当前位置:首页>文档>专题04直角三角形的边角关系(重点)(解析版)_北师大初中数学_9下-北师大版初中数学_05习题试卷_4专题练习_第2套

专题04直角三角形的边角关系(重点)(解析版)_北师大初中数学_9下-北师大版初中数学_05习题试卷_4专题练习_第2套

  • 2026-04-12 20:17:39 2026-04-12 19:36:22

文档预览

专题04直角三角形的边角关系(重点)(解析版)_北师大初中数学_9下-北师大版初中数学_05习题试卷_4专题练习_第2套
专题04直角三角形的边角关系(重点)(解析版)_北师大初中数学_9下-北师大版初中数学_05习题试卷_4专题练习_第2套
专题04直角三角形的边角关系(重点)(解析版)_北师大初中数学_9下-北师大版初中数学_05习题试卷_4专题练习_第2套
专题04直角三角形的边角关系(重点)(解析版)_北师大初中数学_9下-北师大版初中数学_05习题试卷_4专题练习_第2套
专题04直角三角形的边角关系(重点)(解析版)_北师大初中数学_9下-北师大版初中数学_05习题试卷_4专题练习_第2套
专题04直角三角形的边角关系(重点)(解析版)_北师大初中数学_9下-北师大版初中数学_05习题试卷_4专题练习_第2套
专题04直角三角形的边角关系(重点)(解析版)_北师大初中数学_9下-北师大版初中数学_05习题试卷_4专题练习_第2套
专题04直角三角形的边角关系(重点)(解析版)_北师大初中数学_9下-北师大版初中数学_05习题试卷_4专题练习_第2套
专题04直角三角形的边角关系(重点)(解析版)_北师大初中数学_9下-北师大版初中数学_05习题试卷_4专题练习_第2套
专题04直角三角形的边角关系(重点)(解析版)_北师大初中数学_9下-北师大版初中数学_05习题试卷_4专题练习_第2套
专题04直角三角形的边角关系(重点)(解析版)_北师大初中数学_9下-北师大版初中数学_05习题试卷_4专题练习_第2套
专题04直角三角形的边角关系(重点)(解析版)_北师大初中数学_9下-北师大版初中数学_05习题试卷_4专题练习_第2套
专题04直角三角形的边角关系(重点)(解析版)_北师大初中数学_9下-北师大版初中数学_05习题试卷_4专题练习_第2套
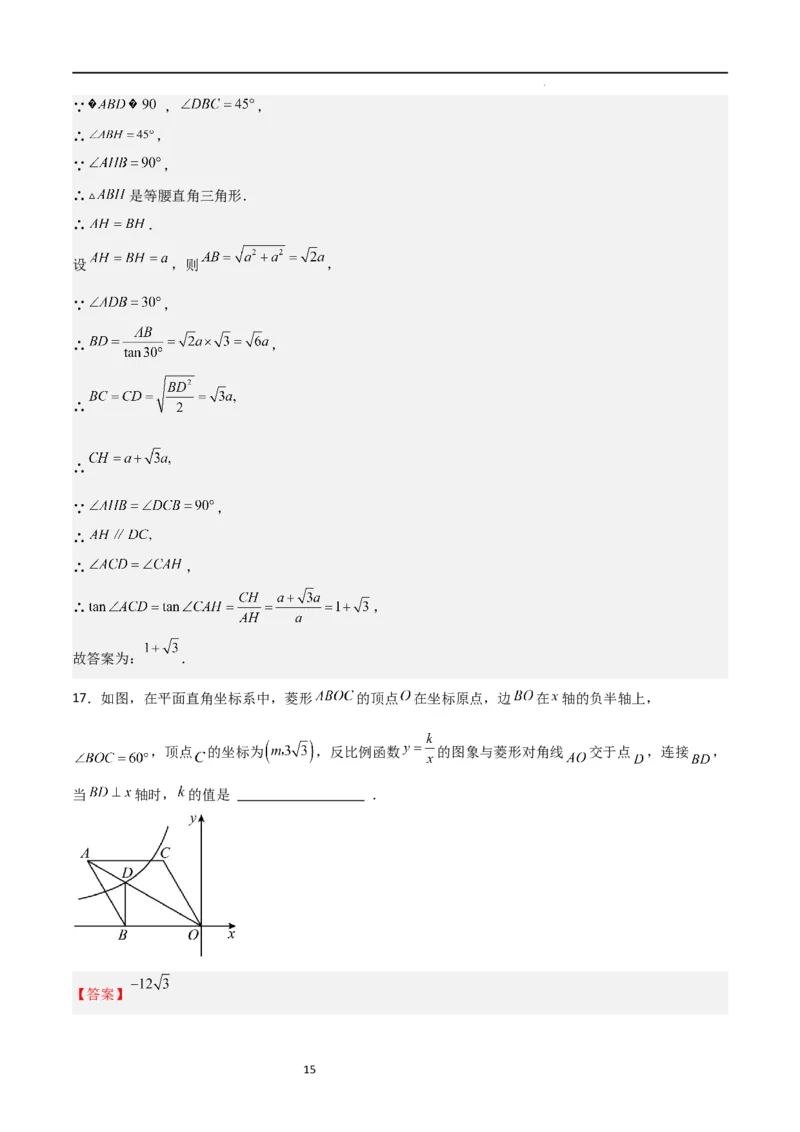
专题04直角三角形的边角关系(重点)(解析版)_北师大初中数学_9下-北师大版初中数学_05习题试卷_4专题练习_第2套
专题04直角三角形的边角关系(重点)(解析版)_北师大初中数学_9下-北师大版初中数学_05习题试卷_4专题练习_第2套
专题04直角三角形的边角关系(重点)(解析版)_北师大初中数学_9下-北师大版初中数学_05习题试卷_4专题练习_第2套
专题04直角三角形的边角关系(重点)(解析版)_北师大初中数学_9下-北师大版初中数学_05习题试卷_4专题练习_第2套
专题04直角三角形的边角关系(重点)(解析版)_北师大初中数学_9下-北师大版初中数学_05习题试卷_4专题练习_第2套
专题04直角三角形的边角关系(重点)(解析版)_北师大初中数学_9下-北师大版初中数学_05习题试卷_4专题练习_第2套
专题04直角三角形的边角关系(重点)(解析版)_北师大初中数学_9下-北师大版初中数学_05习题试卷_4专题练习_第2套
专题04直角三角形的边角关系(重点)(解析版)_北师大初中数学_9下-北师大版初中数学_05习题试卷_4专题练习_第2套
专题04直角三角形的边角关系(重点)(解析版)_北师大初中数学_9下-北师大版初中数学_05习题试卷_4专题练习_第2套
专题04直角三角形的边角关系(重点)(解析版)_北师大初中数学_9下-北师大版初中数学_05习题试卷_4专题练习_第2套
专题04直角三角形的边角关系(重点)(解析版)_北师大初中数学_9下-北师大版初中数学_05习题试卷_4专题练习_第2套
专题04直角三角形的边角关系(重点)(解析版)_北师大初中数学_9下-北师大版初中数学_05习题试卷_4专题练习_第2套
专题04直角三角形的边角关系(重点)(解析版)_北师大初中数学_9下-北师大版初中数学_05习题试卷_4专题练习_第2套
专题04直角三角形的边角关系(重点)(解析版)_北师大初中数学_9下-北师大版初中数学_05习题试卷_4专题练习_第2套
专题04直角三角形的边角关系(重点)(解析版)_北师大初中数学_9下-北师大版初中数学_05习题试卷_4专题练习_第2套
专题04直角三角形的边角关系(重点)(解析版)_北师大初中数学_9下-北师大版初中数学_05习题试卷_4专题练习_第2套
专题04直角三角形的边角关系(重点)(解析版)_北师大初中数学_9下-北师大版初中数学_05习题试卷_4专题练习_第2套
专题04直角三角形的边角关系(重点)(解析版)_北师大初中数学_9下-北师大版初中数学_05习题试卷_4专题练习_第2套
专题04直角三角形的边角关系(重点)(解析版)_北师大初中数学_9下-北师大版初中数学_05习题试卷_4专题练习_第2套
专题04直角三角形的边角关系(重点)(解析版)_北师大初中数学_9下-北师大版初中数学_05习题试卷_4专题练习_第2套
专题04直角三角形的边角关系(重点)(解析版)_北师大初中数学_9下-北师大版初中数学_05习题试卷_4专题练习_第2套
专题04直角三角形的边角关系(重点)(解析版)_北师大初中数学_9下-北师大版初中数学_05习题试卷_4专题练习_第2套
专题04直角三角形的边角关系(重点)(解析版)_北师大初中数学_9下-北师大版初中数学_05习题试卷_4专题练习_第2套
专题04直角三角形的边角关系(重点)(解析版)_北师大初中数学_9下-北师大版初中数学_05习题试卷_4专题练习_第2套
专题04直角三角形的边角关系(重点)(解析版)_北师大初中数学_9下-北师大版初中数学_05习题试卷_4专题练习_第2套

文档信息

文档格式
docx
文档大小
1.809 MB
文档页数
34 页
上传时间
2026-04-12 19:36:22

文档内容

专题04 直角三角形的边角关系(重点) 一、单选题 1.在 中, ,若 的三边都扩大5倍,则 的值( ) A.放大5倍 B.缩小5倍 C.不能确定 D.不变 【答案】D 【分析】直接利用锐角的正弦的定义——“锐角A的对边a与斜边c的比叫做 的正弦,记作 ”求 解. 【解析】解:∵ , ∴ 的对边与斜边的比, ∵ 的三边都扩大5倍, ∴ 的对边与斜边的比不变, ∴ 的值不变. 故选:D. 2.若 ,则锐角A的度数是( ) A. B. C. D. 【答案】A 【分析】因为 ,A为锐角,由特殊角的三角函数值即可解答. 【解析】解: ,A为锐角, 由特殊角的三角函数值知: , 故选:A. 【点睛】本题主要考查了特殊角的三角函数值,熟记特殊角的三角函数值是解答关键. 3.如图,在 中, 是斜边 上的高, ,则下列比值中等于 的是( ) 1A. B. C. D. 【答案】C 【分析】根据 ,分别写出 、 、 中,关于 的比值. 【解析】 , 在 中, , 在 中, , , , , 在 中, . 故选:C 【点睛】本题考查了锐角三角函数,熟练掌握三角函数的比值是解题的关键. 4.如图,一辆小车沿着坡度为 的斜坡向上行驶了50米,则此时该小车上升的高度为( ) A.25米 B. 米 C. 米 D.50米 【答案】A 【分析】利用坡度为 可求出 ,即可得到 米,得到答案. 【解析】解:如图, , 米, 2∵ , ∴ , ∴ (米), 即此时该小车上升的高度为25米. 故选:A 【点睛】此题考查了坡度坡比问题,熟练掌握坡度的定义是解题的关键. 5.下列不等式,成立的是( ) A. B. C. D. 【答案】D 【分析】根据特殊角三角函数值比较即可. 【解析】解:特殊角的三角函数值如下表所示: 角度 三角函数 名 由表格可知: 选项A错误,正确应为: ; 3选项B错误,正确应为: ; 选项C错误,正确应为: ; 选项D正确, 故选D. 【点睛】本题考查特殊角三角函数值和比较它们的大小,掌握特殊角的三角函数值是解题的关键.也可以 利用结论来判断,判断依据:一个锐角的正弦值和正切值随着角度的增大而增大,一个锐角的余弦值和余 切值随着角度的增大而减小. 6.如图,在8×4的矩形网格中,每格小正方形的边长都是1,若 的三个顶点在图中相应的格点上, 则 的值为( ) A.1 B. C. D. 【答案】B 【分析】在直角 中利用正切函数的定义即可求解. 【解析】解:过A作 于D, 在直角 中, , , 则 . 故选:B. 【点睛】本题考查了正切函数的定义,掌握三角函数就是直角三角形中边的比是关键. 7.如图,在等腰 中, , , ,则 的值为( ) 4A. B. C. D. 【答案】A 【分析】过点A作 于点D,根据三角形的面积公式求出 ,根据等腰三角形三线合一, 求出 ,最后根据正切的定义即可求解. 【解析】解:过点A作 于点D, ∵ , , , ∴ , ∴ , ∵ , , , ∴ , ∴ , 故选:A. 5【点睛】本题主要考查了等腰三角形的性质,求角的正切值,解题的关键是掌握等腰三角形“三线合一”, 正确作出辅助线,构造直角三角形求解. 8.如图,已知一次函数 的图象与x轴交于点 ,且经过点 ,O为坐标原点,则 ( ) A. B. C. D. 【答案】C 【分析】过点B作 轴于点C,根据点 ,得出 , ,求出 ,根据勾 股定理求出 ,根据三角函数定义求出结果即可. 【解析】解:过点B作 轴于点C,如图所示: 则 , ∵点 , ∴ , , ∵ , ∴ , ∴ , 6∴ , ∴ ,故C正确. 故选:C. 【点睛】本题主要考查了勾股定理,坐标与图形,求三角函数值,解题的关键是熟练掌握三角函数定义. 9.如图,在 中, , 于 , 平分 交 于 , , . 则 的值为( ) A.4 B.5 C.8 D.10 【答案】B 【分析】根据正弦的定义得出 ,设 ,则 ,勾股定理求得 , , ,过点 作 ,交 的延长线于点 ,证明 ,根据相似三角形的性质即可 求解. 【解析】 于 , , 设 ,则 , 在 中,由勾股定理可得: , , 在 中, , ,解得 (不合题意,舍去), , , , 过点 作 ,交 的延长线于点 , 7平分 , ∴ ∵ , ∴ ∴ ∴ ∵ ∴ ∴ . 故选:B. 【点睛】本题考查了相似三角形的性质与判定,勾股定理,正弦的定义,熟练掌握是解题的关键. 10.如图,在 中, , , ,点 是斜边 上的动点,将线段 绕点 旋转 至 ,连接 , ,则 的最小值是( ) A. B. C. D. 【答案】B 8【分析】过点 作 于点 ,过点 作 于点 ,先确定出当点 , , 三点共线时, 最小,再根据等边三角形的判定与性质、勾股定理可得 ,根据线段垂直平分线的性质可得 ,然后解直角三角形可得 ,从而可得 ,利用勾股定理可得 , 则 ,最后根据三角形的面积公式可得 ,由此即可得出答案. 【解析】解:如图,过点 作 于点 ,过点 作 于点 , 则当点 , , 三点共线时, 最小, 由旋转的性质得: , , 是等边三角形, 点 是 的中点, , , 又 ,点 是 的中点, , , , , , , , 9在 中, , , , , , 即 的最小值为 , 故选:B. 【点睛】本题考查了解直角三角形、等边三角形的判定与性质、勾股定理等知识点,正确找出当 的值 最小时,点 的位置是解题关键. 二、填空题 11.计算 的值为 . 【答案】1 【分析】直接把各特殊角的三角函数值代入进行计算即可. 【解析】 , 故答案为:1. 【点睛】本题考查了特殊角的三角函数值,熟记各特殊角的三角函数值是解答此题的关键. 12.锐角 中, ,则 的形状是 . 【答案】等边三角形 【分析】根据特殊角的三角函数判断 和 的大小,再断三角形的形状即可. 【解析】解:∵ , 10∴ , , 又∵ , , ∴ , , ∴ , ∴ , ∴ 的形状是等边三角形, 故答案为:等边三角形. 【点睛】本题考查了特殊角的三角函数值和等边三角形的判定,根据已知角的三角函数值判断出角的大小 是解答本题的关键. 13.如图,在 ABC中,点D是BC的中点,DA⊥AC,tan∠BAD= ,AB= ,则BC的长度为 . △ 【答案】 【分析】作DE∥AC交AB于E,如图,根据平行线的性质得∠ADE=90 ,由点D是BC的中点得到DE为 △ABC的中位线,则DE= AC,AE=BE= AB=2 ,在Rt△ADE中,根据正切的定义得tan∠EAD= = ,设DE=x,则AD=2x,根据勾股定理得(2x)2+x2=(2 )2,解得x=2,则DE=2,AD=4,所 以AC=4,然后根据勾股定理计算出CD= ,再利用BC=2CD计算即可. 【解析】作DE∥AC交AB于E,如图, ∵DA⊥AC, ∴DE⊥AD, ∴∠ADE=90 , 11∵点D是BC的中点, ∴DE为△ABC的中位线, ∴DE= AC,AE=BE= AB=2 , 在Rt△ADE中,tan∠EAD= = , 设DE=x,则AD=2x, ∵AD2+DE2=AE2, ∴(2x)2+x2=(2 )2,解得x=2, ∴DE=2,AD=4, ∴AC=2DE=4, ∴CD= , ∴BC=2CD= 故答案为: . 【点睛】本题考查了解直角三角形:在直角三角形中,由已知元素求未知元素的过程就是解直角三角形, 解题的关键的根据题意作出辅助线,利用中位线的性质求解. 14.等腰 ,底角是 ,面积是 ,则 的周长是 【答案】 【分析】设腰长为 ,则等腰三角形的高为 ,底边长为 ,三角形的面积为 ,解 得 的值,进而求出周长 的值. 【解析】解:设等腰三角形的腰长为 ,高为 ,底边长为 解得 12周长为 故答案为: . 【点睛】本题考查了锐角三角函数值,等腰三角形.解题的关键在于利用三角函数值将边长表示出来. 15.如图,一楼房AB后有一假山,其斜面坡度为i=1: (斜面坡度是指坡面的铅直高度与水平宽度的 比),山坡坡面上点E处有一休息亭,测得假山坡脚C与楼房水平距离BC=25米,与亭子距离CE=20 米,小丽从楼房顶测得E点的俯角为45°,则楼房AB的高为 米. 【答案】(35+10 ). 【分析】过点E作EF⊥BC的延长线于F,EH⊥AB于点H,解直角三角形即可求解. 【解析】解:过点E作EF⊥BC的延长线于F,EH⊥AB于点H, 在Rt△CEF中, ∵i= = =tan∠ECF, ∴∠ECF=30°, ∴EF= CE=10米,CF=10 米, 13∴BH=EF=10米,HE=BF=BC+CF=(25+10 )(米), 在Rt△AHE中,∵∠HAE=45°, ∴AH=HE=(25+10 )(米), ∴AB=AH+HB=(35+10 )(米). 答:楼房AB的高为(35+10 )米, 故答案为:(35+10 ). 【点睛】本题考查了解直角三角形的应用,涉及俯角及坡度的知识,构造直角三角形是解题的关键. 16.将一块含 角和一块含 角的直角三角板按如图的方式摆放到一起,组成四边形 ,连接 , 则 【答案】 / 【分析】本题主要考查了勾股定理,解直角三角形的应用.作 交 的延长线于点H,由 推出 ,可得 ,设 ,然后根据等腰三角 形,直角三角形等性质求得对应的边长即可得到答案. 【解析】解:作 交 的延长线于点H,如图所示: 14∵ , , ∴ , ∵ , ∴ 是等腰直角三角形. ∴ . 设 ,则 , ∵ , ∴ , ∴ ∴ ∵ , ∴ ∴ , ∴ , 故答案为: . 17.如图,在平面直角坐标系中,菱形 的顶点 在坐标原点,边 在 轴的负半轴上, ,顶点 的坐标为 ,反比例函数 的图象与菱形对角线 交于点 ,连接 , 当 轴时, 的值是 . 【答案】 15【分析】本题考查了反比例函数的性质、菱形的性质、直角三角形的性质,延长 交 轴于 ,由菱形 的性质得到 , 轴,再由 得到 ,根据含 角的直角三角形的三边 的关系得到 , ,计算出点 的坐标,再代入解析式即可求出 的值,熟练掌握菱形的性质以 及含 角的直角三角形的三边的关系是解此题的关键. 【解析】解:延长 交 轴于 ,如图, ∵菱形 的顶点 在坐标原点,边 在 轴的负半轴上, , 轴, , , 顶点 的坐标为 , , , , ∵四边形 为菱形, , 在 中, , 点坐标为 , ∵反比例函数 的图象经过点 , , 16故答案为: . 18.如图,正方形 的对角线相交于点O,点E在边 上,点F在 的延长线上, , 交 于点G, , ,则 . 【答案】 【分析】过点E作 于点H,则 是等腰直角三角形,由等腰直角三角形的三边关系及 ,可求得 ;又 ,可得出各个边的长度;证明 ,得到 ,再证明 ,则 ,所以 是等腰直角 三角形,即可得出结果. 【解析】解: 如图,过点E作 于点H,则 是等腰直角三角形, 设 ,则 , , 在 中, , , 17, , , , , , , , , , , , , , , , , , , , , , , 18∴ , , , , , 是等腰直角三角形, . 故答案为: . 【点睛】本题主要考查正方形的性质,等腰直角三角形的性质与判定,三角函数的定义等内容,证得 的正切值及 是等腰直角三角形是解题的关键. 三、解答题 19.计算: (1) ; (2) 【答案】(1) (2) 【分析】(1)先把特殊角的三角函数值代入,再计算即可; (2)先把特殊角的三角函数值代入,再计算即可; 【解析】(1)解: 19(2) 【点睛】本题考查的是特殊角的三角函数值的混合运算,熟练的记忆特殊角的三角函数值是解本题的关键. 20.在 中, ,求 的长. 【答案】 【分析】由 ,求解 再利用勾股定理求解 即可得到答案. 【解析】解: , 20【点睛】本题考查的是勾股定理的应用,锐角三角函数的应用,掌握以上知识是解题的关键. 21.已知 ABC中的∠A与∠B满足(1-tanA)2+ =0. △ (1)试判断 ABC的形状; △ (2)求(1+sinA)2-2 -(3+tanC)0的值. 【答案】(1)△ABC是锐角三角形;(2) . 【分析】(1)根据绝对值的性质求出tanA及sinB的值,再根据特殊角的三角函数值求出∠A及∠B的度数, 进而可得出结论; (2)根据(1)中∠A及∠B的值求出∠C的数,再把各特殊角的三角函数值代入进行计算即可. 【解析】(1)∵|1-tanA)2+|sinB- |=0, ∴tanA=1,sinB= , ∴∠A=45°,∠B=60°,∠C=180°-45°-60°=75°, ∴△ABC是锐角三角形; (2)∵∠A=45°,∠B=60°,∠C=180°-45°-60°=75°, ∴原式=(1+ )2-2 -1 = . 22.如图,△ABC中,AB=AC=13,BD⊥AC于点D,sinA= 21(1)求BD的长; (2)求tanC的值. 【答案】(1)12;(2) 【分析】(1)根据三角函数得出BD=12即可; (2)利用勾股定理得出AD=5,进而得出DC=8,利用三角函数解答即可. 【解析】解:(1)∵△ABC中,AB=AC=13,BD⊥AC于点D,sinA= ∴ 即 解得:BD=12; (2)∵AC=AB=13,BD=12,BD⊥AC, ∴AD=5, ∴DC=8, ∴tan∠C= 【点睛】此题考查解直角三角形问题,关键是根据三角函数得出BD的值. 23.如图,在 中,已知 , , . (1)用没有刻度的直尺和圆规过点 作 交 的延长线于点 保留作图痕迹,不写作法 (2)求 的面积. 22【答案】(1)见解析 (2) 【分析】(1)根据过直线外的一点作直线的垂线的方法作图即可; (2)解直角三角形求出 ,根据三角形的面积公式计算即可. 【解析】(1)解:如图,即为所作的图形; (2)在 中, , , , 的面积 . 【点睛】本题主要考查了基本作图,解直角三角形,三角形面积公式,熟练掌握过直线外的一点作直线的 垂线的方法是解决问题的关键. 24.在正方形网格中,仅用无刻度直尺按下列要求作图. (1)如图①中,在AB上找点C,使得AC:BC=2:3; (2)在图②中作∠DAB,使得tan∠DAB= .(保留作图痕迹) 【答案】(1)见解析 (2)见解析 23【分析】(1)取格点M,N,连接MN交AB于点C,点C即为所求作; (2)利用网格的特点,勾股定理构造直角三角形,根据正切的定义即可求解. 【解析】(1)如图,点C即为所求作. 理由, , , , , (2)如图,∠DAB即为所求作. 理由, , , , , 24是直角三角形,且 , ∴ . 【点睛】本题考查了勾股定理与网格问题,相似三角形与网格问题,正切的定义,掌握以上知识是解题的 关键. 25.已知:如图在△ABC中,AD是边BC上的高,E为边AC的中点,BC=14,AD=12, .求: (1)线段DC的长; (2)tan∠EDC的值. 【答案】(1)5; (2) . 【分析】(1)根据 ,求出AB,再求出BD即可解答; (2)在Rt△ADC中, E是AC的中点,推出∠EDC=∠C,则 = ,即可求解. 【解析】(1)解:在△ABC中,∵AD是边BC上的高, ∴AD⊥BC. ∴ . ∵AD=12, ∴ . 在Rt△ABD中,∵ , ∴CD=BC﹣BD=14﹣9=5. 25(2)解:在Rt△ADC中,E是AC的中点, ∴DE=EC, ∴∠EDC=∠C. ∴ = = . 【点睛】本题考查解直角三角形,解题关键是掌握锐角三角函数的定义以及直角三角形斜边上的中线的性 质. 26.如图,在一笔直的海岸线l上有AB两个观测站,A在B的正东方向,AB=2(单位:km).有一艘小 船在点P处,从A测得小船在北偏西60°的方向,从B测得小船在北偏东45°的方向. (1)求点P到海岸线l的距离; (2)小船从点P处沿射线AP的方向航行一段时间后,到点C处,此时,从B测得小船在北偏西15°的方向. 求点C与点B之间的距离.(上述两小题的结果都保留根号) 【答案】(1)点P到海岸线l的距离为( -1)km; (2)点C与点B之间的距离为 km. 【分析】(1)过点P作PD⊥AB于点D,设PD=xkm,先解Rt PBD,用含x的代数式表示BD,再解 Rt PAD,用含x的代数式表示AD,然后根据BD+AD=AB,列△出关于x的方程,解方程即可; (△2)过点B作BF⊥AC于点F,先解Rt ABF,得出BF=1km,再解Rt BCF,得出BC即可. (1) △ △ 解:如图,过点P作PD⊥AB于点D. 设PD=xkm. 26在Rt△PBD中,∠BDP=90°,∠PBD=90°-45°=45°, ∴BD=PD=xkm. 在Rt△PAD中,∠ADP=90°,∠PAD=90°-60°=30°, ∴AD= PD= xkm. ∵BD+AD=AB, ∴x+ x=2, x= -1, ∴点P到海岸线l的距离为( -1)km; (2) 解:如图,过点B作BF⊥AC于点F. 根据题意得:∠ABC=105°, 在Rt△ABF中,∠AFB=90°,∠BAF=30°, ∴BF= AB=1km. 在△ABC中,∠C=180°-∠BAC-∠ABC=45°. 在Rt△BCF中,∠BFC=90°,∠C=45°, ∴BC= BF= km, ∴点C与点B之间的距离为 km. 【点睛】本题考查了解直角三角形的应用-方向角问题,通过作辅助线,构造直角三角形是解题的关键. 27.某数学社团遇到这样一个题目如图①,在△ABC中,点O在线段BC上,∠BAO=30°,∠OAC=75°, AO= ,BO∶CO=1∶3,求AB的长.经过社团成员讨论发现,如图②,过点B作BD AC,交AO的延长 线于点D,通过构造△ABD 就可以解决问题. 27(1)请写出求AB长的过程. (2)如图③,在四边形ABCD中,对角线AC与BD相交于点O,AC⊥AD,∠ABC=∠ACB=75°,BO∶OD=1∶3. 若AO= ,求AB的长. 【答案】(1)见解析 (2)8 【分析】(1)先根据BD AC,得到∠D=∠OAC=75°,△BOD∽△COA,进而推出∠ABD=∠D, ,则 ; (2)如图所示,过点B作 交AC于E,先证明△BOE∽△DOA,推出 ,再利用三角形内 角和定理求出∠BAC=30°,然后解直角三角形ABE即可. 【解析】(1)解:∵BD AC, ∴∠D=∠OAC=75°,△BOD∽△COA, ∴∠ABD=180°-∠D-∠BAD=75°, , ∴∠ABD=∠D, , ∴AB=AD, , ∴ ; (2)解:如图所示,过点B作 交AC于E, ∴ ,△BOE∽△DOA, ∴ , 28∴ , ∴ , ∵∠BAC=30°, ∴ . 【点睛】本题主要考查了平行线的性质,相似三角形的性质与判定,解直角三角形,三角形内角和定理, 等腰三角形的性质与判定等等,正确作出辅助线构造相似三角形是解题的关键. 28.(1)[探究发现]如图①,已知四边形 是正方形,点 为 边上一点(不与端点重合),连接 ,将 沿 折叠,点 落在 处, 、 的延长线交于点 . 小明探究发现:当点 在 上移动时, .并给出如下不完整的证明过程,请帮他补充完 整. 证明:延长 交 于点 . (2)[类比迁移]如图②,四边形 为矩形,点 为 边上一点,连接 ,将 沿 折叠,点 落在 处, 的延长线与 的延长线交于点 ,连接 ,当 , , 时,求 的长; 29(3)[拓展应用]如图③,已知四边形 为菱形, , ,点 为线段 上一动点,将线 段 绕点 按顺时针旋转,当点 旋转后的对应点 落在菱形的边上(顶点除外)时,如果 , 请直接写出此时 的长. 【答案】(1)见解析;(2) ;(3) 或 【分析】(1)延长 交 于点 ,则由折叠可知 ,结合 得到 ,由正方形的性质得到 、 ,从而证明 ; (2)延长 交 于点 ,由折叠可知点 是 的中点、 ,结合 得到 ,从而有 是 的中位线,得到点 是 的中点,从而求得 ,再由勾股定理 求得 的长;由 , 得到 ,进而借助相似三角形的性 质求得 的长,然后由中位线的性质求得 的长; (3)以点 为圆心, 的长为半径作圆弧,与 和 的交点即为点 ,然后分点 在 上和点 在 上讨论,延长 交 于点 ,然后借助(1)(2)的思路求解. 【解析】解:(1)证明:如图①,延长 交 于点 . 由折叠可知, , , , 30四边形 是正方形, , , 在 和 中, , ; (2)如图②,延长 交 于点 , 由折叠可知,点 是 的中点, , , , 是 的中位线, 点 是 的中点, , , , , , , , , 是 的中位线, ; 31(3)以点 为圆心, 的长为半径作圆弧,与 和 的交点即为点 , ①如图③,当点 在 上时,延长 交 于点 , 由(1)可得, , 四边形 为菱形, , , , , , , , , , , ; ②如图④,当点 在 上时,延长 交 于点 ,则 , , 32, , 四边形 是菱形, , , , , 在 和 中, , , , , , , , , 设 ,则 , 在 中, , , 解得: , , 33综上所述, 的长为 或 . 【点睛】本题是四边形综合题,考查了矩形的性质、轴对称的性质、旋转的性质、全等三角形的判定与性 质、相似三角形的判定与性质、解直角三角形,解题的关键是通过菱形的性质和三角形的内角和定理得到 ,从而得到相似三角形或全等三角形,难度较大,需要学生学会利用前面所学的知识解答 后面的题目,具有很强的综合性,是中考常考题型. 34