当前位置:首页>文档>专题17.6勾股定理(直通中考)(提升练)-(人教版)_初中数学_八年级数学下册(人教版)_专题突破练习-V4

专题17.6勾股定理(直通中考)(提升练)-(人教版)_初中数学_八年级数学下册(人教版)_专题突破练习-V4

  • 2026-04-06 07:12:07 2026-04-06 07:08:32

文档预览

专题17.6勾股定理(直通中考)(提升练)-(人教版)_初中数学_八年级数学下册(人教版)_专题突破练习-V4
专题17.6勾股定理(直通中考)(提升练)-(人教版)_初中数学_八年级数学下册(人教版)_专题突破练习-V4
专题17.6勾股定理(直通中考)(提升练)-(人教版)_初中数学_八年级数学下册(人教版)_专题突破练习-V4
专题17.6勾股定理(直通中考)(提升练)-(人教版)_初中数学_八年级数学下册(人教版)_专题突破练习-V4
专题17.6勾股定理(直通中考)(提升练)-(人教版)_初中数学_八年级数学下册(人教版)_专题突破练习-V4
专题17.6勾股定理(直通中考)(提升练)-(人教版)_初中数学_八年级数学下册(人教版)_专题突破练习-V4
专题17.6勾股定理(直通中考)(提升练)-(人教版)_初中数学_八年级数学下册(人教版)_专题突破练习-V4
专题17.6勾股定理(直通中考)(提升练)-(人教版)_初中数学_八年级数学下册(人教版)_专题突破练习-V4
专题17.6勾股定理(直通中考)(提升练)-(人教版)_初中数学_八年级数学下册(人教版)_专题突破练习-V4
专题17.6勾股定理(直通中考)(提升练)-(人教版)_初中数学_八年级数学下册(人教版)_专题突破练习-V4
专题17.6勾股定理(直通中考)(提升练)-(人教版)_初中数学_八年级数学下册(人教版)_专题突破练习-V4
专题17.6勾股定理(直通中考)(提升练)-(人教版)_初中数学_八年级数学下册(人教版)_专题突破练习-V4
专题17.6勾股定理(直通中考)(提升练)-(人教版)_初中数学_八年级数学下册(人教版)_专题突破练习-V4
专题17.6勾股定理(直通中考)(提升练)-(人教版)_初中数学_八年级数学下册(人教版)_专题突破练习-V4
专题17.6勾股定理(直通中考)(提升练)-(人教版)_初中数学_八年级数学下册(人教版)_专题突破练习-V4
专题17.6勾股定理(直通中考)(提升练)-(人教版)_初中数学_八年级数学下册(人教版)_专题突破练习-V4
专题17.6勾股定理(直通中考)(提升练)-(人教版)_初中数学_八年级数学下册(人教版)_专题突破练习-V4
专题17.6勾股定理(直通中考)(提升练)-(人教版)_初中数学_八年级数学下册(人教版)_专题突破练习-V4
专题17.6勾股定理(直通中考)(提升练)-(人教版)_初中数学_八年级数学下册(人教版)_专题突破练习-V4
专题17.6勾股定理(直通中考)(提升练)-(人教版)_初中数学_八年级数学下册(人教版)_专题突破练习-V4
专题17.6勾股定理(直通中考)(提升练)-(人教版)_初中数学_八年级数学下册(人教版)_专题突破练习-V4
专题17.6勾股定理(直通中考)(提升练)-(人教版)_初中数学_八年级数学下册(人教版)_专题突破练习-V4
专题17.6勾股定理(直通中考)(提升练)-(人教版)_初中数学_八年级数学下册(人教版)_专题突破练习-V4
专题17.6勾股定理(直通中考)(提升练)-(人教版)_初中数学_八年级数学下册(人教版)_专题突破练习-V4
专题17.6勾股定理(直通中考)(提升练)-(人教版)_初中数学_八年级数学下册(人教版)_专题突破练习-V4
专题17.6勾股定理(直通中考)(提升练)-(人教版)_初中数学_八年级数学下册(人教版)_专题突破练习-V4
专题17.6勾股定理(直通中考)(提升练)-(人教版)_初中数学_八年级数学下册(人教版)_专题突破练习-V4
专题17.6勾股定理(直通中考)(提升练)-(人教版)_初中数学_八年级数学下册(人教版)_专题突破练习-V4
专题17.6勾股定理(直通中考)(提升练)-(人教版)_初中数学_八年级数学下册(人教版)_专题突破练习-V4
专题17.6勾股定理(直通中考)(提升练)-(人教版)_初中数学_八年级数学下册(人教版)_专题突破练习-V4
专题17.6勾股定理(直通中考)(提升练)-(人教版)_初中数学_八年级数学下册(人教版)_专题突破练习-V4
专题17.6勾股定理(直通中考)(提升练)-(人教版)_初中数学_八年级数学下册(人教版)_专题突破练习-V4
专题17.6勾股定理(直通中考)(提升练)-(人教版)_初中数学_八年级数学下册(人教版)_专题突破练习-V4
专题17.6勾股定理(直通中考)(提升练)-(人教版)_初中数学_八年级数学下册(人教版)_专题突破练习-V4
专题17.6勾股定理(直通中考)(提升练)-(人教版)_初中数学_八年级数学下册(人教版)_专题突破练习-V4
专题17.6勾股定理(直通中考)(提升练)-(人教版)_初中数学_八年级数学下册(人教版)_专题突破练习-V4
专题17.6勾股定理(直通中考)(提升练)-(人教版)_初中数学_八年级数学下册(人教版)_专题突破练习-V4

文档信息

文档格式
docx
文档大小
3.421 MB
文档页数
33 页
上传时间
2026-04-06 07:08:32

文档内容

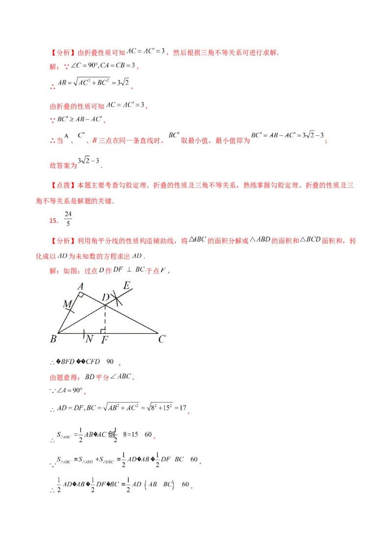
专题17.6 勾股定理(直通中考)(提升练) 一、单选题(本大题共10小题,每小题3分,共30分) 1.(2023·宁夏·统考中考真题)将一副直角三角板和一把宽度为2cm的直尺按如图方式摆放:先把 和 角的顶点及它们的直角边重合,再将此直角边垂直于直尺的上沿,重合的顶点落在直尺下沿上, 这两个三角板的斜边分别交直尺上沿于 , 两点,则 的长是( ) A. B. C.2 D. 2.(2023·山东日照·统考中考真题)已知直角三角形的三边 满足 ,分别以 为边作 三个正方形,把两个较小的正方形放置在最大正方形内,如图,设三个正方形无重叠部分的面积为 ,均 重叠部分的面积为 ,则( ) A. B. C. D. 大小无法确定 3.(2023·辽宁·统考中考真题)如图,在 中, ,以点 为圆心, 适当长为半径作弧,分别交 于点 ,分别以点 为圆心,大于 的长为半径作弧,两 弧在 的内部相交于点 ,作射线 ,交 于点 ,则 的长为( )A. B. C. D. 4.(2023·四川南充·统考中考真题)如图,在 中, ,以点A为圆 心,适当长为半径画弧,分别交 于点M,N,再分别以M,N为圆心,大于 的长为半径画弧, 两弧在 的内部相交于点P,画射线 与 交于点D, ,垂足为E.则下列结论错误的是 ( ) A. B. C. D. 5.(2022·广西·中考真题)活动探究:我们知道,已知两边和其中一边的对角对应相等的两个三角形 不一定全等,如已知△ABC中,∠A=30°, AC=3,∠A所对的边为 ,满足已知条件的三角形有两个 (我们发现其中如图的△ABC是一个直角三角形),则满足已知条件的三角形的第三边长为( ) A. B. C. 或 D. 或 6.(2022·广西桂林·统考中考真题)如图,在 ABC中,∠B=22.5°,∠C=45°,若AC=2,则 ABC的面积是( ) A. B.1+ C.2 D.2+ 7.(2022·黑龙江·统考中考真题)如图, 中, ,AD平分 与BC相交于点D,点 E是AB的中点,点F是DC的中点,连接EF交AD于点P.若 的面积是24, ,则PE的长 是( ) A.2.5 B.2 C.3.5 D.3 8.(2021·西藏·统考中考真题)如图,在Rt△ABC中,∠A=30°,∠C=90°,AB=6,点P是线段AC 上一动点,点M在线段AB上,当AM= AB时,PB+PM的最小值为( ) A.3 B.2 C.2 +2 D.3 +3 9.(2021·陕西·统考中考真题)如图, 、 、 、 是四根长度均为5cm的火柴棒,点A、 C、E共线.若 , ,则线段 的长度为( )A.6 cm B.7 cm C . D.8cm 10.(2021下·全国·八年级专题练习)如图,三角形纸片ABC,AB=AC,∠BAC=90°,点E为AB中点, 沿过点E的直线折叠,使点B与点A重合,折痕现交于点F,已知EF= ,则BC的长是( ) A. B.3 C.3 D.3 二、填空题(本大题共8小题,每小题4分,共32分) 11.(2023·广东广州·统考中考真题)如图,已知 是 的角平分线, , 分别是 和 的高, , ,则点E到直线 的距离为 . 12.(2023·江苏南通·统考中考真题)勾股数是指能成为直角三角形三条边长的三个正整数,世界上 第一次给出勾股数公式的是中国古代数学著作《九章算术》.现有勾股数a,b,c,其中 , 均小于 , , , 是大于1的奇数,则 (用含 的式子表示). 13.(2023·辽宁营口·统考中考真题)如图,在 中,以A为圆心, 长为半径作弧,交 于C,D两点,分别以点C和点D为圆心,大于 长为半径作弧,两弧交于点P,作直线 ,交 于点 E,若 , ,则 . 14.(2023·江苏徐州·统考中考真题)如图,在 中, ,点 在边 上. 将 沿 折叠,使点 落在点 处,连接 ,则 的最小值为 . 15.(2023·江苏扬州·统考中考真题)如图, 中, ,以点B为圆心,适 当长为半径画弧,分别交 于点M、N,再分别以点M、N为圆心,大于 的长为半径画弧,两 弧交于点E,作射线 交 于点D,则线段 的长为 . 16.(2023·山东东营·统考中考真题)一艘船由A港沿北偏东60°方向航行30km至B港,然后再沿北 偏西30°方向航行40km至C港,则A,C两港之间的距离为 km. 17.(2023·四川广安·统考中考真题)如图,圆柱形玻璃杯的杯高为 ,底面周长为 ,在杯内 壁离杯底 的点 处有一滴蜂蜜,此时,一只蚂蚁正好在杯外壁上,它在离杯上沿 ,且与蜂蜜相对 的点 处,则蚂蚁从外壁 处到内壁 处所走的最短路程为 .(杯壁厚度不计)18.(2023·辽宁·统考中考真题)如图,在 中, ,点D为 的中点,过点C作 交 的延长线于点E,若 , ,则 的长为 . 三、解答题(本大题共6小题,共58分) 19.(8分)(2023·安徽·统考中考真题)如图,在由边长为1个单位长度的小正方形组成的网格中, 点 均为格点(网格线的交点). (1)画出线段 关于直线 对称的线段 ; (2)将线段 向左平移2个单位长度,再向上平移1个单位长度,得到线段 ,画出线段 ; (3)描出线段 上的点 及直线 上的点 ,使得直线 垂直平分 .20.(8分)(2023·四川甘孜·统考中考真题)如图,在 中, ,点 在 边 上,连接 ,将 绕点 逆时针旋转 得到 ,连接 , . (1)求证: ; (2)若 时,求 的长; (3)点 在 上运动时,试探究 的值是否存在最小值,如果存在,求出这个最小值;如 果不存在,请说明理由. 21.(10分)(2023·山东聊城·统考中考真题)如图,在四边形 中,点E是边 上一点,且 , . (1)求证: ; (2)若 , 时,求 的面积.22.(10分)(2023·山东临沂·统考中考真题)如图, . (1)写出 与 的数量关系 (2)延长 到 ,使 ,延长 到 ,使 ,连接 .求证: . (3)在(2)的条件下,作 的平分线,交 于点 ,求证: . 23.(10分)(2023·四川达州·统考中考真题)如图,在 中, . (1)尺规作图:作 的角平分线交 于点 (不写做法,保留作图痕迹); (2)在(1)所作图形中,求 的面积.24.(12分)(2022·青海西宁·统考中考真题)八年级课外兴趣小组活动时,老师提出了如下问题: 将 因式分解. 【观察】经过小组合作交流,小明得到了如下的解决方法: 解法一:原式 解法二:原式 【感悟】对项数较多的多项式无法直接进行因式分解时,我们可以将多项式分为若干组,再利用提公 因式法、公式法达到因式分解的目的,这就是因式分解的分组分解法.分组分解法在代数式的化简、求值 及方程、函数等学习中起着重要的作用.(温馨提示:因式分解一定要分解到不能再分解为止) 【类比】 (1)请用分组分解法将 因式分解; 【挑战】 (2)请用分组分解法将 因式分解; 【应用】 (3)“赵爽弦图”是我国古代数学的骄傲,我们利用它验证了勾股定理.如图,“赵爽弦图”是由 四个全等的直角三角形围成的一个大正方形,中间是一个小正方形.若直角三角形的两条直角边长分别是 a和 ,斜边长是3,小正方形的面积是1.根据以上信息,先将 因式分 解,再求值.参考答案: 1.B 【分析】根据等腰直角三角形的性质可得 ,由含30度角直角三角形的性质可得 ,由勾股定理可得 的长,即可得到结论. 解:如图,在 中, ,∴ , ∴ , 在 中, , ∴ , ∴ , ∴ , ∴ . 故选:B. 【点拨】本题考查了勾股定理,等腰直角三角形的性质,含 角直角三角形的性质,熟练掌握勾股 定理是解题的关键. 2.C 【分析】根据题意,由勾股定理可得 ,易得 ,然后用 分别表示 和 ,即 可获得答案. 解:如下图, ∵ 为直角三角形的三边,且 。 ∴ , ∴ , ∵ ,, ∴ . 故选:C. 【点拨】本题主要考查了勾股定理以及整式运算,结合题意正确表示出 和 是解题关键. 3.D 【分析】过点D作 于M,由勾股定理可求得 ,由题意可证明 ,则 可得 ,从而有 ,在 中,由勾股定理建立方程即可求得结果. 解:过点D作 于M,如图, 由勾股定理可求得 , 由题中作图知, 平分 , ∵ , ∴ , ∵ , ∴ , ∴ , ∴ ; 设 ,则 , 在 中,由勾股定理得: , 解得: , 即 的长为为 ; 故选:D. 【点拨】本题考查了作图:作角平分线,角平分线的性质定理,全等三角形的判定与性质,勾股定理,利用全等的性质、利用勾股定理建立方程是解题的关键. 4.C 【分析】由作图方法可知, 是 的角平分线,则由角平分线的定义和性质即可判定A、B;利 用勾股定理求出 ,利用等面积法求出 ,由此求出 即可判断C、D. 解:由作图方法可知, 是 的角平分线, ∴ ,故A结论正确,不符合题意; ∵ , ∴ ,故B结论正确,不符合题意; 在 中,由勾股定理得 , ∵ , ∴ , ∴ , ∴ , ∴ ,故C结论错误,符合题意; ∴ ,故D结论正确,不符合题意; 故选C. 【点拨】本题主要考查了勾股定理,角平分线的性质和定义,角平分线的尺规作图,灵活运用所学知 识是解题的关键. 5.C 【分析】分情况讨论,当△ABC是一个直角三角形时,当△ABC是一个钝角三角形时,根据含30°的 1 直角三角形的性质及勾股定理求解即可. 解:如图,当△ABC是一个直角三角形时,即 , ,; 如图,当△ABC是一个钝角三角形时, 1 过点C作CD⊥AB, 1 , , , , , , , , , 综上,满足已知条件的三角形的第三边长为 或 , 故选:C. 【点拨】本题考查了根据已知条件作三角形,涉及含30°的直角三角形的性质及勾股定理,熟练掌握 知识点是解题的关键. 6.D 【分析】如图,过点A作AD⊥AC于A,交BC于D,过点A作AE⊥BC于E,先证明 ADC是等腰直 △ 角三角形,得AD=AC=2,∠ADC=45°,CD= AC=2 ,再证明AD=BD,计算AE和BC的长,根据三角形的面积公式可解答. 解:如图,过点A作AD⊥AC于A,交BC于D,过点A作AE⊥BC于E, ∵∠C=45°, ∴△ADC是等腰直角三角形, ∴AD=AC=2,∠ADC=45°,CD= AC=2 , ∵∠ADC=∠B+∠BAD,∠B=22.5°, ∴∠DAB=22.5°, ∴∠B=∠DAB, ∴AD=BD=2, ∵AD=AC,AE⊥CD, ∴DE=CE, ∴ ∴△ABC的面积 . 故选:D. 【点拨】本题考查的是勾股定理,等腰直角三角形的性质,三角形的面积,熟知掌握等腰三角形的性 质是解本题的关键. 7.A 【分析】连接DE,取AD的中点G,连接EG,先由等腰三角形“三线合一“性质,证得AD⊥BC, BD=CD,再由E是AB的中点,G是AD的中点,求出S EGD=3,然后证 EGP≌ FDP(AAS),得 △ GP=CP=1.5,从而得DG=3,即可由三角形面积公式求出EG长,由勾股定△理即可△求出PE长. 解:如图,连接DE,取AD的中点G,连接EG, ∵AB=AC,AD平分 与BC相交于点D, ∴AD⊥BC,BD=CD, ∴S ABD= =12, △∵E是AB的中点, ∴S AED= =6, △ ∵G是AD的中点, ∴S EGD= =3, △ ∵E是AB的中点,G是AD的中点, ∴EG BC,EG= BD= CD, ∴∠EGP=∠FDP=90°, ∵F是CD的中点, ∴DF= CD, ∴EG=DF, ∵∠EPG=∠FPD, ∴△EGP≌△FDP(AAS), ∴GP=PD=1.5, ∴GD=3, ∵S EGD= =3,即 , △ ∴EG=2, 在Rt△EGP中,由勾股定理,得 PE= =2.5, 故选:A.【点拨】本题考查等腰三角形的性质,三角形面积,全等三角形判定与性质,勾股定理,熟练掌握三 角形中线分三角形两部分的面积相等是解题的关键. 8.B 【分析】作B点关于AC的对称点B',连接B'M交AC于点P,则PB+PM的最小值为B'M的长,过点 B'作B'H⊥AB交H点,在Rt△BB'H中,B'H=3 ,HB=3,可求MH=1,在Rt△MHB'中,B'M=2 , 所以PB+PM的最小值为2 . 解:作B点关于AC的对称点B',连接B'M交AC于点P, ∴BP=B'P,BC=B'C, ∴PB+PM=B'P+PM≥B'M, ∴PB+PM的最小值为B'M的长, 过点B'作B'H⊥AB交H点,∵∠A=30°,∠C=90°, ∴∠CBA=60°, ∵AB=6, ∴BC=3, ∴BB'=BC+B'C=6, 在Rt△BB'H中,∠B'BH=60°, ∴∠BB'H=30°, ∴BH=3, 由勾股定理可得: , ∴AH=AB-BH=3, ∵AM= AB, ∴AM=2, ∴MH=AH-AM=1, 在Rt△MHB'中, , ∴PB+PM的最小值为2 , 故选:B. 【点拨】本题考查轴对称—最短路线问题,涉及到解直角三角形,解题的关键是做辅助线,找出PB+ PM的最小值为B'M的长. 9.D 【分析】分别过B、D作AE的垂线,垂足分别为F、G,证明 ,即可证明 , 进一步计算即可得出答案.解:分别过B、D作AE的垂线,垂足分别为F、G, ∵, , ∴ , ∴ , 在 和 中; , ∴ , ∴BF=CG, ∵ , ∴ 均为等腰三角形, ∵ , ∴ , ∴ , ∴ , 故选:D. 【点拨】本题主要考查等腰三角形判定与性质,全等三角形判定与性质以及勾股定理等知识点,正确 画出辅助线是解决本题的关键. 10.B 【分析】折叠的性质主要有:1.重叠部分全等;2.折痕是对称轴,对称点的连线被对称轴垂直平分. 由 折叠的性质可知 ,所以可求出∠AFB=90°,再直角三角形的性质可知 ,所以 ,的长可求,再利用勾股定理即可求出BC的长.解: AB=AC, , 故选B. 【点拨】本题考查了折叠的性质、等腰直角三角形的判断和性质以及勾股定理的运用,求出∠AFB=90° 是解题的关键. 11. / 【分析】根据角平分线上的点到角的两边的距离相等的性质可得点D到 的距离等于点D到 的 距离 的长度,然后根据勾股定理求出 ,最后根据等面积法求解即可. 解:∵ 是 的角平分线, , 分别是 和 的高, , ∴ , 又 , ∴ , 设点E到直线 的距离为x, ∵ , ∴ . 故答案为: . 【点拨】本题考查了角平分定理,勾股定理等知识,掌握角平分线上的点到角的两边的距离相等是解题的关键. 12. 【分析】根据直角三角形的性质,直角边小于斜边得到 , 为直角边, 为斜边,根据勾股定理即可 得到 的值. 解:由于现有勾股数a,b,c,其中 , 均小于 , , 为直角边, 为斜边, , , 得到 , , , 是大于1的奇数, . 故答案为: . 【点拨】本题考查勾股定理的应用,分清楚 , 为直角边, 为斜边是解题的关键. 13.4 【分析】利用圆的性质得出 垂直平分 和 ,运用勾股定理便可解决问题. 解:根据题意可知,以点C和点D为圆心,大于 长为半径作弧,两弧交于点P, ∴ 垂直平分 ,即 , ∴ , 又∵在 中,以A为圆心, 长为半径作弧,交 于C,D两点,其中 , ∴ , 在 中, , 故答案为:4. 【点拨】本题主要考查圆和三角形的相关性质,掌握相关知识点是解题的关键. 14.【分析】由折叠性质可知 ,然后根据三角不等关系可进行求解. 解:∵ , ∴ , 由折叠的性质可知 , ∵ , ∴当 、 、B三点在同一条直线时, 取最小值,最小值即为 ; 故答案为 . 【点拨】本题主要考查勾股定理、折叠的性质及三角不等关系,熟练掌握勾股定理、折叠的性质及三 角不等关系是解题的关键. 15. 【分析】利用角平分线的性质构造辅助线,将 的面积分解成 的面积和 面积和,转 化成以 为未知数的方程求出 . 解:如图:过点 作 于点 , , 由题意得: 平分 , , , , , ,, ; 故答案为: . 【点拨】本题考查了勾股定理、角平分线的性质、直角三角形面积,重点掌握勾股定理的运用,直角 三角形的面积转换是解题的关键. 16.50 【分析】根据题意画出图形,易证 是直角三角形,利用勾股定理即可求解. 解:如图,根据题意,得 , , , , ∵ ∴ ∴ ∴在 中, 即A,C两港之间的距离为50 km. 故答案为:50 【点拨】本题考查方位角,勾股定理,根据题意画出图形,证明 是直角三角形是解题的关键. 17.10 【分析】如图(见分析),将玻璃杯侧面展开,作 关于 的对称点 ,根据两点之间线段最短可 知 的长度即为所求,利用勾股定理求解即可得. 解:如图,将玻璃杯侧面展开,作 关于 的对称点 ,作 ,交 延长线于点 ,连接 ,由题意得: , , ∵底面周长为 , , , 由两点之间线段最短可知,蚂蚁从外壁 处到内壁 处所走的最短路程为 , 故答案为:10. 【点拨】本题考查了平面展开——最短路径问题,将图形展开,利用轴对称的性质和勾股定理进行计 算是解题的关键.同时也考查了同学们的创造性思维能力. 18. / /1.5 【分析】先根据 证明 ,推出 ,再利用勾股定理求出 ,最后根据中 点的定义即可求 的长. 解: , , 点D为 的中点, , 又 , , , 中, , , , .故答案为: . 【点拨】本题考查全等三角形的判定与性质,勾股定理,平行线的性质等,证明 是解 题的关键. 19.(1)见分析;(2)见分析;(3)见分析 【分析】(1)根据轴对称的性质找到 关于直线 的对称点, ,连接 ,则线段 即 为所求; (2)根据平移的性质得到线段 即为所求; (3)勾股定理求得 , ,则 证明 得出 ,则 ,则点 即为所求. (1)解:如图所示,线段 即为所求; (2)解:如图所示,线段 即为所求; (3)解:如图所示,点 即为所求如图所示, ∵ , , ∴ , 又 , ∴ , ∴ , 又 , ∴ ∴ , ∴ 垂直平分 . 【点拨】本题考查了轴对称作图,平移作图,勾股定理与网格问题,熟练掌握以上知识是解题的关键. 20.(1)见分析;(2) ;(3)存在, 【分析】(1)由 即可证明 ; (2)证明 ( ),勾股定理得到 ,在 中,勾股定理即可求解; (3)证明 ,即可求解.(1)解:由题意,可知 , , . . 即 . . (2) 在 中, , . . , , . . . 在 中, . (3)由(2)可知, . 当 最小时,有 的值最小,此时 . 为等腰直角三角形, . . 即 的最小值为 . 【点拨】本题主要考查了图形的几何变换,涉及到等腰直角三角形的判定与性质,全等三角形的判定 与性质,勾股定理,熟练掌握以上知识是解题的关键. 21.(1)见分析;(2) 【分析】(1)由 求出 ,然后利用 证明 ,可得 , 再由等边对等角得出结论; (2)过点E作 于F,根据等腰三角形的性质和含 直角三角形的性质求出 和 ,然 后利用勾股定理求出 ,再根据三角形面积公式计算即可. 解:(1)证明:∵ ,∴ ,即 , ∴ , 在 和 中, , ∴ , ∴ , ∴ ; (2)解:过点E作 于F, 由(1)知 , ∵ , ∴ , ∵ , ∴ , ∴ , , ∴ . 【点拨】本题考查了三角形内角和定理,全等三角形的判定和性质,等腰三角形的性质,含 直角 三角形的性质以及勾股定理等知识,正确寻找证明三角形全等的条件是解题的关键. 22.(1) ,;(2)见分析;(3)见分析 【分析】(1)勾股定理求得 ,结合已知条件即可求解; (2)根据题意画出图形,证明 ,得出 ,则 ,即可得证;(3)延长 交于点 ,延长 交 于点 ,根据角平分线以及平行线的性质证明 , 进而证明 ,即可得证. (1)解:∵ ∴ , ∵ ∴ 即 ; (2)证明:如图所示, ∴ ∴ , ∵ , ∴ ∵ , , ∴ ∴ ∴ ∴ (3)证明:如图所示,延长 交于点 ,延长 交 于点 ,∵ , , ∴ , ∴ ∵ 是 的角平分线, ∴ , ∴ ∴ ∵ , ∴ , , ∴ , 又∵ , ∴ , 即 , ∴ , 又 ,则 , 在 中, , ∴ , ∴ 【点拨】本题考查了全等三角形的与判定,等腰三角形的性质与判定,勾股定理,平行线的性质与判 定,熟练掌握全等三角形的性质与判定是解题的关键.23.(1)见分析;(2) 【分析】(1)以A为圆心,任意长为半径画弧,分别交 、 ,在以两交点为圆心,以大于它们 长度为半径画弧,交于一点,过A于该点作射线交 于点P,则 即为所求; (2)过点P作 ,根据 和题中条件可求出 的面积,再结合角平分线 的性质即可求解. (1)解:以A为圆心,任意长为半径画弧,分别交 、 ,在以两交点为圆心,以大于它们 长 度为半径画弧,交于一点,过A于该点作射线交 于点P,则 即为所求. (2)解:过点P作 ,如图所示, 由(1)得: , ∵ , ∴ , ∴ , ∵ , ∴ ,即 , ∵ , ∴ , ∴ ; 【点拨】本题主要考查作图—基本作图,解题关键是掌握角平线的尺规作图及角平分线的性质.24.(1) ;(2) ;(3) ,9 【分析】(1)直接将前两项和后两项组合,利用平方差公式再提取公因式,进而分解因式即可; (2)先分组,利用完全平方公式再提取公因式,进而分解因式即可; (3)分组,先提取公因式,利用完全平方公式分解因式,再由勾股定理以及面积得到 , ,整体代入得出答案即可. (1)解: ; (2)解: ; (3)解: , ∴根据题意得 , ,∴原式 . 【点拨】此题主要考查了分组分解法以及、提取公因式法、公式法分解因式以及勾股定理的应用,正 确分组再运用公式法分解因式是解题关键.