当前位置:首页>文档>专题02解直角三角(五大题型+题型综合专训)(解析版)_北师大初中数学_9下-北师大版初中数学_05习题试卷_4专题练习_第2套

专题02解直角三角(五大题型+题型综合专训)(解析版)_北师大初中数学_9下-北师大版初中数学_05习题试卷_4专题练习_第2套

  • 2026-04-12 18:37:41 2026-04-12 18:14:24

文档预览

专题02解直角三角(五大题型+题型综合专训)(解析版)_北师大初中数学_9下-北师大版初中数学_05习题试卷_4专题练习_第2套
专题02解直角三角(五大题型+题型综合专训)(解析版)_北师大初中数学_9下-北师大版初中数学_05习题试卷_4专题练习_第2套
专题02解直角三角(五大题型+题型综合专训)(解析版)_北师大初中数学_9下-北师大版初中数学_05习题试卷_4专题练习_第2套
专题02解直角三角(五大题型+题型综合专训)(解析版)_北师大初中数学_9下-北师大版初中数学_05习题试卷_4专题练习_第2套
专题02解直角三角(五大题型+题型综合专训)(解析版)_北师大初中数学_9下-北师大版初中数学_05习题试卷_4专题练习_第2套
专题02解直角三角(五大题型+题型综合专训)(解析版)_北师大初中数学_9下-北师大版初中数学_05习题试卷_4专题练习_第2套
专题02解直角三角(五大题型+题型综合专训)(解析版)_北师大初中数学_9下-北师大版初中数学_05习题试卷_4专题练习_第2套
专题02解直角三角(五大题型+题型综合专训)(解析版)_北师大初中数学_9下-北师大版初中数学_05习题试卷_4专题练习_第2套
专题02解直角三角(五大题型+题型综合专训)(解析版)_北师大初中数学_9下-北师大版初中数学_05习题试卷_4专题练习_第2套
专题02解直角三角(五大题型+题型综合专训)(解析版)_北师大初中数学_9下-北师大版初中数学_05习题试卷_4专题练习_第2套
专题02解直角三角(五大题型+题型综合专训)(解析版)_北师大初中数学_9下-北师大版初中数学_05习题试卷_4专题练习_第2套
专题02解直角三角(五大题型+题型综合专训)(解析版)_北师大初中数学_9下-北师大版初中数学_05习题试卷_4专题练习_第2套
专题02解直角三角(五大题型+题型综合专训)(解析版)_北师大初中数学_9下-北师大版初中数学_05习题试卷_4专题练习_第2套
专题02解直角三角(五大题型+题型综合专训)(解析版)_北师大初中数学_9下-北师大版初中数学_05习题试卷_4专题练习_第2套
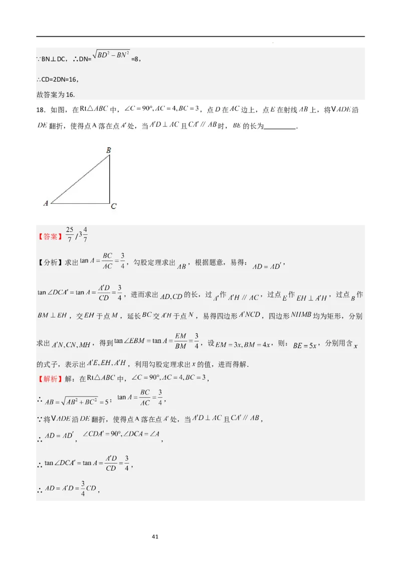
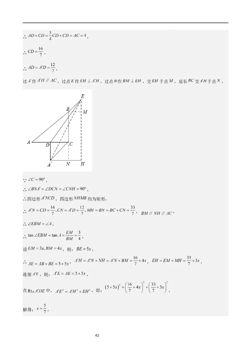
专题02解直角三角(五大题型+题型综合专训)(解析版)_北师大初中数学_9下-北师大版初中数学_05习题试卷_4专题练习_第2套
专题02解直角三角(五大题型+题型综合专训)(解析版)_北师大初中数学_9下-北师大版初中数学_05习题试卷_4专题练习_第2套
专题02解直角三角(五大题型+题型综合专训)(解析版)_北师大初中数学_9下-北师大版初中数学_05习题试卷_4专题练习_第2套
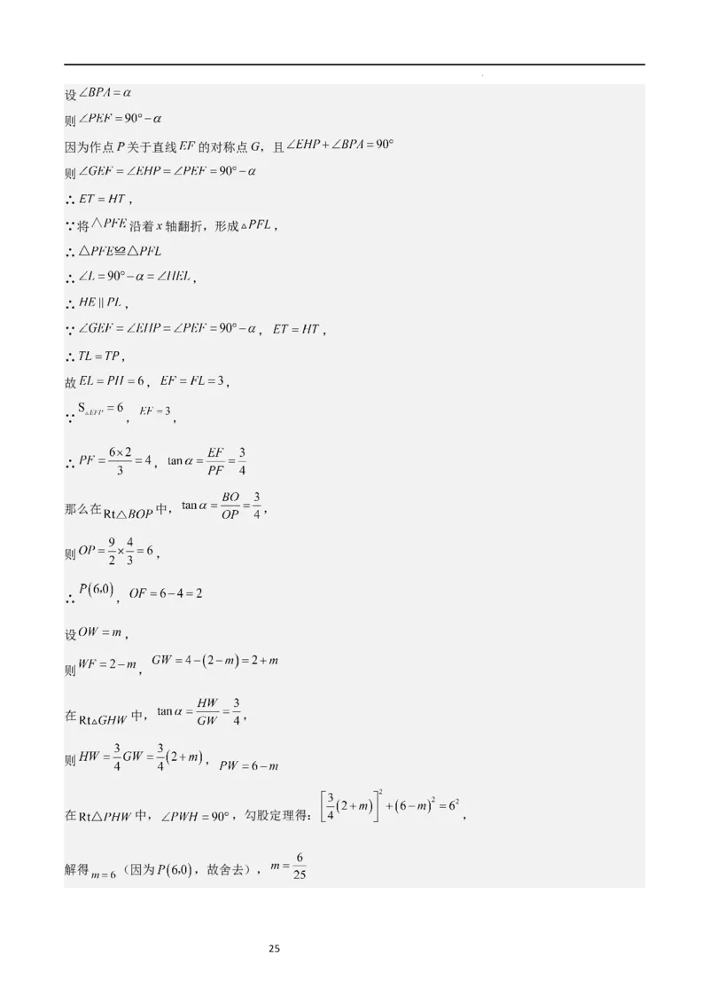
专题02解直角三角(五大题型+题型综合专训)(解析版)_北师大初中数学_9下-北师大版初中数学_05习题试卷_4专题练习_第2套
专题02解直角三角(五大题型+题型综合专训)(解析版)_北师大初中数学_9下-北师大版初中数学_05习题试卷_4专题练习_第2套
专题02解直角三角(五大题型+题型综合专训)(解析版)_北师大初中数学_9下-北师大版初中数学_05习题试卷_4专题练习_第2套
专题02解直角三角(五大题型+题型综合专训)(解析版)_北师大初中数学_9下-北师大版初中数学_05习题试卷_4专题练习_第2套
专题02解直角三角(五大题型+题型综合专训)(解析版)_北师大初中数学_9下-北师大版初中数学_05习题试卷_4专题练习_第2套
专题02解直角三角(五大题型+题型综合专训)(解析版)_北师大初中数学_9下-北师大版初中数学_05习题试卷_4专题练习_第2套
专题02解直角三角(五大题型+题型综合专训)(解析版)_北师大初中数学_9下-北师大版初中数学_05习题试卷_4专题练习_第2套
专题02解直角三角(五大题型+题型综合专训)(解析版)_北师大初中数学_9下-北师大版初中数学_05习题试卷_4专题练习_第2套
专题02解直角三角(五大题型+题型综合专训)(解析版)_北师大初中数学_9下-北师大版初中数学_05习题试卷_4专题练习_第2套
专题02解直角三角(五大题型+题型综合专训)(解析版)_北师大初中数学_9下-北师大版初中数学_05习题试卷_4专题练习_第2套
专题02解直角三角(五大题型+题型综合专训)(解析版)_北师大初中数学_9下-北师大版初中数学_05习题试卷_4专题练习_第2套
专题02解直角三角(五大题型+题型综合专训)(解析版)_北师大初中数学_9下-北师大版初中数学_05习题试卷_4专题练习_第2套
专题02解直角三角(五大题型+题型综合专训)(解析版)_北师大初中数学_9下-北师大版初中数学_05习题试卷_4专题练习_第2套
专题02解直角三角(五大题型+题型综合专训)(解析版)_北师大初中数学_9下-北师大版初中数学_05习题试卷_4专题练习_第2套
专题02解直角三角(五大题型+题型综合专训)(解析版)_北师大初中数学_9下-北师大版初中数学_05习题试卷_4专题练习_第2套
专题02解直角三角(五大题型+题型综合专训)(解析版)_北师大初中数学_9下-北师大版初中数学_05习题试卷_4专题练习_第2套
专题02解直角三角(五大题型+题型综合专训)(解析版)_北师大初中数学_9下-北师大版初中数学_05习题试卷_4专题练习_第2套
专题02解直角三角(五大题型+题型综合专训)(解析版)_北师大初中数学_9下-北师大版初中数学_05习题试卷_4专题练习_第2套
专题02解直角三角(五大题型+题型综合专训)(解析版)_北师大初中数学_9下-北师大版初中数学_05习题试卷_4专题练习_第2套
专题02解直角三角(五大题型+题型综合专训)(解析版)_北师大初中数学_9下-北师大版初中数学_05习题试卷_4专题练习_第2套
专题02解直角三角(五大题型+题型综合专训)(解析版)_北师大初中数学_9下-北师大版初中数学_05习题试卷_4专题练习_第2套
专题02解直角三角(五大题型+题型综合专训)(解析版)_北师大初中数学_9下-北师大版初中数学_05习题试卷_4专题练习_第2套
专题02解直角三角(五大题型+题型综合专训)(解析版)_北师大初中数学_9下-北师大版初中数学_05习题试卷_4专题练习_第2套
专题02解直角三角(五大题型+题型综合专训)(解析版)_北师大初中数学_9下-北师大版初中数学_05习题试卷_4专题练习_第2套
专题02解直角三角(五大题型+题型综合专训)(解析版)_北师大初中数学_9下-北师大版初中数学_05习题试卷_4专题练习_第2套
专题02解直角三角(五大题型+题型综合专训)(解析版)_北师大初中数学_9下-北师大版初中数学_05习题试卷_4专题练习_第2套
专题02解直角三角(五大题型+题型综合专训)(解析版)_北师大初中数学_9下-北师大版初中数学_05习题试卷_4专题练习_第2套
专题02解直角三角(五大题型+题型综合专训)(解析版)_北师大初中数学_9下-北师大版初中数学_05习题试卷_4专题练习_第2套
专题02解直角三角(五大题型+题型综合专训)(解析版)_北师大初中数学_9下-北师大版初中数学_05习题试卷_4专题练习_第2套
专题02解直角三角(五大题型+题型综合专训)(解析版)_北师大初中数学_9下-北师大版初中数学_05习题试卷_4专题练习_第2套
专题02解直角三角(五大题型+题型综合专训)(解析版)_北师大初中数学_9下-北师大版初中数学_05习题试卷_4专题练习_第2套
专题02解直角三角(五大题型+题型综合专训)(解析版)_北师大初中数学_9下-北师大版初中数学_05习题试卷_4专题练习_第2套
专题02解直角三角(五大题型+题型综合专训)(解析版)_北师大初中数学_9下-北师大版初中数学_05习题试卷_4专题练习_第2套
专题02解直角三角(五大题型+题型综合专训)(解析版)_北师大初中数学_9下-北师大版初中数学_05习题试卷_4专题练习_第2套
专题02解直角三角(五大题型+题型综合专训)(解析版)_北师大初中数学_9下-北师大版初中数学_05习题试卷_4专题练习_第2套
专题02解直角三角(五大题型+题型综合专训)(解析版)_北师大初中数学_9下-北师大版初中数学_05习题试卷_4专题练习_第2套
专题02解直角三角(五大题型+题型综合专训)(解析版)_北师大初中数学_9下-北师大版初中数学_05习题试卷_4专题练习_第2套
专题02解直角三角(五大题型+题型综合专训)(解析版)_北师大初中数学_9下-北师大版初中数学_05习题试卷_4专题练习_第2套
专题02解直角三角(五大题型+题型综合专训)(解析版)_北师大初中数学_9下-北师大版初中数学_05习题试卷_4专题练习_第2套
专题02解直角三角(五大题型+题型综合专训)(解析版)_北师大初中数学_9下-北师大版初中数学_05习题试卷_4专题练习_第2套
专题02解直角三角(五大题型+题型综合专训)(解析版)_北师大初中数学_9下-北师大版初中数学_05习题试卷_4专题练习_第2套
专题02解直角三角(五大题型+题型综合专训)(解析版)_北师大初中数学_9下-北师大版初中数学_05习题试卷_4专题练习_第2套
专题02解直角三角(五大题型+题型综合专训)(解析版)_北师大初中数学_9下-北师大版初中数学_05习题试卷_4专题练习_第2套
专题02解直角三角(五大题型+题型综合专训)(解析版)_北师大初中数学_9下-北师大版初中数学_05习题试卷_4专题练习_第2套
专题02解直角三角(五大题型+题型综合专训)(解析版)_北师大初中数学_9下-北师大版初中数学_05习题试卷_4专题练习_第2套
专题02解直角三角(五大题型+题型综合专训)(解析版)_北师大初中数学_9下-北师大版初中数学_05习题试卷_4专题练习_第2套

文档信息

文档格式
docx
文档大小
3.339 MB
文档页数
59 页
上传时间
2026-04-12 18:14:24

文档内容

专题 02 解直角三角(五大题型+题型综合专训) 目录; 题型1:解直角三角形 题型2:解非直角三角形 题型3:构造直角三角形 题型4:解直角三角形与网格问题 题型5:解直角三角形与函数 +题型综合专训(精选27题) 题型1:解直角三角形 1.如图,在 中, , , ,则 的长为( ) A. B. C. D. 【答案】A 【分析】利用在 中, , ,得 ,代入已知条件计算即可. 【解析】解:在 中, , , , ∵ ∴ 故选:A. 【点睛】本题考查解直角三角形,熟练掌握 是解题的关键. 2.在 中, , , ,则 的长为( ) 1A.3 B.2 C. D. 【答案】D 【分析】先利用直角三角形的边角间关系,用含 的代数式表示出 ,再利用勾股定理求出 . 【解析】解:在 中, , . , . . . 故选:D. 【点睛】本题考查了解直角三角形,掌握直角三角形的边角间关系是解决本题的关键. 3.在 中, ,则 的长为( ) A.8 B.12 C.13 D.18 【答案】C 【分析】在 中, ,求出 ,由勾股定理求出 的长即可. 【解析】解:在 中,∵ , ∴ , ∴ , 故选:C. 2【点睛】此题考查了解直角三角形、勾股定理,熟练掌握锐角三角形函数是解题的关键. 4.在 中, ,当已知 和a时,求c,应选择的关系式是( ) A. B. C. D. 【答案】A 【分析】根据三角函数的性质求解即可. 【解析】在 中, , ∴ , ∴ , 故选:A. 【点睛】本题主要考查解三角形,解题的关键是熟练运用三角函数的定义求解. 5.如图,在 中, ,点D为AB边的中点,连接CD,若 , ,则 的值为( ) A. B. C. D. 【答案】D 【分析】根据直角三角形斜边中线等于斜边一半求出AB,再根据三角函数的意义,可求出答案. 【解析】解:∵在△ABC中,∠ACB=90°,点D为AB边的中点, ∴AD=BD=CD= AB, ∴ , 又∵CD=3, ∴AB=6, 3, ∴ = = , 故选:D. 【点睛】本题考查直角三角形的性质和三角函数,理解直角三角形的边角关系是得出正确答案的前提. 题型2:解非直角三角形 6.如图,在 中, , , ,则 的长为( ) A. B. C.4 D.5 【答案】D 【分析】作 于 ,根据 , ,算出 和 ,再根据 ,算出 ,最后根据 计算即可. 【解析】如下图,作 于 , 在 中, , , , , 在 中, , 4, , , 故选:D. 【点睛】本题考查了用锐角三角函数解非直角三角形,作垂直构造直角三角形是解题的关键. 7.如图,以 的顶点O为坐标原点, 所在直线为x轴,建立平面直角坐标系,若 , , , ,则点A的坐标是( ) A.( , ) B.( , ) C.( , ) D.( , ) 【答案】B 【分析】过点A作 轴,垂足为B,根据正弦和余弦的定义,求出 , ,从而得到坐标. 【解析】解:如图,过点A作 轴,垂足为B, ∴ , , ∴ , , ∴点A的坐标是( , ), 故选B. 【点睛】本题考查了坐标与图形,解直角三角形,解题的关键是根据三角函数的定义求出 , 的长. 8.如图,在 中, , , , 平分 交 于点 ,则线段 的 5长为( ) A. B.12 C. D.6 【答案】B 【分析】过点 作 的垂线,垂足分别为 ,在 , 中,求得 的长,进而证 明 是等腰三角形,即可求解. 【解析】解:如图,过点 作 的垂线,垂足分别为 , 在 中, , 在 中, , ∵ 中, , , ∴ , ∵ 是 的角平分线, ∴ , ∴ , ∴ , ∴ . 故选:B. 【点睛】本题考查了解直角三角形,等腰三角形的性质与判定,解决问题的关键是将作辅助线,将斜三角 形划分为直角三角形. 9.如图,在等腰 中, .若 , ,则底边 ( ) 6A. B. C. D. 【答案】C 【分析】首先如图过点A作AD⊥BC交BC于D点,据此接着利用等腰三角形性质可以得出∠BAD= ∠BAC= ,BC=2BD,然后在Rt△ABD中,根据 求出BD,最后利用BC=2BD求出答案即可. 【解析】 如图,过点A作AD⊥BC交BC于D点,则△ABD是直角三角形, ∵△ABC为等腰三角形,AD⊥BC, ∴∠BAD= ∠BAC= ,BC=2BD, 在Rt△ABD中, , ∴ , 7∴ , 故选:C. 【点睛】本题主要考查了解直角三角形的综合运用,熟练掌握相关方法是解题关键. 10.如图,在 中, ,点 为 的中点, 于点 ,连接 .已知 . (1)若 ,求 的长度; (2)若 ,求 . 【答案】(1) (2) 【分析】(1)根据 ,得到 中各边长的比值关系,计算出 的长度,根据中点的性质得到 的长度,最后再用 计算出 即可. (2)过点 作 于点 ,根据 , ,算出 的长度,根据中点的性质得到 的 长度,就可以算出 和 的长度,得到 的长度,勾股定理算出 ,即可得到结论. 【解析】(1) , , , , , ∴ , , 点 为 的中点, 8. 在 中, , , . (2)过点 作 于点 , , , , , 点 为 的中点, , 在 , , , , . 由勾股定理得: , , 【点睛】本题考查了解直角三角形,主要利用锐角三角函数值,勾股定理进行长度计算,理解锐角三角函 数的含义,并能运用到题目中是解题关键. 题型3:构造直角三角形 11.在△ABC中,BC= +1,∠B=45°,∠C=30°,则△ABC的面积为( ) 9A. B. +1 C. D. +1 【答案】C 【分析】过点A作AD⊥BC,垂足为D.在Rt△ABD中和Rt△ACD中,分别用AD表示出BD、CD,根据 BC的长先求出AD,再求三角形的面积. 【解析】如图,过点A作AD⊥BC,垂足为D. 在Rt△ABD中,∠B=45°, ∴BD=AD. 在Rt△ACD中,∠C=30°, ∴CD= AD. ∵BD+CD=BC, ∴AD+ AD=1+ . 即AD=1. ∴S ABC= ×BC×AD △ = (1+ ). 故选:C. 【点睛】本题考查了一般三角形面积计算问题,关键是通过作辅助线转化为直角三角形来解决. 12.如图,在四边形 中, , , , ,则四边形 的面 积为( ) 10A.48 B.50 C.52 D.54 【答案】A 【分析】连接AC,利用勾股定理求出AC,再根据 进行计算即可求出结果. 【解析】解:连接 ,如图所示 , , , 四边形 的面积为48 故选:A. 【点睛】本题主要考查了四边形面积,解直角三角形的应用,勾股定理等知识,解题的关键是学会巧妙添 加辅助线,构造直角三角形解决问题. 13.如图,四边形ABCD的对角线AC、BD相交于O,∠AOD=60°,AC=BD=2,则这个四边形的面积 是( ) 11A. B. C. D. 【答案】C 【分析】过B、D两点分别作AC的垂线,利用∠AOD=60°,可推出DG= DO,BH= BO,再利用四边 形ABCD的面积等于△ACD的面积加上△ABC的面积,即可求出; 【解析】如图,过点D作DG⊥AC于点G,过点B作BH⊥AC于点H, ∵∠AOD=60°, ∴∠AOD=∠BOC=60°, ∴DG= DO, 同理可得:BH= BO, S ABCD= ×AC×DG+ ×AC×BH 四边形 = ×AC× ×(DO+BO) = , 故选:C. 12【点睛】本题考查含30°的直角三角形的性质和四边形面积的计算,熟练掌握含30°直角三角形的性质和不 规则四边形面积的计算是解决本题的关键. 14.如图, , , 底边BC上的高为 , 底边QR上的高为 ,则有 ( ) A. B. C. D.以上都有可能 【答案】B 【分析】由已知可知高所对的斜边都为5,由正弦的定义可得到高关于正弦的表达式,比较正弦值即可得 到答案. 【解析】解:如图,分别作出两三角形的高 ∵ ∴ ∵ ∴ ∵ ∴ 故选:B. 【点睛】本题考查解直角三角形,依题意作高构造直角三角形是解题的关键. 15.如图,在 中, 是斜边 上的高,将得到的两个 和 按图 、图 、图 13三种方式放置,设三个图中阴影部分的面积分别为 , , ,若 ,则 与 之间的关系是( ) A. B. C. D. 【答案】A 【分析】分析题意,过点 作 ,交 于点 ,是在各自图形中找到面积表达式,利用已知的等 量关系,结合所给的图及直角三角形高线性质,找出 与 得关系,即可解决问题. 【解析】解:如图 所示,过点 作 ,交 于点 , = , , , , 由题目中所给的图及直角三角形高线性质可知: 14, , , . 故选:A. 【点睛】本题考查对于三角形面积公式的运用,解题关键是在各自图形中找到面积表达式,利用已知的等 量关系,结合所给的图及直角三角形高线性质,找出 与 得关系. 16.如图,在 中, , , 为 边上的一个动点(不与 、 重合),连接 ,则 的最小值是( ) A. B. C. D.2 【答案】B 【分析】以 为斜边向 外作等腰直角三角形,得 ,当 在同一直线上时, 取得最小值. 在 中,利用正弦函数即可求得答案. 【解析】如图,以 为斜边向 外作等腰直角三角形, ∵ ∴ ∴当 在同一直线上时, 15取得最小值. 在 中, , , , ∴ ∴ . 故选:B 【点睛】本题考查了解直角三角形的应用,构造辅助线得到 是解题的关键. 17.如图,在矩形ABCD中, , ,M是CD上的一点,将 沿直线AM对折得到 ,若AN平分 ,则CN的长为( ) A. B. C. D.3 【答案】C 【分析】过点N作CD的垂线交 于点E,根据对折和平分线可以得到 ,再利 16用三角函数可以求出 , ,最后利用勾股定理可以求出CN的长. 【解析】解:如图,过点N作CD的垂线交 于点E 由折叠可知: , , ∵AN平分 ∴ ∴ ∵ ∴ , ∴ ∴ ∵ , ∴ ∴ , ∴ ∴在 中,由勾股定理可得: 故选:C 【点睛】本题考查了折叠的性质、解直角三角形以及勾股定理,正确作出辅助线是解题关键. 题型4:解直角三角形与网格问题 18.如图,是由小正方形组成的9×6网格,每个小正方形的顶点叫做格点, 的三个顶点都是格点, 仅用无刻度的直尺在网格中画图,画图过程用虚线,画图结果用实线表示. 17(1)如图1,在 上画一点E,使 = ;过点E作 ,垂足为F; (2)如图2, D是网格中的格点,在线段 上找一点 ,使得 平分 ;在 上找点 ,连接 , 使 . 【答案】(1)见解析 (2)见解析 【分析】(1)取格点 , ,连接 交 于点 ,点 即为所求,取格点 , ,连接 交 于 点 ,作直线 即可; (2)取格点 ,连接 ,取 的中点 ,连接 交 于点 ,点 即为所求.取格点 ,连接 , 取格点 ,连接 交 于点 ,连接 交 于点 ,点 即为所求. 【解析】(1)解:如图,点 ,直线 即为所求; (2)解:如图,点 ,点 即为所求. 【点睛】本题考查作图 应用与设计作图,平行线分线段成比例定理,等腰三角形的性质,解直角三角形 等知识,解题的关键是学会利用数形结合的思想解决问题,属于中考常考题型. 19.图①、图②、图③均是 的正方形网格,每个小正方形的边长均为1,每个小正方形的顶点称为格 点,点A、B、C、D的顶点均在格点上,只用无刻度的直尺,在给定的网格中,分别按下列要求画图,保 留适当的作图痕迹. 18(1)在图①中的线段 上找一点E,使 . (2)在图②中的线段 上找一点F,使 . (3)在图③中的线段 上找一点G,使点G到直线 距离之和为4 【答案】(1)见解析 (2)见解析 (3)见解析 【分析】(1)取格点M,N,连接 ,交 于点E,即可; (2)取格点I,J,连接 ,交格线于点H,连接 ,交 于点F,即可; (3)取格点Q,连接 ,交 于点G,即可. 【解析】(1)解:如图,点E即为所求; 理由:根据题意得: , ∴ , ∴ , ∵ , ∴ ; (2)解:如图,点F即为所求; 19理由:根据题意得: , ∴ , , ∴ , ∵ , ∴ , ∴ ,即 ; (3)解:如图,点G即为所求. 过点G作 ,分别交 于点P,Q, 根据题意得: , 设点G到 的距离为h, ∴ , ∴ , 由作法得: , ∴ , , 20∴ , ∴ , ∴ , 即 等于点G到 的距离, 此时 的长等于点G到直线 距离之和. 【点睛】本题主要考查了解直角三角形,相似三角形等有关性质,熟练掌握和应用有关知识的性质是解题 的关键. 题型5:解直角三角形与函数 20.如图,在平面直角坐标系中,菱形 的顶点O在坐标原点, ,顶点C的坐标为 , 的图象与菱形对角线 交于点D,连接 ,当 轴时,k的值是( ) A. B. C. D. 【答案】C 【分析】过点C作 轴于点E,由 ,顶点C的坐标为 ,可求得 的长,进而根据 菱形的性质,可求得 的长,且 ,继而求得 的长,则可求得点D的坐标,又由反比例函数 的图象与菱形对角线 交D点,即可求得答案. 【解析】解:过点C作 轴于点E, 21∵顶点C的坐标为 , ∴ , , ∴ , ∵菱形 中, , ∴ , , ∵ 轴, ∴ , ∴点D的坐标为: , ∵反比例函数 的图象与菱形对角线 交于点D, ∴ . 故选:C. 【点睛】此题考查了菱形的性质,解直角三角形,反比例函数图象上点的坐标特征.注意准确作出辅助线, 求出 是解本题关键. 21.如图,在平面直角坐标系中,直线 与x轴的负半轴交于点A,与y轴的正半轴交于点B,且 . 22(1)求直线 的解析式; (2)点P为x轴正半轴上一点,连接 ,设点P的横坐标为t, 的面积为S,求S与t的函数解析式; (3)在(2)的条件下,点E为线段 上一点,过点E作 轴,垂足为点F,作点P关于直线 的对 称点G,连接 ,点H在线段 上,连接 ,若 , , 的面积为6, 求点H的坐标. 【答案】(1) (2) (3) 【分析】(1)设直线 的解析式为 ,因为 ,所以 , ,把 , 分别代入 ,即可作答; (2)因为点P为x轴正半轴上一点,连接 ,设点P的横坐标为t, 的面积为S,所以 ,即可作答; (3)过点 作 轴,记过点 作 轴交 于点 ,将 沿着x轴翻折,即 ,设 ,得 , ,由 得 ,则 ,结合 ,得 , ,因为 , ,所以 , ,得 ,设 ,则 , ,在 , ,再结合勾股 23定理得: ,解得 ,即可作答. 【解析】(1)解:设直线 的解析式为 , ∵ ,且直线 与x轴的负半轴交于点A,与y轴的正半轴交于点B, ∴ , , ∴ , 分别代入 , 得 解得 ∴直线 的解析式为 (2)解:因为点P为x轴正半轴上一点,连接 ,设点P的横坐标为t, 的面积为S,且 ∴ 所以 ; (3)解:过点 作 轴,记过点 作 轴交 于点 ,再将 沿着x轴翻折,形成 ,如图所示: 24设 则 因为作点P关于直线 的对称点G,且 则 ∴ , ∵将 沿着x轴翻折,形成 , ∴ ∴ , ∴ , ∵ , , ∴ , 故 , , ∵ , , ∴ , 那么在 中, , 则 , ∴ , 设 , 则 , 在 中, , 则 , 在 中, ,勾股定理得: , 解得 (因为 ,故舍去), 25把 代入 中, 得 所以 【点睛】本题考查了一次函数的解析式,对称图形的性质,全等三角形的性质,等角对等边,翻折的性质, 锐角三角函数,勾股定理等知识内容,综合性较强,难度较大,正确掌握相关性质内容是解题的关键. 题型综合专训 一、单选题 1.在 中, , , ,则 的长为( ) A. B.3 C. D.12 【答案】A 【分析】根据 的正切计算 的长. 【解析】解: 中, , , , . 故选:A. 【点睛】本题考查了解直角三角形:在直角三角形中,由已知元素求未知元素的过程就是解直角三角形. 2.在 中, , , ,则 等于( ) A.25 B.12 C.9 D.16 【答案】B 【分析】根据正弦的定义求得 ,进而勾股定理即可求解. 【解析】解:∵在 中, , , , ∴ ∴ , 26∴ , 故选:B. 【点睛】本题考查了解直角三角形,熟练掌握锐角三角函数的定义是解题的关键. 3.如图, 是 的高,若 , ,则 ( ) A. B. C. D. 【答案】B 【分析】根据 可得 ,根据 求出 的长度,再根据 ,即 可求解. 【解析】解:∵ , ∴ , ∵ , ∴ ,则 , ∵ , , ∴ , ∴ ; 故选:B. 【点睛】本题主要考查了解直角三角形,解题的关键是熟练掌握解直角三角形的方法和步骤. 4.如图,菱形 中,对角线 , , .下列结论正确的是( ) 27A. B. C. D. 【答案】D 【分析】由菱形的性质得出 , , ,由勾股定理求出 ,根据锐角 三角函数的定义可得出答案. 【解析】解:如图, 与 交于点 , 四边形 是菱形, , , , , , , , , , 故选:D. 【点睛】本题考查了菱形的性质,锐角三角函数,勾股定理等知识,掌握菱形的性质是本题的关键. 5.如图,在等腰 中, 于点 ,则 的值( ) A. B. C. D. 28【答案】D 【分析】先由 ,易得 ,由 可得 ,进而用勾股定理分别将BD、BC长 用AB表示出来,再根据 即可求解. 【解析】解:∵ , , ∴ , ∴ , 又∵ , ∴ , 在 中, , ∴ , 故选:D 【点睛】本题主要考查了解三角形,涉及了等腰三角形性质和勾股定理以及三角函数的定义.此题难度适 中,注意掌握辅助线的作法,注意数形结合思想的应用. 6.已知△AOC,如图,建立平面直角坐标系,则点A的坐标是( ) A.(acosα,asinα) B.(ccosα,csinα) C.(asinα,acosα) D.(csinα,ccosα) 29【答案】B 【分析】过A作AD⊥x轴,交x轴于点D,在直角三角形AOD中,利用锐角三角函数定义求出AD与OD, 表示出A的坐标即可. 【解析】 解:过A作AD⊥x轴,交x轴于点D, 在Rt△AOD中,OA=c,∠AOD=α, ∴AD=csinα,OD=ccosα, 则A的坐标为(ccosα,csinα), 故选B. 【点睛】此题考查了解直角三角形,以及坐标与图形性质,熟练掌握锐角三角函数定义是解本题的关键. 7.如图,在 中, 于D,如果 ,E为 的中点,那么 的值为( ) A. B. C. D. 【答案】C 【分析】由 , 求出 长度,再由勾股定理求出 ,再由勾股定理求出 ,由直角三 角形斜边上的中线等于斜边一半可得 ,即 . 【解析】解:在 中, , , 30∴ , 由勾股定理得 , 在 中,由勾股定理得 , ∵E为 中点, ∴ , ∴ , ∴ . 故选C. 【点睛】本题考查解直角三角形,解题关键是熟练掌握解直角三角形的方法,掌握直角三角形斜边上的中 线长度等于斜边的一半. 8.如图,在边长相同的小正方形网格中,点A、B、C、D都在这些小正方形的顶点上,AB与CD相交于 点P,则∠APD的余弦值为( ) A. B. C. D. 【答案】C 【分析】取格点E,连接AE、BE,利用勾股定理的逆定理可证得△ABE是直角三角形,利用三角形外角 的性质可得∠APD=∠ABE,在Rt△ABE中可求cos∠ABE,从而结论可得. 【解析】解:取格点E,连接AE、BE,如图: 设网格中的小正方形的边长为1, 31则BE= , AE= , AB= . ∵BE2+AE2=2+8=10, AB2=10, ∴BE2+AE2=AB2. ∴∠AEB=90°. 由题意:∠EBD=∠CDB=45°. ∵∠APD=∠CDB+∠PBD=45°+∠PBD, ∠ABE=∠DBE+∠PBD=45°+∠PBD, ∴∠APD=∠ABE. 在Rt△ABE中,cos∠ABE= . ∴cos∠APD= . 故选:C. 【点睛】本题主要考查了解直角三角形,本题是网格问题,巧妙的构造直角三角形是解题的关键. 9.如图,四边形ABCD的对角线AC、BD相交于O,∠AOD=60°,AC=BD=2,则这个四边形的面积是 ( ) A. B. C. D. 【答案】C 32【分析】过B、D两点分别作AC的垂线,利用∠AOD=60°,可推出DG= DO,BH= BO,再利用四边 形ABCD的面积等于△ACD的面积加上△ABC的面积,即可求出; 【解析】如图,过点D作DG⊥AC于点G,过点B作BH⊥AC于点H, ∵∠AOD=60°, ∴∠AOD=∠BOC=60°, ∴DG= DO, 同理可得:BH= BO, S ABCD= ×AC×DG+ ×AC×BH 四边形 = ×AC× ×(DO+BO) = , 故选:C. 【点睛】本题考查含30°的直角三角形的性质和四边形面积的计算,熟练掌握含30°直角三角形的性质和不 规则四边形面积的计算是解决本题的关键. 10.如图,在 中, , , ,点 为 上任意一点,连结 , 以 , 为邻边作平行四边形 ,连结 ,则 的最小值为( ) 33A. B. C. D. 【答案】A 【分析】设PQ与AC交于点O,作 ⊥ 于 ,首先求出 ,当P与 重合时,PQ的值最小,PQ 的最小值=2 . 【解析】设 与AC交于点O,作 ⊥ 于 ,如图所示: 在Rt△ABC中,∠BAC=90 ,∠ACB=45 , ∴ , ∵四边形PAQC是平行四边形, ∴ , ∵ ⊥ ,∠ACB=45 , ∴ , 当 与 重合时,OP的值最小,则PQ的值最小, ∴PQ的最小值 故选:A. 【点睛】本题考查了勾股定理的运用、平行四边形的性质以及垂线段最短的性质,利用垂线段最短求线段 的最小值是解题的关键. 34二、填空题 11.在 中, ,已知 和b,那么 . 【答案】 【分析】根据正弦的定义得到 ,即可得到用 和 表示 . 【解析】解: , , . 故答案为: . 【点睛】本题考查了正弦的定义:在直角三角形中,一锐角的正弦等于它的对边与斜边的比值. 12.在 中, , 、 、 为 、 、 的对边. (1)若 , ,则 , ; (2)若 , ,则 , ; (3)若 , ,则 , , ; (4)若 ,则 , , . 【答案】 【分析】(1)利用∠A=45°,即可得出∠B的度数,进而利用锐角三角函数关系得出c的值; (2)利用∠B=30°,即可得出b,c的关系,进而利用a=10cos30°求出即可; (3)首先利用勾股定理得出b的值,进而利用锐角三角函数关系得出即可; 35(4)利用 ,得出c=2b,进而利用锐角三角函数关系得出即可. 【解析】解:(1)∵∠C=90°,∠A=45°, ∴∠B=45°, sin45°= , ∴c= =5 (cm); (2)∵c=10 cm,∠B=30°, ∴b=5cm, a=10cos30°= =5 (cm); (3)∵a=4cm,c=8cm, ∴b=4 cm, 则cosA= = , tanA= = ; tanB= = ; (4)∵ , ∴c=2b, 则sinB= = , tanA= = , tanB= = . 36故答案为:(1)45°,5 cm;(2)5 cm,5cm;(3) , , ;(4) , , . 【点睛】本题考查解直角三角形,熟练利用锐角三角函数关系求解是解题的关键. 13.在 ABC中, , , ,那么 的长为 . 【答案】6 【分析】根据解三角形可直接进行求解. 【解析】解:∵在 ABC中, , , , ∴ ; 故答案为6. 【点睛】本题主要考查解直角三角形,熟练掌握三角函数是解题的关键. 14.如图所示,四边形ABCD中,∠B=90°,AB=2,CD=8,AC⊥CD,若sin∠ACB= ,则cos∠ADC= . 【答案】 【分析】首先在 ABC中,根据三角函数值计算出AC的长,再利用勾股定理计算出AD的长,然后根据余 弦定义可算出co△s∠ADC. 【解析】解:∵∠B=90°,sin∠ACB= , ∴ = , ∵AB=2, ∴AC=6, ∵AC⊥CD, ∴∠ACD=90°, 37∴AD= = =10, ∴cos∠ADC= = . 故答案为: . 【点睛】本题考查了解直角三角形,以及勾股定理的应用,关键是利用三角函数值计算出AC的长,再利 用勾股定理计算出AD的长. 15.如图, ,点P在OA上, PC=PD,若CO=5cm,OD=8cm ,则 OP的长是 . 【答案】13cm 【分析】过点P作PE⊥OB,利用等腰三角形三线合一的性质求得CE的长,从而就得OE,然后解直角三角 形求解即可. 【解析】解:过点P作PE⊥OB ∵CO=5cm,OD=8cm , ∴CD=OD-CO=3 又∵PC=PD,PE⊥OB ∴CE= ∴OE=OC+CE= ∴在Rt△POE中, 故答案为:13cm. 38【点睛】本题考查等腰三角形的性质及解直角三角形,掌握相关性质正确推理计算是解题关键. 16.如图,在 中, , , ,则 的长为 . 【答案】 【分析】过点 作 于点 ,解 ,得出 ,进而解 ,即可求解. 【解析】解:如图,过点 作 于点 , ∵ , ∴ , ∵ , ∴ , 39故答案为: . 【点睛】本题考查了解直角三角形,掌握三角形的边角关系是解题的关键. 17.如果一个四边形的某个顶点到其他三个顶点的距离相等,我们把这个四边形叫做等距四边形,这个顶 点叫做这个四边形的等距点.如图,已知梯形ABCD是等距四边形,AB∥CD,点B是等距点.若BC=10, cosA= ,则CD的长等于 . 【答案】16 【分析】如图作BM⊥AD于M,DE⊥AB于E,BF⊥CD于F.易知四边形BEDF是矩形,理由面积法求出DE, 再利用等腰三角形的性质,求出DF即可解决问题. 【解析】连接BD,过点B分别作BM⊥AD于点M,BN⊥DC于点N, ∵梯形ABCD是等距四边形,点B是等距点, ∴AB=BD=BC=10, ∵ = , ∴AM= ,∴BM= =3 , ∵BM⊥AD,∴AD=2AM=2 , ∵AB//CD, ∴S = , ABD △ ∴BN=6, 40∵BN⊥DC,∴DN= =8, ∴CD=2DN=16, 故答案为16. 18.如图,在 中, ,点 在 边上,点 在射线 上,将 沿 翻折,使得点 落在点 处,当 且 时, 的长为 . 【答案】 / 【分析】求出 ,勾股定理求出 ,根据题意,易得: , ,进而求出 的长,过 作 ,过点 作 ,过点 作 ,交 于点 ,延长 交 于点 ,易得四边形 ,四边形 均为矩形,分别 求出 ,得到 ,设 ,则: ,分别用含 的式子,表示出 ,利用勾股定理求出 的值,进而得解. 【解析】解:在 中, , ∴ ; , ∵将 沿 翻折,使得点 落在点 处,当 且 , ∴ , , ∴ , ∴ , 41∴ , ∴ , ∴ , 过 作 ,过点 作 ,过点 作 ,交 于点 ,延长 交 于点 , ∵ , ∴ , ∴四边形 ,四边形 均为矩形, ∴ , , ∴ , ∴ , 设 ,则: , ∴ , , , 连接 ,则: , 在 中, ,即: , 解得: , 42∴ ; 故答案为: . 【点睛】本题考查折叠的性质,矩形的判定和性质,解直角三角形.本题难度大,综合性强,根据题意, 准确的作图,构造特殊图形,是解题的关键. 三、解答题 19.如图,在 中,已知 , , ,解这个直角三角形. 【答案】 , , 【分析】根据勾股定理求出b,并求出 ,再由特殊角的三角函数值即可求解三角形. 【解析】 解:在 中, ∵ , , , ∴ ∵ ∴ ∴ 【点睛】本题侧重考查了解直角三角形,掌握三角函数的定义及特殊角的三角函数值是解题的关键. 20.如图,在Rt△ABC中,∠C=90°,BC=5,AC=12,求∠A的正弦值、余弦值和正切值. 43【答案】sinA= ,cosA= ,tanA= . 【分析】根据勾股定理求出AB,根据锐角三角函数的定义解答即可. 【解析】由勾股定理得, , 则 , , . 【点睛】本题考查解直角三角形,解题的关键是利用勾股定理求出AB的长. 21.如图,△ABC中,AB=AC=13,BD⊥AC于点D,sinA= (1)求BD的长; (2)求tanC的值. 【答案】(1)12;(2) 【分析】(1)根据三角函数得出BD=12即可; (2)利用勾股定理得出AD=5,进而得出DC=8,利用三角函数解答即可. 【解析】解:(1)∵△ABC中,AB=AC=13,BD⊥AC于点D,sinA= ∴ 即 解得:BD=12; (2)∵AC=AB=13,BD=12,BD⊥AC, 44∴AD=5, ∴DC=8, ∴tan∠C= 【点睛】此题考查解直角三角形问题,关键是根据三角函数得出BD的值. 22.如图,在 ABC中, 是 上的点, , , 分别是 , 的中点, , , 求 , 的长. 【答案】 【分析】连接 ,根据题意及等腰三角形的性质可得 ,再根据直角三角形斜边上的中线等于斜 边的一半可得 ,在 中, ,可得 ,从而 , 即可求解. 【解析】解:连接 ,如图, , 是 的中点, , 是 的中点, , 又 , , 45在 中, , 即 , 解得 , . 【点睛】本题主要考查解直角三角形,勾股定理和直角三角形斜边上的中线等,掌握勾股定理和直角三角 形斜边上的中线等性质是解题的关键. 23.如图,在 中, , 为边 上的中线, 于点E. (1)求证: ; (2)若 , ,求 的值. 【答案】(1)见解析 (2) 【分析】(1)根据 , 为边 上的中线,得到 ,结合 得到 ,即可得到证明; (2)根据 , 为边 上的中线,得到 , ,利用勾股定理求出 , 结合三角形相似得到 ,最后利用正切的定义求解即可得到答案; 【解析】(1)证明:∵ , 为边 上的中线, ∴ , 又∵ , ∴ . 又 , ∴ ; (2)解:∵ , 为边 上的中线, 46∴ , , 在 中, , ∵ , ∴ , ∴ ; 【点睛】本题主要考查等腰三角形的性质,三角形相似的性质与判定,勾股定理,解直角三角形,解题的 关键是根据等腰三角形底边上的三线合一得到相似的条件. 24.如图,已知在 中,点D是 边上一点,且 ,点E是 边上一点,且 . (1)求证: ; (2)若 , , ,求 的值. 【答案】(1)证明见详解 (2) 【分析】本题考查了相似三角形的判定和性质,等腰三角形的性质,三角函数等知识. (1)证明 即可; (2)过点 作 于点 ,再根据等腰三角形的性质,三角函数即可求解. 添加适当的辅助线是本题的关键. 【解析】(1)证明: , , , , ; 47(2)解:过点 作 于点 , , , , 则 , , 在 中, , 解得: , , . 25.如图,一次函数 的图像与反比例函数 的图像交于A,B两点,与x轴交于点C,与y轴 交于点D,已知 . (1)求k的值. (2)连接 ,求 的面积. 48【答案】(1) (2) 【分析】(1)过点A作 轴于点E,设 ,根据三角函数的定义得到 ,再将 代入一次函数解析式得到具体坐标,代入反比例函数解析式中求出k值即可; (2)联立两函数解析式,求出点B坐标,再利用一次函数求出点C坐标,利用三角形面积公式分两部分 计算即可. 【解析】(1)解:如图,过点A作 轴于点E. 设 ,在 中, , ∴ , ∴点A的坐标为 ,代入一次函数 中, 得 ,解得 . ∴ . ∵ 在反比例函数 的图像上, ∴ . (2)过点B作 轴于点F, 联立方程组 , 49解得: , , ∴点B的坐标为 , ∴ . 在 中,当 时, , 故点 坐标为 , ∴ . . 【点睛】本题考查了反比例函数与一次函数的交点问题,解题的关键是掌握根据函数解析式列出方程组, 求出交点的坐标. 26.对于平面直角坐标系 中的点P和矩形M.给出如下定义:若矩形 M各边分别与坐标轴平行,且 在矩形M上存在一点Q,使得P、Q两点间距离小于1,则称P为矩形M的“近距点”. (1)如图,若矩形 对角线交点与坐标原点O重合,且顶点 . ①在点 中,矩形 的“近距点”是______; 50②点P在直线 上,若P为矩形 的“近距点”,求点P横坐标m的取值范围; (2)将(1)中的矩形 沿着x轴平移得到矩形 ,矩形 对角线交点为 ,直线 与x轴、y轴分别交于点E、F.若线段 上的所有点都是矩形 的“近距点”,真 接写出n的取值范围. 【答案】(1)① ;② 或 (2) 【分析】(1)①分别计算各点与矩形各边的最小距离,从而根据定义得出结果;②在 上取点P,点P 在矩形的内部时,作 于Q,计算当 时, 的长,从而求得临界时点P的横坐标,当点P 在矩形的外部时, 时,此时点P的横坐标,从而得出m的范围,根据对称性求得点P在第三象限时 m的范围; (2)先求得 ,当 时, 轴,设 交x轴于点R,此时 , ,可求得 ;当C'在y轴上时,当 在y轴上时,设 交x轴于点V,同理 ,进 一步得出结果. 【解析】(1)解:∵矩形 对角线交点与坐标原点O重合,且顶点 , ∴ , ①∵在矩形M上存在一点Q,使得P、Q两点间距离小于1, ∴即在M上至少找到一点到P的距离小于1. 当 时,P到M上最小距离为 ,成立, ∴ 为近距点. 当 时,最小距离为 ,不成立, 51∴ 不是近距点. 当 时,最小距离为 ,不成立, ∴ 不是近距点. 故答案为: P1 . ②如图1,在 上取点P,作 于点Q, 当 时, ∵点P在直线 上, ∴ , ∴ , ∴ , 当 时, , ∴ , ∴ , ∴ 或 ; 52(2)解:如图2, ∵直线 与x轴、y轴分别交于点E、F. ∴点 , ∴ , 由(1)得: , ∴ , ∴ , 当 时, 轴,设 交x轴于点R,此时 , , ∴ , ∴ , ∴点 , 当 在y轴上时,设 交x轴于点V, 同理 , ∴ , 综上所述, . 【点睛】本题主要考查了一次函数的应用,解直角三角形等知识,解题的关键是理解题意,直观观察和数 形结合. 27. 是菱形 边 上一点, 是等腰三角形, , ( ), 53, 交边 于点 , ,连接 . (1)如图 ,当 时, ①求 的度数; ②若 , ,请直接写出 的长; (2)如图 ,当 时,若 , ,求 的面积. 【答案】(1) ; ; (2) . 【分析】( ) 如图,过点 作 于 点,证明 ,得 , 即可; 延长 至 ,使 ,连接 , ,证明 ,设 ,则 , ,在 中,根据勾股定理,得 ,再代入计算即可; ( )如图,连接 ,先证明 ,得 ,过点 作 于点 , 交边 于点 ,过 点作 于点 ,由 ,根据三角形相似对应边成比例 即可求得. 【解析】(1)) 如图,过点 作 于点 ,则 , ∵ , ∴菱形 是正方形, 54∴ , , ∴ , ∵ , ∴ , ∴ , ∵ , ∴ , ∴ , , ∴ , ∴ , ∴ , ∴ , ∴ ; 由①中结论: 是等腰直角三角形,则 , ∴ , 如图所示,延长 至 ,使 ,连接 , , ∵菱形 是正方形, ∴ , , ∴ , ∴ , , ∵ 是等腰三角形, , , ∴ , ∴ , 55∴ , ∵ , ∴ , ∴ , ∴ , 设 ,则 , , 在 中 , ∴ ,解得 ,即 , ∵ , ∴ , , ∴ , ∵ , ∴ , ∴ , ∴ , ∴ , 故 的长为 ; (2)如图,连接 , ∵四边形 是菱形, ∴ , , , , , ∴ , ∵ , ∴ , 56∴ , ∴ , ∵ , , ∴ , ∴ , ∴ , ∵ , , ∴ , ∵ , ∴ , ∴ , ∴ , ∵ , ∴ , ∴ , ∴ , 如图,过点 作 于点 ,过点 作 于点 , 交边 于点 ,过点 作 于点 ,则 , ∴四边形 是矩形,∴ , , , ∵ , , ∴ , ∴ , ∴ , ∵ , ∵ , 57∴ , ∴ , ∵ , , ∴ , ∵ ∴ , ∴ , , ∴ , ∵ , , ∴ , ∵ , ∴ , ∴ , , ∴ , ∵ , , ∴ , ∵ , ∴ , , ∴ , ∴ , ∴ ,解得 , 同理可得 , ∴ ,解得 , ∴ , 58∴ 的面积 . 【点睛】此题考查了菱形的性质,正方形的性质,全等三角形的判定与性质,相似三角形的判定与性质, 勾股定理等知识,综合运用以上知识点,作出正确的辅助线是解题的关键. 59