当前位置:首页>文档>专题11双曲线中的参数及范围问题(解析版)_02高考数学_2024年新高考资料_3.2024专项复习_2024年新高考数学之圆锥曲线专项重难点突破练(新高考专用)

专题11双曲线中的参数及范围问题(解析版)_02高考数学_2024年新高考资料_3.2024专项复习_2024年新高考数学之圆锥曲线专项重难点突破练(新高考专用)

  • 2026-04-10 10:11:54 2026-04-10 09:15:34

文档预览

专题11双曲线中的参数及范围问题(解析版)_02高考数学_2024年新高考资料_3.2024专项复习_2024年新高考数学之圆锥曲线专项重难点突破练(新高考专用)
专题11双曲线中的参数及范围问题(解析版)_02高考数学_2024年新高考资料_3.2024专项复习_2024年新高考数学之圆锥曲线专项重难点突破练(新高考专用)
专题11双曲线中的参数及范围问题(解析版)_02高考数学_2024年新高考资料_3.2024专项复习_2024年新高考数学之圆锥曲线专项重难点突破练(新高考专用)
专题11双曲线中的参数及范围问题(解析版)_02高考数学_2024年新高考资料_3.2024专项复习_2024年新高考数学之圆锥曲线专项重难点突破练(新高考专用)
专题11双曲线中的参数及范围问题(解析版)_02高考数学_2024年新高考资料_3.2024专项复习_2024年新高考数学之圆锥曲线专项重难点突破练(新高考专用)
专题11双曲线中的参数及范围问题(解析版)_02高考数学_2024年新高考资料_3.2024专项复习_2024年新高考数学之圆锥曲线专项重难点突破练(新高考专用)
专题11双曲线中的参数及范围问题(解析版)_02高考数学_2024年新高考资料_3.2024专项复习_2024年新高考数学之圆锥曲线专项重难点突破练(新高考专用)
专题11双曲线中的参数及范围问题(解析版)_02高考数学_2024年新高考资料_3.2024专项复习_2024年新高考数学之圆锥曲线专项重难点突破练(新高考专用)
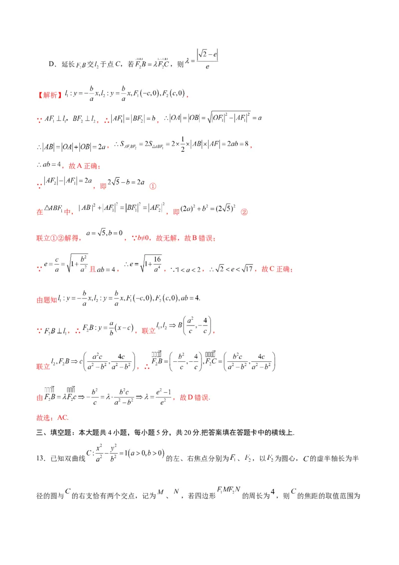
专题11双曲线中的参数及范围问题(解析版)_02高考数学_2024年新高考资料_3.2024专项复习_2024年新高考数学之圆锥曲线专项重难点突破练(新高考专用)
专题11双曲线中的参数及范围问题(解析版)_02高考数学_2024年新高考资料_3.2024专项复习_2024年新高考数学之圆锥曲线专项重难点突破练(新高考专用)
专题11双曲线中的参数及范围问题(解析版)_02高考数学_2024年新高考资料_3.2024专项复习_2024年新高考数学之圆锥曲线专项重难点突破练(新高考专用)
专题11双曲线中的参数及范围问题(解析版)_02高考数学_2024年新高考资料_3.2024专项复习_2024年新高考数学之圆锥曲线专项重难点突破练(新高考专用)
专题11双曲线中的参数及范围问题(解析版)_02高考数学_2024年新高考资料_3.2024专项复习_2024年新高考数学之圆锥曲线专项重难点突破练(新高考专用)
专题11双曲线中的参数及范围问题(解析版)_02高考数学_2024年新高考资料_3.2024专项复习_2024年新高考数学之圆锥曲线专项重难点突破练(新高考专用)
专题11双曲线中的参数及范围问题(解析版)_02高考数学_2024年新高考资料_3.2024专项复习_2024年新高考数学之圆锥曲线专项重难点突破练(新高考专用)
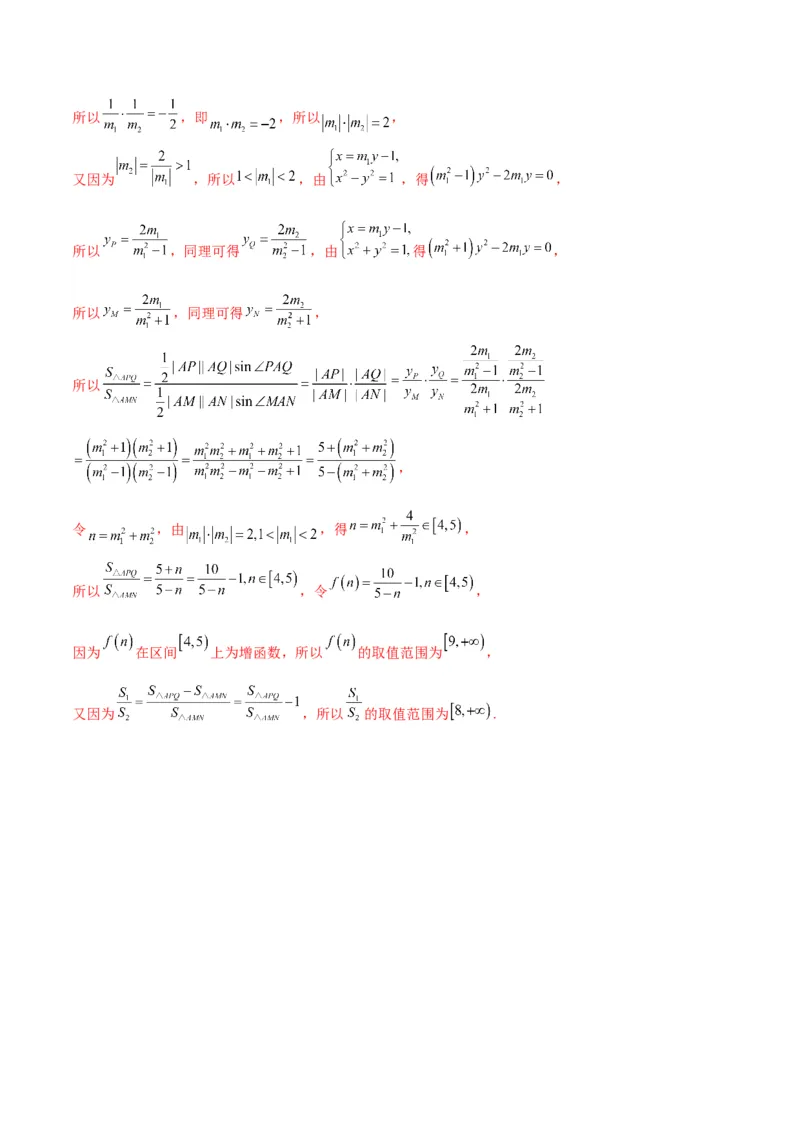
专题11双曲线中的参数及范围问题(解析版)_02高考数学_2024年新高考资料_3.2024专项复习_2024年新高考数学之圆锥曲线专项重难点突破练(新高考专用)
专题11双曲线中的参数及范围问题(解析版)_02高考数学_2024年新高考资料_3.2024专项复习_2024年新高考数学之圆锥曲线专项重难点突破练(新高考专用)
专题11双曲线中的参数及范围问题(解析版)_02高考数学_2024年新高考资料_3.2024专项复习_2024年新高考数学之圆锥曲线专项重难点突破练(新高考专用)
专题11双曲线中的参数及范围问题(解析版)_02高考数学_2024年新高考资料_3.2024专项复习_2024年新高考数学之圆锥曲线专项重难点突破练(新高考专用)
专题11双曲线中的参数及范围问题(解析版)_02高考数学_2024年新高考资料_3.2024专项复习_2024年新高考数学之圆锥曲线专项重难点突破练(新高考专用)
专题11双曲线中的参数及范围问题(解析版)_02高考数学_2024年新高考资料_3.2024专项复习_2024年新高考数学之圆锥曲线专项重难点突破练(新高考专用)
专题11双曲线中的参数及范围问题(解析版)_02高考数学_2024年新高考资料_3.2024专项复习_2024年新高考数学之圆锥曲线专项重难点突破练(新高考专用)
专题11双曲线中的参数及范围问题(解析版)_02高考数学_2024年新高考资料_3.2024专项复习_2024年新高考数学之圆锥曲线专项重难点突破练(新高考专用)
专题11双曲线中的参数及范围问题(解析版)_02高考数学_2024年新高考资料_3.2024专项复习_2024年新高考数学之圆锥曲线专项重难点突破练(新高考专用)

文档信息

文档格式
docx
文档大小
1.349 MB
文档页数
20 页
上传时间
2026-04-10 09:15:34

文档内容

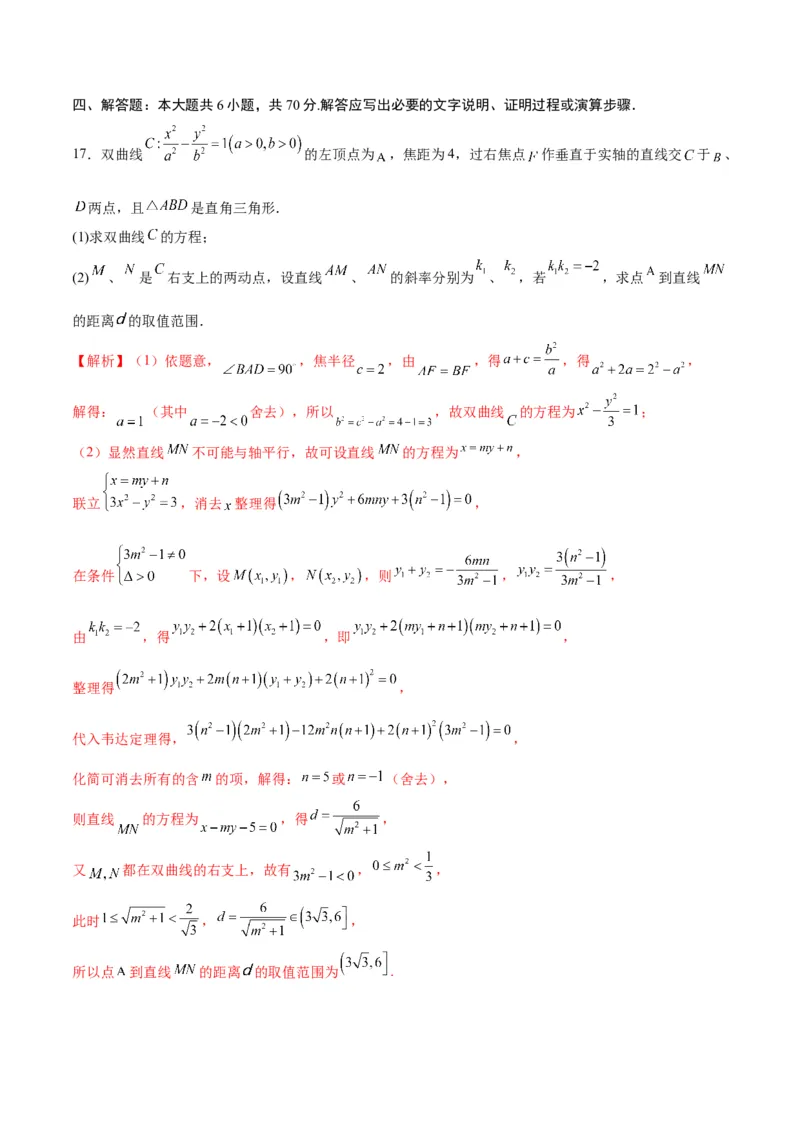
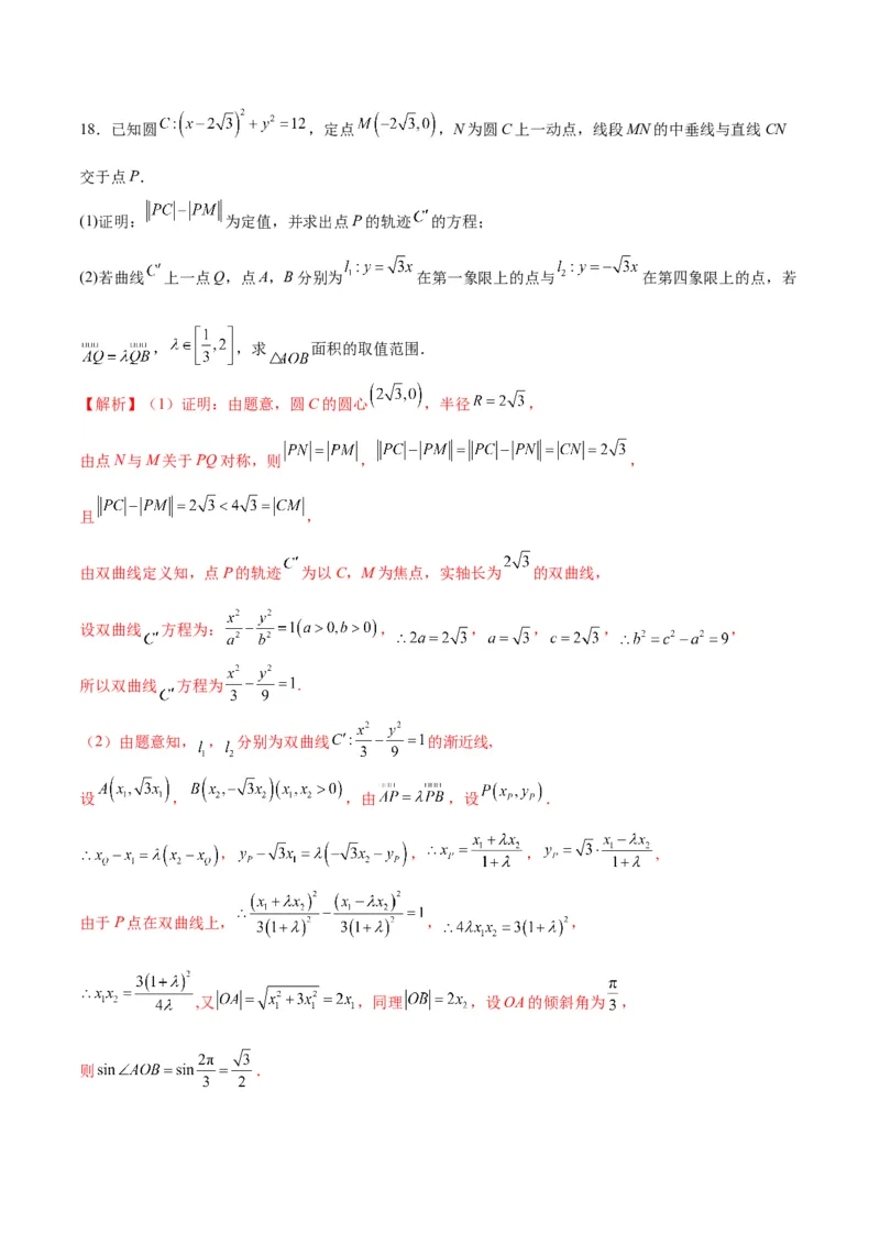
专题11 双曲线中的参数及范围问题 限时:120分钟 满分:150分 一、单选题:本大题共8小题,每个小题5分,共40分.在每小题给出的选项中,只有一项是符合题目要 求的. 1.已知 为焦点在 轴上的双曲线,其离心率为 , 为 上一动点(除顶点),过点 的直线 , 分 别经过双曲线的两个顶点,已知直线 的斜率 ,则直线 的斜率 的取值范围为( ) A. B. C. D. 【解析】设双曲线的方程为 为 上一动点,上顶点 下顶点 离心率为 ,即 可得 直线 为直线PA, 直线 为直线PB, 则 , ,又 , ,可得 ,故选:C 2.已知双曲线C: ,P为双曲线C上的一点,若点P到双曲线C的两条渐近线的距 离之积为1,则双曲线的半焦距c的取值范围是( ) A. B. C. D. 【解析】由双曲线的标准标准方程可知该双曲线的渐近线方程为: , 即 ,设 ,有 , 因为点P到双曲线C的两条渐近线的距离之积为1,所以有 ,把 代入化简得, ,故选:D 3.已知点 为双曲线 的下焦点, 为其上顶点,过 作垂直于 的实轴的直线 交 于 、 两点,若 为锐角三角形,则 的离心率的取值范围为( ) A. B. C. D. 解析】设双曲线 的半焦距为 ,由双曲线的对称性可知点 、 关于 轴对称,则 , 因为 为锐角三角形,则 为锐角, 将 代入方程 可得 ,取点 、 , 易知点 , , , 故 ,即 ,可得 , 又因为 ,故 .故选:B. 4.平面直角坐标系中, 为坐标原点,给定两点 ,点 满足: 其中 ,且 已知点 的轨迹与双曲线 交于 两点,且以 为直径的圆过原点,若双曲线的离心率不大于 ,则双曲线实轴长的取值范围为( ) A. B. C. D. 【解析】设点 ,因 ,则 ,又 ,于是得点 的轨迹方程为 ,由 消去y并整理得 , 而 ,则 ,设 , ,因以 为直径的圆过原点,则 , , 于是 , 从而有 , ,而离心率 ,即 , 整理得 ,此时 ,因此, , , 所以双曲线实轴长的取值范围为 .故选:D 5.设双曲线 的离心率为 ,A,B是双曲线C上关于原点对称的两个点,M是双 曲线C上异于A,B的动点,直线 斜率分别 ,若 ,则 的取值范围为( ) A. B. C. D. 【解析】设 ,则 ,那么 , 两式相减得: ,整理得: 即 ,又因为双曲线 的离心率为 , 所以 ,所以 ,故 ,其中 ,所以 故选:D. 6.已知 分别是双曲线 的左、右焦点,点 是双曲线上位于第一象限的一点,线段 过点 且 , 的平分线与线段 交于点 ,与 轴交于点 ,则 的取值范围为( )A. B. C. D. 【解析】设点 ,由题意可得 , 则 ,则 , ∴ . 如下图,O为坐标原点,连接MO,易知 , 分别为线段 , 的中点, 所以 ,且 ,∴ , , ∵函数 在 上单调递减,∴ ,∴ .故选:C. 7.已知双曲线 的左、右焦点分别为 , ,点 是双曲线 上的任意一点,过点 作 双曲线 的两条渐近线的平行线,分别与两条渐近线交于 , 两点,若四边形 ( 为坐标原点) 的面积为 ,且 ,则点 的纵坐标的取值范围是( ) A. B. C. D. 【解析】由题意可知,四边形 为平行四边形, 不妨设双曲线 的渐近线为 , ,设点 ,则直线 方程为 , 且点 到直线 的距离 .联立 ,解得 ,∴ ,∴ , 设四边形 的面积为 ,则 ,又∵ ,∴ , ∴ ,∴ ,∴双曲线 的标准方程为 , ∴ , ,∴ , , ∴ ,又∵ ,∴ ,解得 ,故选:D. 8.已知 分别是双曲线 的左、右焦点,过 的直线与双曲线C的右支交于A,B两点, △ 和△ 的内心分别为M,N,则 的取值范围是( ) A. B. C. D. 【解析】设圆M与△ 的三边分别切于点D,P,E,设E为 ,如下图示: 由圆的切线性质知: , , , 由双曲线的定义知: ,即 ,故 , 可得 ,即 , 故圆M切x轴于双曲线的右顶点处,同理圆N也切x轴于双曲线的右顶点处,又 , 所以 ,则 ,设 ,易知: ,又 分别为 和 的平分线, 所以 , , , 所以 ,又 , 所以 .故选:A. 二、多选题:本大题共4小题,每个小题5分,共20分.在每小题给出的选项中,只有一项或者多项是符 合题目要求的. 9.已知 为双曲线 上的动点,过 作两渐近线的垂线,垂足分别为 , ,记线段 , 的长分别为 , ,则( ) A.若 , 的斜率分别为 , ,则 B. C. 的最小值为 D. 的最小值为 【解析】由题意双曲线的渐近线为 ,即 , 设 ,不妨设 在第一象限, 在渐近线 上, 则 , , ,A正确; 在双曲线上,则 , , , ,∴ ,B正确; ,当且仅当 时等号成立,即 的最小值为 ,C错误; 渐近线 的斜率为 ,倾斜角为 ,两渐近线夹角为 ,∴ , ,当且仅当 时等号成立,∴ ,即 最小值为 ,D正确. 故选:ABD. 10.双曲线 的一条渐近线上的点 关于另一条渐近线的对称点恰为右焦点 ,点 是双曲线上的动点,则 的值可能为 A.4 B. C.2 D. 【解析】由双曲线方程得渐近线方程为: , 在渐近线上 渐近线方程为 , 设坐标原点为 ,则 , 当 三点共线且 在双曲线右支上时, 最小, , 又 为双曲线上的动点 无最大值, 选项中的值均大于 , 选项中的值小于 , 选项中的值均有可能取得,故选: 11.已知双曲线C: 的左、右焦点分别为 , ,设点P为C右支上一点,P点到直线 的 距离为d,过 的直线l与双曲线C的右支有两个交点,则下列说法正确的是( ) A. 的最小值为2 B. C.直线l的斜率的取值范围是 D. 的内切圆圆心到y轴的距离为1 【解析】A:由题设及下图知:当 与右顶点重合时, 最小为 ,错;B:令 且 ,则 ,对; C:由渐近线方程为 ,过 的直线l与双曲线C的右支有两个交点, 结合图知:直线l的斜率的取值范围为 ,错; D:若内切圆与 三边相切于 ,如下图,则 , , , 又 ,即 , 由 ,即 与右顶点重合,易知 的内切圆圆心到y轴的距离为1,对. 故选:BD 12.如图,已知 , 分别为双曲线 的左、右焦点,两条渐近线分别为 , ,过 , 作 的垂线,垂足分别为A,B,若四边形 的面积为8,则以下选项正确的有( ) A. B.若 ,则双曲线方程为 C.若 ,则离心率e的范围D.延长 交 于点C,若 ,则 【解析】 , ∵ ,∴ , , , ,故A正确; ∵ ,即 ① 在 中, ,即 ② 联立①②解得, ,∵b≠0,故无解,故B错误; ∵ 且 , , , ,故C正确; 由题知 ∵ ,∴ ,联立 , 联立 ,∴ 由 ,故D错误. 故选:AC. 三、填空题:本大题共4小题,每小题5分,共20分.把答案填在答题卡中的横线上. 13.已知双曲线 的左、右焦点分别为 、 ,以 为圆心, 的虚半轴长为半 径的圆与 的右支恰有两个交点,记为 、 ,若四边形 的周长为 ,则 的焦距的取值范围为. 【解析】易知点 、 关于 轴对称,且 ,由双曲线的定义可得 , 由题意可得 ,可得 ,则 , 所以, , 所以, ,所以, .当 时, , ,此时 , 即此时以 为圆心, 的虚半轴长为半径的圆与 的右支恰有两个交点,合乎题意. 因此, 的焦距的取值范围为 . 14.已知A是抛物线 : 的准线上的点,B是x轴上一点,O为原点,直线AB与双曲线 : 两渐近线分别交于不同两点M,N.若双曲线 的离心率为2, ,则 的取值范围为 . 【解析】设 , ,∵ , ∴ ,即 , ∴直线 的方程为 ,其中 ,即 , 分别将 代入 与 得点 、 的坐标分别为 , , ∴ ,∵M 与N 不重合,∴ , ∴ 的取值范围是 . 15.已知 、 分别为双曲线 的左、右焦点, 为双曲线右支上一点,满足,直线 与圆 有公共点,则双曲线的离心率的取值范围是 . 【解析】过点 作 于 ,过点 作 于 , 因为 ,所以 ,又因为 ,所以 ,故 , 又因为 ,且 ,所以 , 因此 ,所以 , 又因为直线 与圆 有公共点,所以 ,故 , 即 ,则 ,所以 ,又因为双曲线的离心率 ,所以 . 16.已知双曲线 的左右焦点为 、 ,过左焦点 作垂直于 轴的直线交双曲线的 两条渐近线于 、 两点,若 是钝角,则双曲线离心率的取值范围是 . 【解析】设双曲线的焦距为 ,双曲线的渐近线方程为 , 由题意可知,点 , ,且点 、 , 所以 , . 因为 为钝角,则 ,得 , 所以 .故答案为: .四、解答题:本大题共6小题,共70分.解答应写出必要的文字说明、证明过程或演算步骤. 17.双曲线 的左顶点为 ,焦距为4,过右焦点 作垂直于实轴的直线交 于 、 两点,且 是直角三角形. (1)求双曲线 的方程; (2) 、 是 右支上的两动点,设直线 、 的斜率分别为 、 ,若 ,求点 到直线 的距离 的取值范围. 【解析】(1)依题意, ,焦半径 ,由 ,得 ,得 , 解得: (其中 舍去),所以 ,故双曲线 的方程为 ; (2)显然直线 不可能与轴平行,故可设直线 的方程为 , 联立 ,消去 整理得 , 在条件 下,设 , ,则 , , 由 ,得 ,即 , 整理得 , 代入韦达定理得, , 化简可消去所有的含 的项,解得: 或 (舍去), 则直线 的方程为 ,得 , 又 都在双曲线的右支上,故有 , , 此时 , , 所以点 到直线 的距离 的取值范围为 .18.已知圆 ,定点 ,N为圆C上一动点,线段MN的中垂线与直线CN 交于点P. (1)证明: 为定值,并求出点P的轨迹 的方程; (2)若曲线 上一点Q,点A,B分别为 在第一象限上的点与 在第四象限上的点,若 , ,求 面积的取值范围. 【解析】(1)证明:由题意,圆C的圆心 ,半径 , 由点N与M关于PQ对称,则 , , 且 , 由双曲线定义知,点P的轨迹 为以C,M为焦点,实轴长为 的双曲线, 设双曲线 方程为: , , , , , 所以双曲线 方程为 . (2)由题意知, , 分别为双曲线 的渐近线, 设 , ,由 ,设 . , , , , 由于P点在双曲线上, , , ,又 ,同理 ,设OA的倾斜角为 , 则 ., 函数 , ,在 上单调递减,在 上单调递增, 当 时, ; 当 时, ; . 19.已知点 分别为双曲线 的左顶点和右焦点,过 且垂直于 轴的直线与双曲线 第一象限部分交于点 , 的面积为 . (1)求双曲线 的方程; (2)若直线 与双曲线的左、右两支分别交于 , 两点,与双曲线的两条渐近线分别交 于 , 两点,记 , 的面积分别为 , ( 为坐标原点).若 ,求实数 的取 值范围. 【解析】(1)由题意可知 ,所以 , ,由已知 ,可得 , 则 ,解得 , 所以双曲线 的方程为 . (2)设 , ,联立 ,整理可得所以 ,解得 ,由 , 可得, , 原点到直线 的距离 , 所以 设 , ,易知渐近线方程为 ,不妨设 在渐近线 上, 由 得 ,同理, 所以 , 到直线 的距离 , 所以 , 所以 , ,则 令 ,则 ,故 的取值范围是 20.已知双曲线 的右焦点为 ,过点 的直线 与双曲线 的右支相交于, 两点,点 关于 轴对称的点为 .当 时, . (1)求双曲线 的方程; (2)若 的外心为 ,求 的取值范围. 【解析】(1)设双曲线的半焦距为 ,因为双曲线 的右焦点为 ,所以 , 因为点 和点 关于 轴对称,所以当 时,直线 的方程为 , 联立 可得 ,又 ,所以 ,又 , 所以 ,故双曲线方程为 ; (2)若直线 的斜率为0,则直线 与双曲线右支只有一个交点,与已知矛盾, 所以可设直线 的方程为 , 联立 ,消 ,得 , 方程 的判别式 , 设 ,则 , , 由已知 ,所以 , 所以线段 的中点坐标为 , 所以线段 的垂直平分线方程为 , 又线段 的垂直平分线方程为 ,所以点 的坐标为 ,所以 , 所以 ,所以 , , 因为 ,所以 ,所以 ,所以 所以 的取值范围为 . 21.已知抛物线 与双曲线 相交于两点 是 的右焦点,直 线 分别交 于 (不同于 点),直线 分别交 轴于 两点. (1)设 ,求证: 是定值; (2)求 的取值范围. 【解析】(1)由 是直线 与抛物线 的两个交点, 显然直线 不垂直y轴,点 , 故设直线 的方程为 ,由 消去 并整理得 , 所以 为定值.(2)由(1)知 ,直线 的斜率 ,方程为 , 令 ,得点 的横坐标 ,设 , 由 消去 得 , , , 而直线 的方程为 ,依题意 , 令 ,得点 的横坐标 ,因此 ,所以 的取值范围是 . 22.已知双曲线 的离心率为 ,且 的一个焦点到其一条渐近线的距离为1. (1)求 的方程; (2)设点 为 的左顶点,若过点 的直线 与 的右支交于 两点,且直线 与圆 分别交于 两点,记四边形 的面积为 , 的面积为 ,求 的取值范围. 【解析】(1)由题可知 是双曲线 的一条渐近线方程,右焦点为 ,所以右焦点到渐近线的距离 ,又因为 ,所以 ,则依题意可得 , 由离心率 ,解得 ,所以双曲线 的方程为 . (2)如图所示, 由(1)知, ,设直线 的方程: , 由 得 , 因为直线 与双曲线 的右支交于两点,所以 解得 , ,所以 , 设 ,且 ,所以 ,即 ,所以 , 又因为 ,所以 ,由 ,得 , 所以 ,同理可得 ,由 得 , 所以 ,同理可得 , 所以 , 令 ,由 ,得 , 所以 ,令 , 因为 在区间 上为增函数,所以 的取值范围为 , 又因为 ,所以 的取值范围为 .