可求解; (2)长 交于点M,如图所示:则 均为等腰直角三角形,将 绕点C顺时针旋 转 得到 ,则 三点共线 由 ,因 为 为定值, 取得最小值时, 取得最大值. 【详解】(1)解:如图,作 的外接圆 ,连接 ,过点O作 ,则 , ∵ ∴ ,设 ,则 , ∵ ∴ ,解得: , ∴ ,∴ 的最小值为 ; (2)解:分别延长 交于点M,如图所示:则 均为等腰直角三角形 ∵ , , ,∴ , ∴ ,∴ ,∴ , ∴ ∵ , ∴将 绕点C顺时针旋转 得到 ,则 三点共线 ∴ ∵ 为定值∴当 取得最小值时, 取得最大值, ∵ ∴以 为斜边作等腰 ,则 的外接圆是以点O为圆心, 长 为半径的圆,过点O作 于点J,设 的外接圆半径为 ,则 , ∵ ∴ ∴ 当点O在 上时, 最短,此时 ∴ ∴ 【点睛】本题属于四边形综合题,三角形的外接圆,垂线段最短等知识,解题的关键是学会利用辅助圆解决问题,属于中考常考题型. 15.(2024·广东深圳·二模)【问题提出】(1)如图1,在边长为 的等边 中,点 在边 上, ,连接 ,则 的面积为____ 【问题探究】(2)如图2,已知在边长为 的正方形 中,点 在边 上,点 在边 上,且 ,若 ,求 的面积; 【问题解决】(3)如图3是我市华南大道的一部分,因自来水抢修,需要在 米, 米的矩形 区域内开挖一个 的工作面,其中 、 分别在 、 边上 不与点 、 、 重合 ,且 ,为了减少对该路段的交通拥堵影响,要求 面积最小,那么是否存在一个面积最小的 若存在,请求出 面积的最小值;若不存在,请说明理由. 【答案】(1) ;(2) ;(3)存在一个面积最小的 ,其最小值为 平方米 【分析】(1)过点 作 于点 ,勾股定理求得 ,进而根据三角形的面积公式进行计算即可求 解; (2)延长 到 使得 ,连接 ,证明 , ,得出 , ,进而根据三角形的面积公式,即可求解; (3)把 绕点 顺时针旋转 并把边长缩小为原来的 ,得到 ,得出 ,过点 作  于 ,作  于 ,则四边形 是矩形,则  ,得出 当 的面积最小时, 的面积最小;作 的外接圆,圆心为 ,连接 , , ,过点 作  于 ,当 最小时, 的面积最小,进而求得当 、 、 三点共线时, 有最小值,最小值 为 米,然后根据 ,即可求解.【详解】(1)解:如图所示,过点 作 于点 , ∵等边 的边长为 ,∴ , ,∴ 又∵ ,∴ 的面积为 ,故答案为: . (2)如图所示,延长 到 使得 ,连接 , 四边形 是正方形, , , , , , ∠ , , , , 又 , , , , 又 , ; (3)把 绕点 顺时针旋转 并把边长缩小为原来的 ,得到 , , , , , 过点 作 于 ,作 于 ,则四边形 是矩形, , , , 当 的面积最小时, 的面积最小; 如图所示,作 的外接圆,圆心为 ,连接 , , ,过点 作 于 , 设 , , , , , , 当 最小时, 的面积最小,, , , 当 、 、 三点共线时, 有最小值,最小值为 米, 平方米 存在一个面积最小的 ,其最小值为 平方米. 【点睛】本题考查了解直角三角形,相似三角形的性质,旋转的性质,圆的性质,矩形的性质,勾股定理, 等边三角形的性质,正方形的性质,全等三角形的性质与判定,熟练掌握以上知识并应用是解题的关键. 16.(2023·吉林长春·模拟预测)【问题提出】(1)如图①, 为 的一条弦,圆心 到弦 的距离 为4,若 的半径为7,则 上的点到弦 的距离最大值为______; 【问题探究】(2)如图②,在 中, 为 边上的高,若 ,求 面积的最 小值; 【问题解决】(3)如图③,在 中, 平分 交 于点 ,点 为 上一点, 米, .则四边形 的面积的最小值为______. 【答案】(1)11;(2) ;(3) 平方米 【分析】(1)根据圆的性质直接可得答案;(2)作 的外接圆 ,连接 ,过点O作 于点 ,设 ,则 ,根据垂线段最短可得R的最小值,从而得出 的 最小值,进而得出答案;(3)过点 作 于点 于点 ,则 ,在 上截取 ,连接 ,利用 证明 ,则,要使四边形 的面积最小,只需 的面积最 小,由(2)同理求出 面积的最小值即可. 【详解】解:(1)∵圆心 到弦 的距离为4,若 的半径为7, ∴ 上的点到弦 的距离最大值为 ,故答案为:11; (2)作 的外接圆 ,连接 ,过点O作 于点 ,如图. , , ,设 ,则 , 由 ,得 ,即 ,∴ , , .即 面积的最小值为 ; (3)过点 作 于点 于点 ,∵ 平分 ,∴ . 又 , . 米, , , 、 为等腰直角三角形,∴ 米, (平方米), 平方米. 在 上截取 ,连接 ,如图. , , , 要使四边形 的面积最小,只需 的面积最小. , , , 作 的外接圆 ,如图,连接 ,作 于点 ,则 ,∴ .设 ,则 . 由 ,得 ,解得 , 米, (平方米), (平方米). 即四边形 的面积存在最小值,最小值为 平方米.故答案为: 平方米. 【点睛】本题考查了圆的性质,全等三角形的判定与性质,圆周角定理,垂径定理,全等三角形的判定与 性质,角平分线的性质,勾股定理,垂线段最短等知识,将四边形面积最小问题转化为三角形面积最小是 解题的关键. 17.(2024九年级下·广东·专题练习)问题提出: 如图1:在 中, 且 ,点O为 的外心,则 的外接圆半径是 . 问题探究:如图2,正方形 中,E、F分别是边 两边上点且 ,请问线段 有怎样的数量关系?并说明理由. 问题解决:如图3,四边形 中, , ,点E、F分别是射线 上的动点,并且 ,试问 的面积是否存在最小值?若存在,请求出最小值. 若不存在,请说明理由. 【答案】问题提出: ;问题探究: ,见解析;问题解决: 【分析】此题考查全等三角形的判定和性质、圆周角定理、解直角三角形等知识,添加合适的辅助线进行 推理证明是解题的关键. 问题提出:作出 的外接圆 , 证明 ,则 ,即可得到 答案; 问题探究:延长 ,使 ,连接 ,证明 ,得到 ,再证明 ,即可得到 ; 问题解决:延长 ,使 ,证明 ,得到 ,证明 ,在 中, ,则 边上的高 ,画 的外接圆 ,作 于M,得到 ,设 , , , ,由 得到 ,得到 的最小值为 ,即可得到 的最小值. 【详解】问题提出:如图1,作出 的外接圆 , ∵ ,∴ ,∵ ,∴ ,故答案为: . 问题探究: ,理由如下:如图2,延长 ,使 ,连接 , ∵四边形 是正方形,∴ , , 在 和 中, ,∴ ,∴ , ∵ ,∴ ,∴ , 在 和 中, ,∴ ,∴ ; 问题解决:存在最小值,如图3,延长 ,使 ,∵ ,∴ ,∴ , 又∵ ,∴ ,∴ , ∵ ,∴ , ∵ ,∴ ,∴ ,∴ , 在 中,∵ , 边上的高 , 画 的外接圆 ,作 于M, ∵ ,∴ ,设 , , , , ∵ ,∴ ,∴ , ∴ 的最小值为 ,∴ 的最小值为 . 18.(23-24九年级上·浙江金华·期末)请根据素材,完成任务. 素 如图,在 中, ,垂足为点D,若保证 始终为 材 直角,则点A、B、C在以 为直径的圆上. 一 如图,在 C中, , ,垂足为点D,取 素 的中点O,连接 ,根据“直角三角形斜边上的中线等于斜边的一 材 二 半”可知 ,可得 . 如图,矩形 是某实验室侧截面示意图,现需要在室内安装一块长 素 1米的遮光板 ,且 ,点E到墙 的距离为4米,到地面 材 的距离为5米.点O为室内光源, 、 为光线, , 三 通过调节光源的位置,可以改变背光工作区的大小.若背光工作区 的和最大时,该实验室“可利用比”最高. 任 若素材一中的 ,求 的最大值. 务一 任 务 若素材二中的 ,求 的最小值. 二 任 若任务二中的 改成 ,其余条件不变,请直接写 务 出 的最小值. 三 任 若任务二中的 , 改成 , ,请直接 务 写出 的最小值. 四 任 务 当素材三中的实验室“可利用比”最高,求此时 的值 五 【答案】任务一: ;任务二: ;任务三: ;任务四: ;任务五: 【分析】本题考查了阅读学习型考题,先学习后应用是解题的关键. (1)根据斜边大于直角边计算即可.(2)根据斜边大于直角边计算即可.(3)作 的外接圆 ,作 于E,作直径 ,连接 , ,设 的半径是R,构造素材二问题背景求解即可. (4)作 的外接圆 ,作 于E,作直径 ,连接 ,设 的半径是R,构造素材二问题 背景求解即可. (5) 作 于G,延长 交 于H,证明 ,把问题转化任务4求解即可. 【详解】解:任务一如图,取AB的中点O,连接 ∵ , , .∴ ,故 的最大值为2. 任务二,如图1, 的最小值为12.理由如下:取 的中点O,连接 ,根据“直角三角形斜边上的 中线等于斜边的一半”可 ,可得 ,∴ 即 ,故 的最小值为12. 任务三,如图2,解:作 的外接圆 ,作 于E,作直径 ,连接 , ∴ ,设 的半径是R, ∵ ,∴ ,∴ , , ∵ ,∴ ,∴ ,∵ ∴ , ∴ ,∴ ,∴ ,∴ 的最小值是 . 任务四,如图2,解:作 的外接圆 ,作 于E,作直径 ,连接 , ∴ ,设 的半径是R,∵ , ,∴ , ∴ , ,∵ ,∴ ,∴ , ∵ ∴ ,∴ , ∴ ,∴ ,∴ 的最小值是 . 任务五,如图3,作 于G,延长 交 于H, ∵ ,∴ ,设 ,∴ , ∴ ,在 的延长线上截取 , ∵ ∴ , ∵ ,∴ ,∴ , ∴ , 由任务四可知, , ∵ , 当 最小时,∴ 取得最大值,此时最大值为 . 【点睛】本题考查了直角三角形的性质,圆的性质,三角函数的性质,线段和的最值,三角形全等的判定 和性质,三角形外角性质,熟练掌握治疗三角形的性质,圆的性质,三角函数是解题的关键.