当前位置:首页>文档>巴中市普通高中2023级“一诊”考试数学答案_全国高考模拟卷_2026年2月_260202四川省巴中市普通高中2023级“一诊”考试(巴中一诊)(全科)

巴中市普通高中2023级“一诊”考试数学答案_全国高考模拟卷_2026年2月_260202四川省巴中市普通高中2023级“一诊”考试(巴中一诊)(全科)

  • 2026-04-15 13:29:27 2026-04-15 13:19:44

文档预览

巴中市普通高中2023级“一诊”考试数学答案_全国高考模拟卷_2026年2月_260202四川省巴中市普通高中2023级“一诊”考试(巴中一诊)(全科)
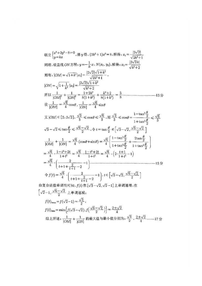
巴中市普通高中2023级“一诊”考试数学答案_全国高考模拟卷_2026年2月_260202四川省巴中市普通高中2023级“一诊”考试(巴中一诊)(全科)
巴中市普通高中2023级“一诊”考试数学答案_全国高考模拟卷_2026年2月_260202四川省巴中市普通高中2023级“一诊”考试(巴中一诊)(全科)
巴中市普通高中2023级“一诊”考试数学答案_全国高考模拟卷_2026年2月_260202四川省巴中市普通高中2023级“一诊”考试(巴中一诊)(全科)
巴中市普通高中2023级“一诊”考试数学答案_全国高考模拟卷_2026年2月_260202四川省巴中市普通高中2023级“一诊”考试(巴中一诊)(全科)
巴中市普通高中2023级“一诊”考试数学答案_全国高考模拟卷_2026年2月_260202四川省巴中市普通高中2023级“一诊”考试(巴中一诊)(全科)
巴中市普通高中2023级“一诊”考试数学答案_全国高考模拟卷_2026年2月_260202四川省巴中市普通高中2023级“一诊”考试(巴中一诊)(全科)
巴中市普通高中2023级“一诊”考试数学答案_全国高考模拟卷_2026年2月_260202四川省巴中市普通高中2023级“一诊”考试(巴中一诊)(全科)
巴中市普通高中2023级“一诊”考试数学答案_全国高考模拟卷_2026年2月_260202四川省巴中市普通高中2023级“一诊”考试(巴中一诊)(全科)
巴中市普通高中2023级“一诊”考试数学答案_全国高考模拟卷_2026年2月_260202四川省巴中市普通高中2023级“一诊”考试(巴中一诊)(全科)

文档信息

文档格式
pdf
文档大小
3.838 MB
文档页数
6 页
上传时间
2026-04-15 13:19:44