当前位置:首页>文档>江苏省宿迁市2019年中考数学真题试题_初中数学_九年级数学下册(人教版)_全国各地数学中考真题_2019年全国中考数学真题206份

江苏省宿迁市2019年中考数学真题试题_初中数学_九年级数学下册(人教版)_全国各地数学中考真题_2019年全国中考数学真题206份

  • 2026-05-12 22:25:03 2026-04-12 04:10:13

文档预览

江苏省宿迁市2019年中考数学真题试题_初中数学_九年级数学下册(人教版)_全国各地数学中考真题_2019年全国中考数学真题206份
江苏省宿迁市2019年中考数学真题试题_初中数学_九年级数学下册(人教版)_全国各地数学中考真题_2019年全国中考数学真题206份
江苏省宿迁市2019年中考数学真题试题_初中数学_九年级数学下册(人教版)_全国各地数学中考真题_2019年全国中考数学真题206份
江苏省宿迁市2019年中考数学真题试题_初中数学_九年级数学下册(人教版)_全国各地数学中考真题_2019年全国中考数学真题206份
江苏省宿迁市2019年中考数学真题试题_初中数学_九年级数学下册(人教版)_全国各地数学中考真题_2019年全国中考数学真题206份
江苏省宿迁市2019年中考数学真题试题_初中数学_九年级数学下册(人教版)_全国各地数学中考真题_2019年全国中考数学真题206份
江苏省宿迁市2019年中考数学真题试题_初中数学_九年级数学下册(人教版)_全国各地数学中考真题_2019年全国中考数学真题206份
江苏省宿迁市2019年中考数学真题试题_初中数学_九年级数学下册(人教版)_全国各地数学中考真题_2019年全国中考数学真题206份
江苏省宿迁市2019年中考数学真题试题_初中数学_九年级数学下册(人教版)_全国各地数学中考真题_2019年全国中考数学真题206份
江苏省宿迁市2019年中考数学真题试题_初中数学_九年级数学下册(人教版)_全国各地数学中考真题_2019年全国中考数学真题206份
江苏省宿迁市2019年中考数学真题试题_初中数学_九年级数学下册(人教版)_全国各地数学中考真题_2019年全国中考数学真题206份
江苏省宿迁市2019年中考数学真题试题_初中数学_九年级数学下册(人教版)_全国各地数学中考真题_2019年全国中考数学真题206份
江苏省宿迁市2019年中考数学真题试题_初中数学_九年级数学下册(人教版)_全国各地数学中考真题_2019年全国中考数学真题206份
江苏省宿迁市2019年中考数学真题试题_初中数学_九年级数学下册(人教版)_全国各地数学中考真题_2019年全国中考数学真题206份
江苏省宿迁市2019年中考数学真题试题_初中数学_九年级数学下册(人教版)_全国各地数学中考真题_2019年全国中考数学真题206份
江苏省宿迁市2019年中考数学真题试题_初中数学_九年级数学下册(人教版)_全国各地数学中考真题_2019年全国中考数学真题206份

文档信息

文档格式
docx
文档大小
2.503 MB
文档页数
12 页
上传时间
2026-04-12 04:10:13

文档内容

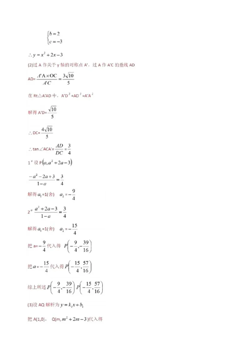
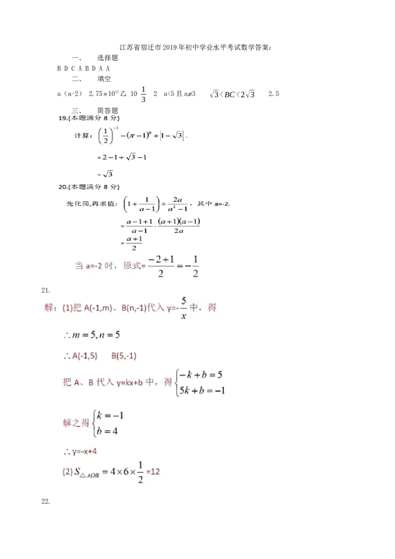
江苏省宿迁市2019年初中学业水平考试数学 答题注意事项 1、本试卷共6页,满分150分,考试试卷150分钟。 2、答案全部写在答题卡上,写在本试卷上无效。 3、答选择题必须用2B铅笔将答题卡上对应的答案标号涂黑,如需改动,请用橡皮 擦干净后,再选涂其它答案,答非选择题必须用 0.5毫米黑色墨水签字笔,在答题 卡上对应题号的答题区域书写答案,注意不要答错位置,也不要超界。 4、作图必须用2B铅笔作答,并请加黑加粗,描写清楚。 一、选择题(本大题共8小题,每小题3分,共24分。在每小题所给出的四个选项中,有且只有一项 是符合题目要求的,请将正确选项的字母代号填涂在答题卡相应位置上) 1. 2019的相反数是 1 1  A. 2019 B. -2019 C. 2019 D. -2019 2. 下列运算正确的是 a2 a3 a5 (a2)3 a5 a6 a3 a2 (ab2)3 a3b6 A. B. C. D. 3. 一组数据:2、4、4、3、7、7,则这组数据的中位数是 A. 3 B. 3.5 C. 4 D. 7 4. 一副三角板如图摆放(直角顶点C重合),边AB与CE交于点F,DE∥BC,则∠BFC等 A. 105° B. 100° C. 75° D. 60° 5. 一个圆锥的主视图如图所示,根据图中数据,计算这个圆锥的侧面积是 A. 20π B. 15π C. 12π D. 9π 6. 不等式x一1≤2的非负整数解有 A. 1个 B. 2个 C. 3个 D. 4个 7. 如图,正六边形的边长为2,分别以正六边形的六条边为直径向外作半圆,与正六边形的外接圆围 成的6个月牙形的面积之和(阴影部分面积)是 3 3 3 3 A. 6 —π B. 6 -2π C. 6 +π D. +2π 8. 如图在平面直角坐标系xoy中,菱形ABCD的顶点A与原点o重合,顶点B落在x轴的正半轴上,对k AC 角线AC、BD交于点M,点D、M恰好都在反比例函数y= x (x>0)的图像上,则 BD 的值为 2 3 5 A. B. C. 2 D. 二、填空题,(本大题共10小题,每小题3分,共30分,不需写出解答过程,请把答案直接填写在 答题卡相应位置上) 9. 实数4的算术平方根为▲ 10. 分解因式a2-2a=▲ 11. 宿迁近年来经济快速发展,2018年GDP约达到275 000 000 000元。将275 000 000 000用科学 记数法表示为▲ S2、S2,且S2>S2 12. 甲、乙两个篮球队队员身高的平均数都为2.07米,方差分别是 甲 乙 甲 乙,则队员身高 比较整齐的球队是▲ 13. 下面3个天平左盘中“△”“□”分别表示两种质量不同的物体,则第三个天平右盘中砝码的质 量为▲ 14. 抛掷一枚质地均匀的骰子一次,朝上一面的点数是3的倍数的概率是▲ 15. 直角三角形的两条直角边分别是5和12,则它的内切圆半径为▲ 1 a-2  =1 16. 关于x的分式方程x-2 2-x 的解为正数,则a的取值范围是▲ 17. 如图∠MAN=600,若△ABC的顶点B在射线AM上,且AB=2,点C在射线AN上运动,当△ABC是锐 角三角形时,BC的取值范围是▲ 18. 如图正方形ABCD的边长为4,E为BC上一点,且BE=1,F为AB边上的一个动点,连接EF,以EF 为边向右侧作等边△EFG,连接CG,则CG的最小值为▲ 三、解答题(本大题共10题,共96分,请在答题卡指定区域内作答,解答时应写出必要的文字说明、 证明过程或演算步骤) 19. (本题满分8分) 1 ( )1-(π-1)0 1 3 计算: 2 20. (本题满分8分)1 2a (1+ ) 先化简,再求值: a1 a21,其中a=-2 5 y=- 21. (本题满分 8分)如图,一次函数 y=kx+b的图像与反比例函数 x 的图像相交于点 A (-1,m)、B(n,-1)两点。 ⑴求一次函数表达式 ⑵求AOB的面积 22. (本题满分8分)如图,矩形ABCD中,AB=4,BC=2,点E、F分别在AB、CD上,且BE=DF=3/2, ⑴求证:四边形AECF是菱形 ⑵求线段EF的长. 23.(本题满分10分) 为了解学生的课外阅读情况,七(1)班针对“你最喜爱的课外阅读书目:进行调査(每名学生必须选 一类且只能选一类阅读书目)∙并根据调査结果列出统计表,绘制成扇形统计图。 男、女生所选类别人数统计表 学生所选类别人数扇形统计图 类别 男 生 女生(人) (人) 文学类 12 8 史学类 m 5 科学类 6 5 哲学类 2 n 根据以上信息解决下列问题: (1)m=,n= (2)扇形统计图中“科学类”所对应扇形圆心角度数为 (3)从选哲学类的学生中,随机选取两名学生参加学校团委组织的辩论赛,请用树状图或列表法求出 所选取的两名学生都是男生的概率.24.(本题满分10分)在RtΔABC中,∠C=90°. (1)如图①,点O在斜边AB上,以点O为圆心,OB长为半径的圆交AB于点D,交BC于点E,与边AC相 切于点F。求证:∠1=∠2; (2)在图②中作圆M,使它满足以下条件: ①圆心在边AB上;②经过点B。③与边AC相切。(尺规作图,只保留作图痕迹,不要求写出作法) 25.(本题満分10分)宿迁市政府为了方便市民绿色出行,推出了共享单车服务。图➀是某品牌共享 单车放在水平地面上的实物图,图②是其示意图,其中 AB、CD都与地面l平行,车轮半径为32cm, ∠BCD=600,BC=60cm,坐垫E与点B的距离BE为15cm。 ⑴求坐垫E到地面的距离; 小比的距离BE为∣5rn 花匕 ⑵根据经验,当坐垫E到CD的距离调整为人体腿长的0.8时,坐骑比较舒适。小明的腿长约为80cm, 现将坐垫E调整至坐骑舒适高度位置E’,求EE’的长。 (结果精确到0.1cm,参考数据:sin640≈0.90,cos640≈0.44,tan640≈2.05) 26.(本题满分10分)超市销售某种儿童玩具,如果每件利润为40元(市场管理部门规定,该种玩具 每件利润不能超过60元),每天可售出50件。根据市场调查发现.销售单价每增加2元,每天销售量 会减少1件。设销售单价增加x元,每天售出y件. (1)请写出y与x之间的函数表达式; (2)当x为多少时,超市每天销售这种玩具可获利润2250元? (3)设超市每天销售这种玩具可获利w元,当x为多少时w最大,最大值是多少?27.(本题满分12分)如图➀,在钝角△ABC,∠ABC=300,AC=4,点D为边AB中点,点E为边BC中点, 将△BDE绕B逆时针方向旋转α度 。 (1)如图➁,当0