文档
办公文件
生活文档
学习资料
当前位置:
首页
>
文档
>巴中市普通高中2022级“三诊”考试数学答案_2025年6月_250601四川省巴中市普通高中2022级“三诊”考试(全科)_巴中市普通高中2022级“三诊”考试数学
巴中市普通高中2022级“三诊”考试数学答案_2025年6月_250601四川省巴中市普通高中2022级“三诊”考试(全科)_巴中市普通高中2022级“三诊”考试数学
2026-03-16 10:33:26
2026-02-08 17:34:10
文档预览
文档信息
文档格式
docx
文档大小
1.457 MB
文档页数
13 页
上传时间
2026-02-08 17:34:10
下载文档
文档内容
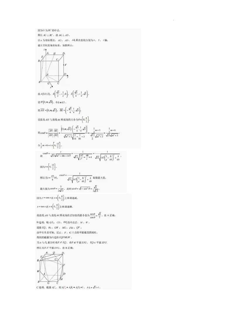
巴中市普通高中2022级“三诊”考试 数学参考答案与试题解析 学科网(北京)股份有限公司学科网(北京)股份有限公司学科网(北京)股份有限公司学科网(北京)股份有限公司学科网(北京)股份有限公司学科网(北京)股份有限公司学科网(北京)股份有限公司学科网(北京)股份有限公司学科网(北京)股份有限公司学科网(北京)股份有限公司学科网(北京)股份有限公司学科网(北京)股份有限公司学科网(北京)股份有限公司
本文档来自网络内容,如有侵犯您的权益请联系我们删除,联系邮箱:wyl860211@qq.com。
上一篇
巴中市普通高中2022级“三诊”考试数学_2025年6月_250601四川省巴中市普通高中2022级“三诊”考试(全科)_巴中市普通高中2022级“三诊”考试数学
下一篇
历史答案安徽省江淮十校2026届高三第二次考试(11月份期中质量检测)_251115安徽省江淮十校2026届高三第二次考试(11月份期中质量检测)(全科)
最新文档
22.1.4二次函数y=ax2+bx+c的图象和性质(知识解读+达标检测)(学生版)_初中数学_九年级数学上册(人教版)_知识解读与题型专练-V14_2025版
22.1.3第3课时二次函数y=a(x-h)2+k的图象和性质2_初中数学_九年级数学上册(人教版)_教案多套_9上数教案选择3
22.1.3第3课时二次函数y=a(x-h)2+k的图象和性质2_初中数学_九年级数学上册(人教版)_教案多套_9上数学教案选择4
22.1.3第3课时二次函数y=a(x-h)2+k的图象和性质1_初中数学_九年级数学上册(人教版)_教案多套_9上数教案选择3
22.1.3第3课时二次函数y=a(x-h)2+k的图象和性质1_初中数学_九年级数学上册(人教版)_教案多套_9上数学教案选择4
22.1.3第2课时二次函数y=a(x-h)2的图象和性质2_初中数学_九年级数学上册(人教版)_教案多套_9上数教案选择3
22.1.3第2课时二次函数y=a(x-h)2的图象和性质2_初中数学_九年级数学上册(人教版)_教案多套_9上数学教案选择4
22.1.3第2课时二次函数y=a(x-h)2的图象和性质1_初中数学_九年级数学上册(人教版)_教案多套_9上数教案选择3
22.1.3第2课时二次函数y=a(x-h)2的图象和性质1_初中数学_九年级数学上册(人教版)_教案多套_9上数学教案选择4
22.1.3第1课时二次函数y=ax2+k的图象和性质2_初中数学_九年级数学上册(人教版)_教案多套_9上数教案选择3
热门文档
22.1.3第1课时二次函数y=ax2+k的图象和性质2_初中数学_九年级数学上册(人教版)_教案多套_9上数学教案选择4
写作综合测试(二)-《红楼梦》整本书阅读与高考作文(解析版)-2024年高考语文二轮复习讲练测(新教材新高考)_1.2025语文总复习_2024年新高考资料_2.2024二轮复习_综合测试
22.1.3第1课时二次函数y=ax2+k的图象和性质1_初中数学_九年级数学上册(人教版)_教案多套_9上数教案选择3
22.1.3第1课时二次函数y=ax2+k的图象和性质1_初中数学_九年级数学上册(人教版)_教案多套_9上数学教案选择4
22.1.3二次函数y=ax^2+k的图象和性质(第1课时)(教学设计)-(人教版)_初中数学_九年级数学上册(人教版)_最新教学设计
22.1.3二次函数y=ax^2+k的图象和性质(第1课时)(导学案)-(人教版)_初中数学_九年级数学上册(人教版)_导学案
22.1.3二次函数y=ax^2+k的图象和性质(分层作业)解析版_初中数学_九年级数学上册(人教版)_分层作业
22.1.3二次函数y=ax^2+k的图象和性质(分层作业)原卷版_初中数学_九年级数学上册(人教版)_分层作业
22.1.3二次函数y=a(x-h)^2的图象和性质(第2课时)(教学设计)-(人教版)_初中数学_九年级数学上册(人教版)_最新教学设计
22.1.3二次函数y=a(x-h)^2的图象和性质(第2课时)(导学案)-(人教版)_初中数学_九年级数学上册(人教版)_导学案
随机文档
22.1.3二次函数y=a(x-h)^2的图象和性质(分层作业)解析版_初中数学_九年级数学上册(人教版)_分层作业
22.1.3二次函数y=a(x-h)^2+k的图象和性质(第3课时)(教学设计)-(人教版)_初中数学_九年级数学上册(人教版)_最新教学设计
22.1.3二次函数y=a(x-h)^2+k的图象和性质(第3课时)(导学案)-(人教版)_初中数学_九年级数学上册(人教版)_导学案
22.1.3二次函数y=a(x-h)^2+k的图象和性质(分层作业)解析版_初中数学_九年级数学上册(人教版)_分层作业
22.1.3二次函数y=a(x-h)^2+k的图象和性质(分层作业)原卷版_初中数学_九年级数学上册(人教版)_分层作业
22.1.3.2二次函数y=a(x-h)²+k的图象和性质(知识解读+达标检测)(教师版)_初中数学_九年级数学上册(人教版)_知识解读与题型专练-V14_2025版
22.1.3.2二次函数y=a(x-h)²+k的图象和性质(知识解读+达标检测)(学生版)_初中数学_九年级数学上册(人教版)_知识解读与题型专练-V14_2025版
写作综合测试(二)-《红楼梦》整本书阅读与高考作文(原卷版)-2024年高考语文二轮复习讲练测(新教材新高考)_1.2025语文总复习_2024年新高考资料_2.2024二轮复习_综合测试
22.1.3.1二次函数y=a(x-h)²的图象和性质(知识解读+达标检测)(教师版)_初中数学_九年级数学上册(人教版)_知识解读与题型专练-V14_2025版
22.1.3.1二次函数y=a(x-h)²的图象和性质(知识解读+达标检测)(学生版)_初中数学_九年级数学上册(人教版)_知识解读与题型专练-V14_2025版