当前位置:首页>文档>专题02解直角三角(五大题型+题型综合专训)(原卷版)_北师大初中数学_9下-北师大版初中数学_05习题试卷_4专题练习_第2套

专题02解直角三角(五大题型+题型综合专训)(原卷版)_北师大初中数学_9下-北师大版初中数学_05习题试卷_4专题练习_第2套

  • 2026-04-12 18:21:09 2026-04-12 18:12:40

文档预览

专题02解直角三角(五大题型+题型综合专训)(原卷版)_北师大初中数学_9下-北师大版初中数学_05习题试卷_4专题练习_第2套
专题02解直角三角(五大题型+题型综合专训)(原卷版)_北师大初中数学_9下-北师大版初中数学_05习题试卷_4专题练习_第2套
专题02解直角三角(五大题型+题型综合专训)(原卷版)_北师大初中数学_9下-北师大版初中数学_05习题试卷_4专题练习_第2套
专题02解直角三角(五大题型+题型综合专训)(原卷版)_北师大初中数学_9下-北师大版初中数学_05习题试卷_4专题练习_第2套
专题02解直角三角(五大题型+题型综合专训)(原卷版)_北师大初中数学_9下-北师大版初中数学_05习题试卷_4专题练习_第2套
专题02解直角三角(五大题型+题型综合专训)(原卷版)_北师大初中数学_9下-北师大版初中数学_05习题试卷_4专题练习_第2套
专题02解直角三角(五大题型+题型综合专训)(原卷版)_北师大初中数学_9下-北师大版初中数学_05习题试卷_4专题练习_第2套
专题02解直角三角(五大题型+题型综合专训)(原卷版)_北师大初中数学_9下-北师大版初中数学_05习题试卷_4专题练习_第2套
专题02解直角三角(五大题型+题型综合专训)(原卷版)_北师大初中数学_9下-北师大版初中数学_05习题试卷_4专题练习_第2套
专题02解直角三角(五大题型+题型综合专训)(原卷版)_北师大初中数学_9下-北师大版初中数学_05习题试卷_4专题练习_第2套
专题02解直角三角(五大题型+题型综合专训)(原卷版)_北师大初中数学_9下-北师大版初中数学_05习题试卷_4专题练习_第2套
专题02解直角三角(五大题型+题型综合专训)(原卷版)_北师大初中数学_9下-北师大版初中数学_05习题试卷_4专题练习_第2套
专题02解直角三角(五大题型+题型综合专训)(原卷版)_北师大初中数学_9下-北师大版初中数学_05习题试卷_4专题练习_第2套
专题02解直角三角(五大题型+题型综合专训)(原卷版)_北师大初中数学_9下-北师大版初中数学_05习题试卷_4专题练习_第2套
专题02解直角三角(五大题型+题型综合专训)(原卷版)_北师大初中数学_9下-北师大版初中数学_05习题试卷_4专题练习_第2套
专题02解直角三角(五大题型+题型综合专训)(原卷版)_北师大初中数学_9下-北师大版初中数学_05习题试卷_4专题练习_第2套
专题02解直角三角(五大题型+题型综合专训)(原卷版)_北师大初中数学_9下-北师大版初中数学_05习题试卷_4专题练习_第2套

文档信息

文档格式
docx
文档大小
1.156 MB
文档页数
13 页
上传时间
2026-04-12 18:12:40

文档内容

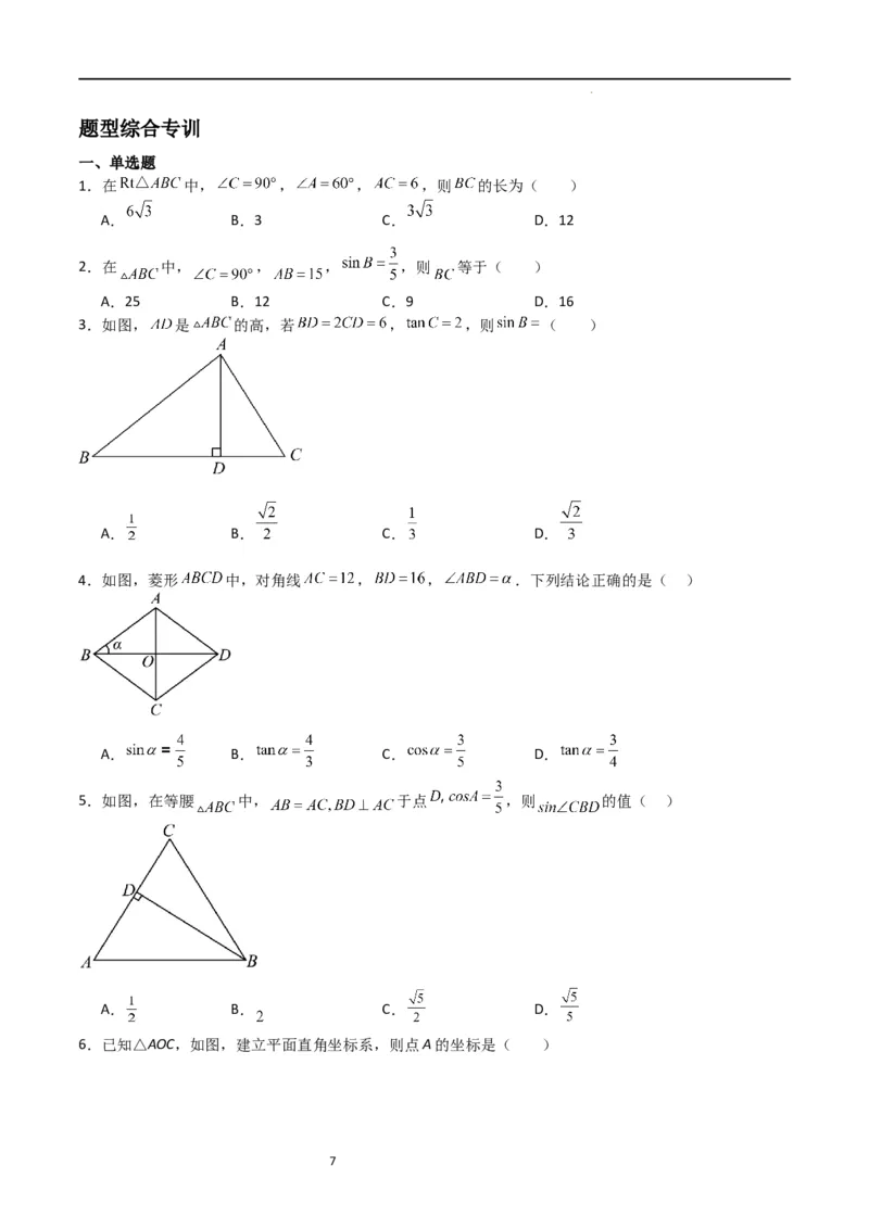
专题 02 解直角三角(五大题型+题型综合专训) 目录; 题型1:解直角三角形 题型2:解非直角三角形 题型3:构造直角三角形 题型4:解直角三角形与网格问题 题型5:解直角三角形与函数 +题型综合专训(精选27题) 题型1:解直角三角形 1.如图,在 中, , , ,则 的长为( ) A. B. C. D. 2.在 中, , , ,则 的长为( ) A.3 B.2 C. D. 3.在 中, ,则 的长为( ) A.8 B.12 C.13 D.18 4.在 中, ,当已知 和a时,求c,应选择的关系式是( ) A. B. C. D. 5.如图,在 中, ,点D为AB边的中点,连接CD,若 , ,则 的值为( ) 1A. B. C. D. 题型2:解非直角三角形 6.如图,在 中, , , ,则 的长为( ) A. B. C.4 D.5 7.如图,以 的顶点O为坐标原点, 所在直线为x轴,建立平面直角坐标系,若 , , , ,则点A的坐标是( ) A.( , ) B.( , ) C.( , ) D.( , ) 8.如图,在 中, , , , 平分 交 于点 ,则线段 的 长为( ) 2A. B.12 C. D.6 9.如图,在等腰 中, .若 , ,则底边 ( ) A. B. C. D. 10.如图,在 中, ,点 为 的中点, 于点 ,连接 .已知 . (1)若 ,求 的长度; (2)若 ,求 . 题型3:构造直角三角形 11.在△ABC中,BC= +1,∠B=45°,∠C=30°,则△ABC的面积为( ) A. B. +1 C. D. +1 12.如图,在四边形 中, , , , ,则四边形 的面 积为( ) 3A.48 B.50 C.52 D.54 13.如图,四边形ABCD的对角线AC、BD相交于O,∠AOD=60°,AC=BD=2,则这个四边形的面积 是( ) A. B. C. D. 14.如图, , , 底边BC上的高为 , 底边QR上的高为 ,则有 ( ) A. B. C. D.以上都有可能 15.如图,在 中, 是斜边 上的高,将得到的两个 和 按图 、图 、图 三种方式放置,设三个图中阴影部分的面积分别为 , , ,若 ,则 与 之间的关系是( ) A. B. C. D. 16.如图,在 中, , , 为 边上的一个动点(不与 、 重合),连接 ,则 4的最小值是( ) A. B. C. D.2 17.如图,在矩形ABCD中, , ,M是CD上的一点,将 沿直线AM对折得到 ,若AN平分 ,则CN的长为( ) A. B. C. D.3 题型4:解直角三角形与网格问题 18.如图,是由小正方形组成的9×6网格,每个小正方形的顶点叫做格点, 的三个顶点都是格点, 仅用无刻度的直尺在网格中画图,画图过程用虚线,画图结果用实线表示. (1)如图1,在 上画一点E,使 = ;过点E作 ,垂足为F; (2)如图2, D是网格中的格点,在线段 上找一点 ,使得 平分 ;在 上找点 ,连接 ,使 . 19.图①、图②、图③均是 的正方形网格,每个小正方形的边长均为1,每个小正方形的顶点称为格 点,点A、B、C、D的顶点均在格点上,只用无刻度的直尺,在给定的网格中,分别按下列要求画图,保 留适当的作图痕迹. 5(1)在图①中的线段 上找一点E,使 . (2)在图②中的线段 上找一点F,使 . (3)在图③中的线段 上找一点G,使点G到直线 距离之和为4 题型5:解直角三角形与函数 20.如图,在平面直角坐标系中,菱形 的顶点O在坐标原点, ,顶点C的坐标为 , 的图象与菱形对角线 交于点D,连接 ,当 轴时,k的值是( ) A. B. C. D. 21.如图,在平面直角坐标系中,直线 与x轴的负半轴交于点A,与y轴的正半轴交于点B,且 . (1)求直线 的解析式; (2)点P为x轴正半轴上一点,连接 ,设点P的横坐标为t, 的面积为S,求S与t的函数解析式; (3)在(2)的条件下,点E为线段 上一点,过点E作 轴,垂足为点F,作点P关于直线 的对 称点G,连接 ,点H在线段 上,连接 ,若 , , 的面积为6, 求点H的坐标. 6题型综合专训 一、单选题 1.在 中, , , ,则 的长为( ) A. B.3 C. D.12 2.在 中, , , ,则 等于( ) A.25 B.12 C.9 D.16 3.如图, 是 的高,若 , ,则 ( ) A. B. C. D. 4.如图,菱形 中,对角线 , , .下列结论正确的是( ) A. B. C. D. 5.如图,在等腰 中, 于点 ,则 的值( ) A. B. C. D. 6.已知△AOC,如图,建立平面直角坐标系,则点A的坐标是( ) 7A.(acosα,asinα) B.(ccosα,csinα) C.(asinα,acosα) D.(csinα,ccosα) 7.如图,在 中, 于D,如果 ,E为 的中点,那么 的值为( ) A. B. C. D. 8.如图,在边长相同的小正方形网格中,点A、B、C、D都在这些小正方形的顶点上,AB与CD相交于 点P,则∠APD的余弦值为( ) A. B. C. D. 9.如图,四边形ABCD的对角线AC、BD相交于O,∠AOD=60°,AC=BD=2,则这个四边形的面积是 ( ) A. B. C. D. 810.如图,在 中, , , ,点 为 上任意一点,连结 , 以 , 为邻边作平行四边形 ,连结 ,则 的最小值为( ) A. B. C. D. 二、填空题 11.在 中, ,已知 和b,那么 . 12.在 中, , 、 、 为 、 、 的对边. (1)若 , ,则 , ; (2)若 , ,则 , ; (3)若 , ,则 , , ; (4)若 ,则 , , . 13.在 ABC中, , , ,那么 的长为 . 14.如图所示,四边形ABCD中,∠B=90°,AB=2,CD=8,AC⊥CD,若sin∠ACB= ,则cos∠ADC= . 15.如图, ,点P在OA上, PC=PD,若CO=5cm,OD=8cm ,则 OP的长是 . 916.如图,在 中, , , ,则 的长为 . 17.如果一个四边形的某个顶点到其他三个顶点的距离相等,我们把这个四边形叫做等距四边形,这个顶 点叫做这个四边形的等距点.如图,已知梯形ABCD是等距四边形,AB∥CD,点B是等距点.若BC=10, cosA= ,则CD的长等于 . 18.如图,在 中, ,点 在 边上,点 在射线 上,将 沿 翻折,使得点 落在点 处,当 且 时, 的长为 . 三、解答题 19.如图,在 中,已知 , , ,解这个直角三角形. 1020.如图,在Rt△ABC中,∠C=90°,BC=5,AC=12,求∠A的正弦值、余弦值和正切值. 21.如图,△ABC中,AB=AC=13,BD⊥AC于点D,sinA= (1)求BD的长; (2)求tanC的值. 22.如图,在 ABC中, 是 上的点, , , 分别是 , 的中点, , ,求 , 的长. 23.如图,在 中, , 为边 上的中线, 于点E. (1)求证: ; (2)若 , ,求 的值. 24.如图,已知在 中,点D是 边上一点,且 ,点E是 边上一点,且 . 11(1)求证: ; (2)若 , , ,求 的值. 25.如图,一次函数 的图像与反比例函数 的图像交于A,B两点,与x轴交于点C,与y轴 交于点D,已知 . (1)求k的值. (2)连接 ,求 的面积. 26.对于平面直角坐标系 中的点P和矩形M.给出如下定义:若矩形 M各边分别与坐标轴平行,且 在矩形M上存在一点Q,使得P、Q两点间距离小于1,则称P为矩形M的“近距点”. (1)如图,若矩形 对角线交点与坐标原点O重合,且顶点 . ①在点 中,矩形 的“近距点”是______; 12②点P在直线 上,若P为矩形 的“近距点”,求点P横坐标m的取值范围; (2)将(1)中的矩形 沿着x轴平移得到矩形 ,矩形 对角线交点为 ,直线 与x轴、y轴分别交于点E、F.若线段 上的所有点都是矩形 的“近距点”,真 接写出n的取值范围. 27. 是菱形 边 上一点, 是等腰三角形, , ( ), , 交边 于点 , ,连接 . (1)如图 ,当 时, ①求 的度数; ②若 , ,请直接写出 的长; (2)如图 ,当 时,若 , ,求 的面积. 13