当前位置:首页>文档>专题13函数的图象(一)(含2021-2023高考真题)(解析版)_02高考数学_2024年新高考资料_3.2024专项复习_2024年新高考数学之函数专项重难点突破练(新高考专用)

专题13函数的图象(一)(含2021-2023高考真题)(解析版)_02高考数学_2024年新高考资料_3.2024专项复习_2024年新高考数学之函数专项重难点突破练(新高考专用)

  • 2026-05-05 20:08:30 2026-04-12 00:08:02

文档预览

专题13函数的图象(一)(含2021-2023高考真题)(解析版)_02高考数学_2024年新高考资料_3.2024专项复习_2024年新高考数学之函数专项重难点突破练(新高考专用)
专题13函数的图象(一)(含2021-2023高考真题)(解析版)_02高考数学_2024年新高考资料_3.2024专项复习_2024年新高考数学之函数专项重难点突破练(新高考专用)
专题13函数的图象(一)(含2021-2023高考真题)(解析版)_02高考数学_2024年新高考资料_3.2024专项复习_2024年新高考数学之函数专项重难点突破练(新高考专用)
专题13函数的图象(一)(含2021-2023高考真题)(解析版)_02高考数学_2024年新高考资料_3.2024专项复习_2024年新高考数学之函数专项重难点突破练(新高考专用)
专题13函数的图象(一)(含2021-2023高考真题)(解析版)_02高考数学_2024年新高考资料_3.2024专项复习_2024年新高考数学之函数专项重难点突破练(新高考专用)
专题13函数的图象(一)(含2021-2023高考真题)(解析版)_02高考数学_2024年新高考资料_3.2024专项复习_2024年新高考数学之函数专项重难点突破练(新高考专用)
专题13函数的图象(一)(含2021-2023高考真题)(解析版)_02高考数学_2024年新高考资料_3.2024专项复习_2024年新高考数学之函数专项重难点突破练(新高考专用)
专题13函数的图象(一)(含2021-2023高考真题)(解析版)_02高考数学_2024年新高考资料_3.2024专项复习_2024年新高考数学之函数专项重难点突破练(新高考专用)
专题13函数的图象(一)(含2021-2023高考真题)(解析版)_02高考数学_2024年新高考资料_3.2024专项复习_2024年新高考数学之函数专项重难点突破练(新高考专用)
专题13函数的图象(一)(含2021-2023高考真题)(解析版)_02高考数学_2024年新高考资料_3.2024专项复习_2024年新高考数学之函数专项重难点突破练(新高考专用)
专题13函数的图象(一)(含2021-2023高考真题)(解析版)_02高考数学_2024年新高考资料_3.2024专项复习_2024年新高考数学之函数专项重难点突破练(新高考专用)
专题13函数的图象(一)(含2021-2023高考真题)(解析版)_02高考数学_2024年新高考资料_3.2024专项复习_2024年新高考数学之函数专项重难点突破练(新高考专用)
专题13函数的图象(一)(含2021-2023高考真题)(解析版)_02高考数学_2024年新高考资料_3.2024专项复习_2024年新高考数学之函数专项重难点突破练(新高考专用)
专题13函数的图象(一)(含2021-2023高考真题)(解析版)_02高考数学_2024年新高考资料_3.2024专项复习_2024年新高考数学之函数专项重难点突破练(新高考专用)
专题13函数的图象(一)(含2021-2023高考真题)(解析版)_02高考数学_2024年新高考资料_3.2024专项复习_2024年新高考数学之函数专项重难点突破练(新高考专用)
专题13函数的图象(一)(含2021-2023高考真题)(解析版)_02高考数学_2024年新高考资料_3.2024专项复习_2024年新高考数学之函数专项重难点突破练(新高考专用)
专题13函数的图象(一)(含2021-2023高考真题)(解析版)_02高考数学_2024年新高考资料_3.2024专项复习_2024年新高考数学之函数专项重难点突破练(新高考专用)
专题13函数的图象(一)(含2021-2023高考真题)(解析版)_02高考数学_2024年新高考资料_3.2024专项复习_2024年新高考数学之函数专项重难点突破练(新高考专用)
专题13函数的图象(一)(含2021-2023高考真题)(解析版)_02高考数学_2024年新高考资料_3.2024专项复习_2024年新高考数学之函数专项重难点突破练(新高考专用)
专题13函数的图象(一)(含2021-2023高考真题)(解析版)_02高考数学_2024年新高考资料_3.2024专项复习_2024年新高考数学之函数专项重难点突破练(新高考专用)
专题13函数的图象(一)(含2021-2023高考真题)(解析版)_02高考数学_2024年新高考资料_3.2024专项复习_2024年新高考数学之函数专项重难点突破练(新高考专用)
专题13函数的图象(一)(含2021-2023高考真题)(解析版)_02高考数学_2024年新高考资料_3.2024专项复习_2024年新高考数学之函数专项重难点突破练(新高考专用)
专题13函数的图象(一)(含2021-2023高考真题)(解析版)_02高考数学_2024年新高考资料_3.2024专项复习_2024年新高考数学之函数专项重难点突破练(新高考专用)
专题13函数的图象(一)(含2021-2023高考真题)(解析版)_02高考数学_2024年新高考资料_3.2024专项复习_2024年新高考数学之函数专项重难点突破练(新高考专用)
专题13函数的图象(一)(含2021-2023高考真题)(解析版)_02高考数学_2024年新高考资料_3.2024专项复习_2024年新高考数学之函数专项重难点突破练(新高考专用)
专题13函数的图象(一)(含2021-2023高考真题)(解析版)_02高考数学_2024年新高考资料_3.2024专项复习_2024年新高考数学之函数专项重难点突破练(新高考专用)
专题13函数的图象(一)(含2021-2023高考真题)(解析版)_02高考数学_2024年新高考资料_3.2024专项复习_2024年新高考数学之函数专项重难点突破练(新高考专用)
专题13函数的图象(一)(含2021-2023高考真题)(解析版)_02高考数学_2024年新高考资料_3.2024专项复习_2024年新高考数学之函数专项重难点突破练(新高考专用)
专题13函数的图象(一)(含2021-2023高考真题)(解析版)_02高考数学_2024年新高考资料_3.2024专项复习_2024年新高考数学之函数专项重难点突破练(新高考专用)
专题13函数的图象(一)(含2021-2023高考真题)(解析版)_02高考数学_2024年新高考资料_3.2024专项复习_2024年新高考数学之函数专项重难点突破练(新高考专用)

文档信息

文档格式
docx
文档大小
2.019 MB
文档页数
26 页
上传时间
2026-04-12 00:08:02

文档内容

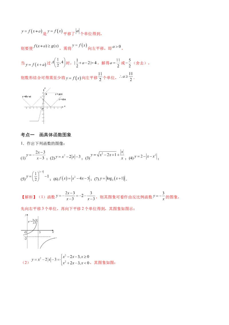
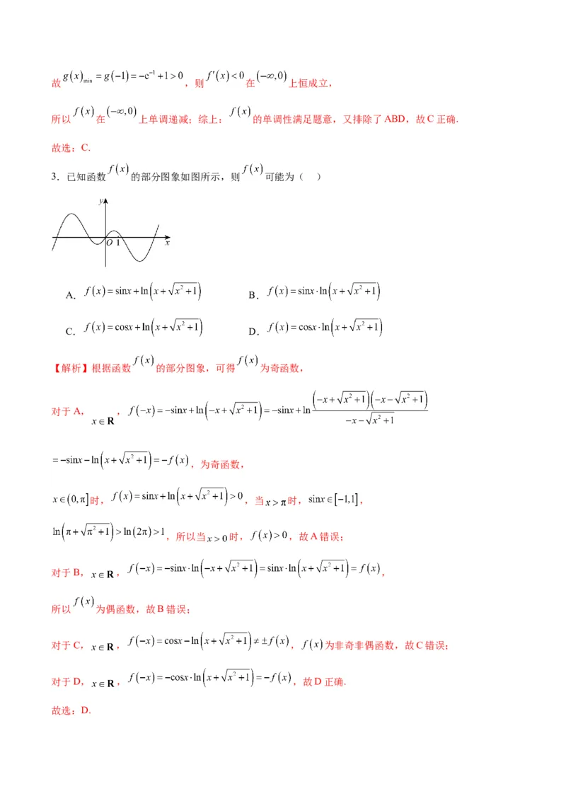
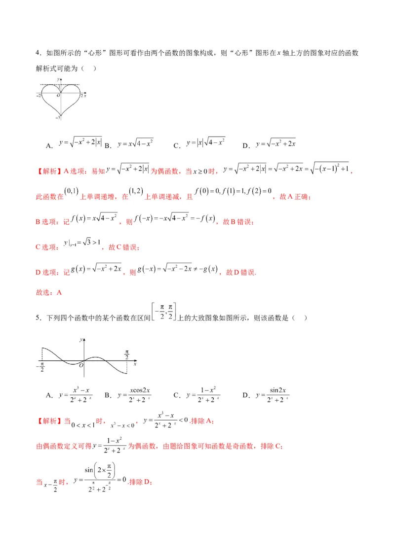
专题13 函数的图象(一) 真题呈现 1.(2023·天津·统考高考真题)函数 的图象如下图所示,则 的解析式可能为( ) A. B. C. D. 【解析】由图知:函数图象关于y轴对称,其为偶函数,且 , 由 且定义域为R,即B中函数为奇函数,排除; 当 时 、 ,即A、C中 上函数值为正,排除;故选:D 2.(2022·天津·统考高考真题)函数 的图像为( ) A. B. C. D. 【解析】函数 的定义域为 ,且 , 函数 为奇函数,A选项错误;又当 时, ,C选项错误; 当 时, 函数单调递增,故B选项错误;故选:D.3.(2022·全国·统考高考真题)函数 在区间 的图象大致为( ) A. B. C. D. 【解析】令 ,则 , 所以 为奇函数,排除BD;又当 时, ,所以 ,排除C.故选:A. 4.(2022·全国·统考高考真题)如图是下列四个函数中的某个函数在区间 的大致图像,则该函数是 ( ) A. B. C. D. 【解析】设 ,则 ,故排除B;设 ,当 时, , 所以 ,故排除C;设 ,则 ,故排除D.故选:A. 5.(2021·天津·统考高考真题)函数 的图像大致为( ) A. B.C. D. 【解析】设 ,则函数 的定义域为 ,关于原点对称, 又 ,所以函数 为偶函数,排除AC; 当 时, ,所以 ,排除D.故选:B. 6.(2021·浙江·统考高考真题)已知函数 ,则图象为如图的函数可能是( ) A. B. C. D. 【解析】对于A, ,该函数为非奇非偶函数,与函数图象不符,排除A; 对于B, ,该函数为非奇非偶函数,与函数图象不符,排除B; 对于C, ,则 , 当 时, ,与图象不符,排除C.故选:D. 7.(2021·全国·高考真题)已知函数 .(1)画出 和 的图像; (2)若 ,求a的取值范围. 【解析】(1)可得 ,画出图像如下: ,画出函数图像如下: (2) ,如图,在同一个坐标系里画出 图像,是 平移了 个单位得到, 则要使 ,需将 向左平移,即 , 当 过 时, ,解得 或 (舍去), 则数形结合可得需至少将 向左平移 个单位, . 考点一 画具体函数图象 1.作出下列函数的图像: (1) ;(2) ;(3) ;(4) ; (5) ;(6) ;(7) . 【解析】(1)函数 ,则其图象可看作由反比例函数 的图象, 先向右平移3个单位,再向下平移2个单位得到,其图象如图示: (2) ,其图象如图:(3)设 ,其图象如图: (4)设 ,其图象如图: (5)设 ,其图象可看作由函数 的图象向右平移1个单位,再向下平移1个单 位得到,而 ,其图象可由 的图象保留 时的图象,然后将该部分关于y 轴对称得到,则 图象如图示:(6) 的图象可由函数 的图象保留x轴上方的部分不变, 将x轴下方的部分翻折到x轴上方得到,图象如图: (7)设 ,则其图象可由 的图象向左平移1个单位, 再保留x轴上方部分不变,将x轴下方部分翻折到x轴上方得到,如图: 2.已知函数 ,画出函数的草图. 【解析】 ,因为 ,所以 ,所以 , 又 和 都是增函数,所以 为增函数,故函数 的图象如图所示. 考点二 函数图象识别1.已知 ,则 的图象大致为( ) A. B. C. D. 【解析】由已知得函数 的定义域为 ,由此排除选项 , 由于 ,由此排除选项 和 ,故选: . 2.函数 在区间 上的图象大致为( ) A. B. C. D. 【解析】因为 ,关于原点对称, , 所以函数 为奇函数,故D错误; 因为 ,所以 ,所以 ,故A错误; 因为 ,所以 ,所以 ,故B错误;故选:C. 3.函数 的图象大致为( ) A. B. C. D. 【解析】由已知得函数的定义域为 ,∵ , ∴ 为奇函数,令 ,则 , 其中 ,故 ,排除 , 令 , , 其中 ,故 ,排除 ,故选: . 4.函数 的部分图象是( ) A. B. C. D. 【解析】由函数 的定义为 ,且满足 , 可得函数 为偶函数,图象关于 轴对称,可排除B、D项; 当 时,可得 ,可排除C项, 所以选项A的图象符合题意.故选:A. 5.函数 的图象大致是( )A. B. C. D. 【解析】由函数 可知,其定义域为 ,关于原点对称; 又对于定义域内任意 满足 , 所以函数 为奇函数,其图象关于原点对称,因此排除B, 又根据不同函数的增长速度可知,当 趋近于 , 趋近于 ,而非接近于0,所以排除 A;又 排除D,故选:C 6.已知函数 ,若 ,且 ,则函数 的图象可能是( ) A. B. C. D. 【解析】由 且 ,得 ,所以函数图象开口向上,排除A,C; 又 ,排除B.故选:D. 7.数学与音乐有着紧密的关联.声音中也包含正弦函数,声音是由于物体的振动产生的能引起听觉的波, 每一个音都是由纯音合成的.纯音的数学模型是函数 ,我们平时听到的音乐一般不是纯音,而是 有多种波叠加而成的复合音.已知刻画某复合音的函数为 ,则其部分图象大致为 ( )A. B. C. D. 【解析】令 , 求导得 , 当 时,由 解得 , 当 时, , 单调递增;当 时, , 单调递减; 当 时, , 单调递增;当 时, , 单调递减, 所以,当 和 时, 取极大值;当 时, 取极小值, 由于 , 可得 ,当 时 ,结合图象,只有C选项满足.故选:C. 8.将函数 的图像向左平移 个单位长度,得到函数 的图像,则 的部分图像大 致为( ) A. B. C. D. 【解析】因为 ,所以 , 选项A,因为 ,又 ,所以 ,故 ,根据图形知,选项A错误;选项B,因为 ,所以 ,即 不是偶函数,选项B错误; 选项C,因为 ,又 ,所以 ,故 ,根据图 形知,选项C错误;综上可知选项D符合题意. 故选:D. 考点三 根据函数图象选择解析式 一、单选题 1.已知函数 的部分图像如图所示,则 的解析式可能为( ) A. B. C. D. 【解析】由图像可知 ,而D选项中 ,∴排除D选项; 又图像不关于原点对称,∴ 不是奇函数, 若 ,函数定义域为R, , 为奇函数,排除A 选项; ,是奇函数,∴排除C选项.故选:B. 2.我国著名数学家华罗庚先生曾说:“数缺形时少直观,形缺数时难入微.”在数学的学习和研究中,常用函 数图象来研究函数性质,也常用函数解析式来研究函数图象的特征,已知函数 的部分图象如下图所示, 则 可能的解析式是( )A. B. C. D. 【解析】对于A,因为 , 所以 , , , 显然 , ,所以 在 上并不单调递减,故A错误; 对于B,因为 ,所以 , , , 显然 , ,所以 在 上并不单调递增,故B错误; 对于D,因为 ,所以 , , 显然 , ,所以 在 上并不单调递减,故D错误; 对于C,因为 , 当 时, ,由复合函数的单调性易知 在 上单调递增; 当 时, ,则 , 令 ,则 , 令 ,得 ;令 ,得 ; 所以 在 上单调递增,在 上单调递减,故 ,则 在 上恒成立, 所以 在 上单调递减;综上: 的单调性满足题意,又排除了ABD,故C正确. 故选:C. 3.已知函数 的部分图象如图所示,则 可能为( ) A. B. C. D. 【解析】根据函数 的部分图象,可得 为奇函数, 对于A, , ,为奇函数, 时, ,当 时, , ,所以当 时, ,故A错误; 对于B, , , 所以 为偶函数,故B错误; 对于C, , , 为非奇非偶函数,故C错误; 对于D, , ,故D正确. 故选:D.4.如图所示的“心形”图形可看作由两个函数的图象构成,则“心形”图形在x轴上方的图象对应的函数 解析式可能为( ) A. B. C. D. 【解析】A选项:易知 为偶函数,当 时, , 此函数在 上单调递增,在 上单调递减,且 ,故A正确; B选项:记 ,则 ,故B错误; C选项: ,故C错误; D选项:记 ,则 ,故D错误. 故选:A 5.下列四个函数中的某个函数在区间 上的大致图象如图所示,则该函数是( ) A. B. C. D. 【解析】当 时, , .排除A; 由偶函数定义可得 为偶函数,由题给图象可知函数是奇函数,排除C; 当 时, .排除D;为奇函数,且当 时, , 当 时, .B均符合题给特征.故选:B. 6.为了激发同学们学习数学的热情,某学校开展利用数学知识设计 的比赛,其中某位同学利用函数 图象设计了如图的 ,那么该同学所选的函数最有可能是( ) A. B. C. D. 【解析】由图可知,所选函数为偶函数,且在 右侧附近单调递减. 对于A选项,函数 的定义域为 , , 所以,函数 为偶函数, , 当 时, ,则函数 在 上单调递增,A不满足; 对于B选项,函数 的定义域为 , , 所以,函数 为偶函数, , 当 时, ,则函数 在 上单调递减,B满足;对于C选项,函数 的定义域为 , ,令 ,则 且 不恒为零, 所以, 在 上单调递增, 当 时, ,则函数 在 上为增函数,C不满足; 对于D选项,函数 的定义域为 , 则 , 所以,函数 为奇函数,D不满足. 故选:B. 7.数学与音乐有着紧密的关联,我们平时听到的乐音一般来说并不是纯音,而是由多种波叠加而成的复 合音.如图为某段乐音的图像,则该段乐音对应的函数解析式可以为( ) A. B. C. D. 【解析】对于A,函数 , 因为 ,所以函数为奇函数, 又 ,故A正确; 对于B,函数 , 因为 ,所以函数为奇函数,又 ,故B错误; 对于C,函数 ,因为 ,故C错误; 对于D,函数 , ,故D错误, 故选:A. 8.已知函数 在 上的大致图象如下所示,则 的解析式可能为( ) A. B. C. D. 【解析】函数图象关于 轴对称,函数为偶函数,选项D中函数满足 ,为奇函数,排除D; 又选项C中函数满足 ,与图象不符,排除C; 选项A中函数满足 ,与图象不符,排除A, 只有B可选.故选:B. 考点四 根据实际问题选择函数图像 一、单选题 1.如图,点 在边长为1的正方形 上运动,设点 为 的中点,当点 沿 运动 时,点 经过的路程设为 , 面积设为 ,则函数 的图象只可能是下图中的( )A. B. C. D. 【解析】当点 在 上时: ; 当点 在 上时: ; 当点 在 上时: , 所以 ,由函数解析式可知,有三段线段,又当点 在 上时是减函数,故符合题 意的为A.故选:A 2.某同学骑自行车上学,开始时匀速行驶,途中因红灯停留了一段时间,然后加快速度赶到了学校.下列 各选项中,符合这一过程的是( ) A. B. C. D. 【解析】因为开始时是匀速行驶,所以这位同学离学校的距离匀速减少, 途中停留一段时间,故此段时间内这位同学与学校的距离不变, 然后加快速度赶到了学校,所以这位同学与学校的距离减少的幅度越来越快, 故符合这一过程的是B中图象.故选:B. 3.“龟兔赛跑”讲述了这样的故事:领先的兔子看着慢慢爬行的乌龟,骄傲起来,睡了一觉,当它醒来 时,发现乌龟快到终点了,于是急忙追赶,但为时已晚,乌龟还是先到达了终点.用s,s 分别表示乌龟和 1 2兔子经过的路程,t为时间,则与故事情节相吻合的是( ) A. B. C. D. 【解析】由题意可得 始终是匀速增长,开始时, 的增长比较快,但中间有一段时间 停止增长, 在最后一段时间里, 的增长又较快,但 的值没有超过 的值,结合所给的图象可知,B选项正确; 故选:B. 4.如图,点P在边长为1的正方形边上运动,设M是CD的中点,则当P沿A-B-C-M运动时,点P 经过的路程x与△APM的面积y之间的函数 的图像大致是( ) A. B. C. D. 【解析】根据题意可得,当 时(如图1所示),S APM= = x; △ 当 时(如图2所示),S APM=S ABCM-S ABP-S PCM △ 梯形 △ △ = ; 当 时(如图3所示),S APM= , △ ∴ ,根据函数解析式,结合图形,可知选项A符合,故选A. 5.某同学居住地距离学校1km,某天早晨到校时为了赶时间他先跑步3分钟,到早餐店买早餐耽搁1分钟 后步行到达学校,与此事实吻合最好的图象是( ) A. B. C. D. 【解析】该同学从居住地出发,一开始距离学校距离为1km,排除C、D, 先跑步3分钟,再买早餐耽搁1分钟,最后步行,速度比跑步要慢一些,所以相对而言,A选项更合适. 故选:A. 6.某校航模小组进行无人机飞行测试,从某时刻开始15分钟内的速度 (单位:米/分钟)与飞行时间 (单位:分钟)的关系如图所示.若定义“速度差函数” (单位:米/分钟)为无人机在 这个时 间段内的最大速度与最小速度的差,则 的图像为( ) A. B.C. D. 【解析】由题图知,当 时, 无人机做匀加速运动, ,“速度差函数” ; 当 时, 无人机做匀减速运动,速度 从160开始下降,一直降到80,“速度差函数” ; 当 时, 无人机做匀减速运动, 从80开始下降, ,“速度差函数” ; 当 时无人机做匀加速运动,“速度差函数” . 所以函数 在 和 两个区间上都是常数.故选:C 7.如图所示是一鱼缸的轴截面图,已知该鱼缸装满水时储水量为V,缸高为H,其底部破了一个小洞,满 缸水从洞中流出,若鱼缸水深为h时水的体积为v,则函数v=f(h)的大致图象是( ) A. B. C. D. 【解析】由题得 是增函数,曲线的变化率是先慢慢变大,后慢慢变小. 故选:B. 8.如图,正△ABC的边长为2,点D为边AB的中点,点P沿着边AC,CB运动到点B,记∠ADP=x.函 数f(x)=|PB|2﹣|PA|2,则y=f(x)的图象大致为( )A. B. C. D. 【解析】根据题意,f(x)=|PB|2﹣|PA|2,∠ADP=x. 在区间(0, )上,P在边AC上,|PB|>|PA|,则f(x)>0,排除C; 在区间( ,π)上,P在边BC上,|PB|<|PA|,则f(x)<0,排除B, 又由当x+x=π时,有f(x)=﹣f(x),f(x)的图象关于点( ,0)对称,排除D, 1 2 1 2 故选:A 二、多选题 9.如图所示的四个容器高度都相同,将水从容器顶部一个孔中以相同的速度注入其中,注满为止.用下 列对应的图象表示该容器中水面的高度h与时间t之间的关系,其中正确的( ) A. B. C. D. 【解析】对于A,易知水面高度的增加是均匀的,所以A不正确; 对于B,h 随t的增大而增大,且增大的速度越来越慢,所以B正确; 对于C,h 随t的增大而增大,增大的速度先越来越慢,后越来越快,所以C正确; 对于D,h 随t的增大而增大,增大的速度先越来越快,后越来越慢,所以D正确. 故选:BCD. 三、填空题10.如图放置的边长为1的正方形PABC沿x轴滚动.设顶点 的轨迹方程是 ,且 , 则使 的x的最小正值为________. 【解析】“正方形PABC沿x轴滚动”包括沿x轴正方向和沿x轴负方向滚动.沿x轴正方向滚动指的是先 以顶点A为中心顺时针旋转,当顶点B落在x轴上时,再以顶点B为中心顺时针旋转,如此继续.类似地, 正方形PABC可以沿x轴负方向滚动.点P的运动轨迹如图所示, 根据图像知,满足 的x的最小正值是 . 四、解答题 11.如图,在直角梯形OABC中,已知 ,且 ,梯形被直线 截得位于直线l左方图形的面积为S. (1)求函数 的解析式; (2)画出函数 的图象.【解析】(1)由题意可知:线段 的方程为 , 当 时,直线 与梯形没有围成面积,此时 当 时,此时直线 与线段 相截,所以 , 当 时,此时直线 与线段 相截,所以 , 当 时, , 综上: (2)由 可得: 12.辆高速列车在某段路程中行驶的速率v(单位: )与时间 (单位: )的关系如图所示. (1)求梯形 的面积,并说明所求面积的实际含义; (2)记梯形 位于直线 的左侧的图形的面积为 ,求函数 的解析式,并画出 其图象. 【解析】(1)四边形 的面积为 ,它表示该高速列车在这 内行驶的路程为 . (2)当 时, ; 当 时, ; 当 时, . 综上所述, , 图象如图所示: