当前位置:首页>文档>2006考研数一真题解析公众号“考研小舟”持续更新中公众号:考研小舟_27考研真题_考研数学一、二、三历年真题+考研数学资料(1994-2026)_考研数学真题(1987-2026)_数学一

2006考研数一真题解析公众号“考研小舟”持续更新中公众号:考研小舟_27考研真题_考研数学一、二、三历年真题+考研数学资料(1994-2026)_考研数学真题(1987-2026)_数学一

  • 2026-04-16 10:57:33 2026-04-16 10:08:36

文档预览

2006考研数一真题解析公众号“考研小舟”持续更新中公众号:考研小舟_27考研真题_考研数学一、二、三历年真题+考研数学资料(1994-2026)_考研数学真题(1987-2026)_数学一
2006考研数一真题解析公众号“考研小舟”持续更新中公众号:考研小舟_27考研真题_考研数学一、二、三历年真题+考研数学资料(1994-2026)_考研数学真题(1987-2026)_数学一
2006考研数一真题解析公众号“考研小舟”持续更新中公众号:考研小舟_27考研真题_考研数学一、二、三历年真题+考研数学资料(1994-2026)_考研数学真题(1987-2026)_数学一
2006考研数一真题解析公众号“考研小舟”持续更新中公众号:考研小舟_27考研真题_考研数学一、二、三历年真题+考研数学资料(1994-2026)_考研数学真题(1987-2026)_数学一
2006考研数一真题解析公众号“考研小舟”持续更新中公众号:考研小舟_27考研真题_考研数学一、二、三历年真题+考研数学资料(1994-2026)_考研数学真题(1987-2026)_数学一
2006考研数一真题解析公众号“考研小舟”持续更新中公众号:考研小舟_27考研真题_考研数学一、二、三历年真题+考研数学资料(1994-2026)_考研数学真题(1987-2026)_数学一
2006考研数一真题解析公众号“考研小舟”持续更新中公众号:考研小舟_27考研真题_考研数学一、二、三历年真题+考研数学资料(1994-2026)_考研数学真题(1987-2026)_数学一
2006考研数一真题解析公众号“考研小舟”持续更新中公众号:考研小舟_27考研真题_考研数学一、二、三历年真题+考研数学资料(1994-2026)_考研数学真题(1987-2026)_数学一
2006考研数一真题解析公众号“考研小舟”持续更新中公众号:考研小舟_27考研真题_考研数学一、二、三历年真题+考研数学资料(1994-2026)_考研数学真题(1987-2026)_数学一
2006考研数一真题解析公众号“考研小舟”持续更新中公众号:考研小舟_27考研真题_考研数学一、二、三历年真题+考研数学资料(1994-2026)_考研数学真题(1987-2026)_数学一
2006考研数一真题解析公众号“考研小舟”持续更新中公众号:考研小舟_27考研真题_考研数学一、二、三历年真题+考研数学资料(1994-2026)_考研数学真题(1987-2026)_数学一
2006考研数一真题解析公众号“考研小舟”持续更新中公众号:考研小舟_27考研真题_考研数学一、二、三历年真题+考研数学资料(1994-2026)_考研数学真题(1987-2026)_数学一
2006考研数一真题解析公众号“考研小舟”持续更新中公众号:考研小舟_27考研真题_考研数学一、二、三历年真题+考研数学资料(1994-2026)_考研数学真题(1987-2026)_数学一
2006考研数一真题解析公众号“考研小舟”持续更新中公众号:考研小舟_27考研真题_考研数学一、二、三历年真题+考研数学资料(1994-2026)_考研数学真题(1987-2026)_数学一
2006考研数一真题解析公众号“考研小舟”持续更新中公众号:考研小舟_27考研真题_考研数学一、二、三历年真题+考研数学资料(1994-2026)_考研数学真题(1987-2026)_数学一
2006考研数一真题解析公众号“考研小舟”持续更新中公众号:考研小舟_27考研真题_考研数学一、二、三历年真题+考研数学资料(1994-2026)_考研数学真题(1987-2026)_数学一

文档信息

文档格式
pdf
文档大小
0.275 MB
文档页数
12 页
上传时间
2026-04-16 10:08:36

文档内容

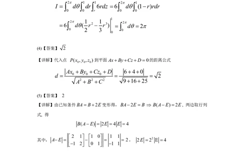
2006 年全国硕士研究生入学统一考试数学一试题解析 一、填空题 (1)【答案】2. 1 【详解】由等价无穷小替换,x0时,ln(1x)  x,1cosx x2, 2 xln(1x) x2 lim lim =2 x0 1cosx x0 1 x2 2 (2)【答案】Cxe x . 【详解】分离变量, dy y(1x) dy (1x) dy 1 dy 1    dx  ( 1)dx    dxdx dx x y x y x y x  ln ylnxxc  e lny  e lnxxc  y  Cxe x (3)【答案】2 x2  y2 1 【详解】补一个曲面 : ,取上侧,则 组成的封闭立体满足高斯公式, 1  z 1 1 P Q R (   )dv    Pdydz Qdzdx Rdxdy I x y z    1 P Q R 设 P x,Q2y,R3(z1),则   123 6 x y z ∴I  6dxdydz (为锥面和平面 所围区域)6V (V 为上述圆锥体体积) 1  注:以下几种解法针对于不同的方法求圆锥体体积V  方法1:I 6 2(高中方法,圆锥的体积公式,这种方法最简便) 3 而 xdydz2ydzdx3(z1)dxdy 0 (在 上:z 1,dz 0) 1  1 方法2:先二重积分,后定积分. 1 因为V  Sdz,r  x2 y2 ,r2  x2  y2,r2  z2,S r2 z2, 0 1 1 1 1  所以V   z2dz  z2   .从而I 6V 6  2 0 3 3 3 01 方法3:利用球面坐标. z 1在球坐标下为: , cos 2  1 2  2sin I   d4 dcos62sind  d4 d 0 0 0 0 0 cos3  (2) 2 d  4 dcos (2) 2 d( 1 )cos2 4  2 d2 0 0 cos3 0 2 0 0 方法4:利用柱面坐标 . 2 1 1 2 1 I   d dr 6rdz 6 d (1r)rdr 0 0 r 0 0 1  6 2 d( 1 r2 1 r3)   2 d 2 0 2 3 0 0 (4)【答案】 2 【详解】代入点 P(x ,y ,z )到平面AxByCzD0的距离公式 0 0 0 Ax  By Cz  D 640 d  0 0 0   2 A2  B2 C2 91625 (5)【答案】 2 【详解】由已知条件BA B2E变形得,BA2E  B  B(AE)2E, 两边取行列 式, 得 B(AE)  2E 4 E 4  2 1 1 0 1 1 其中, AE         2, 2E 22 E 4 1 2 0 1 1 1 2E 4 因此, B    2. AE 2 (6)【答案】1 9 【详解】根据独立性原理:若事件A,,A 独立,则 1 n P  A A A  P  A  P  A  P  A  1 2 n 1 2 n事件 max{X,Y}1  X 1,Y 1  X 1    Y 1 ,而随机变量X 与Y 均服 从区间[0,3]上的均匀分布,有P  X 1   11 dx  1 和P  Y 1   11 dy  1 . 又随机变 03 3 03 3 量X 与Y 相互独立,所以, 1 1 1 P  max(x,y)1 P  x 1,Y 1 P  x 1 P  Y 1     3 3 9 二、选择题. (7)【答案】A 【详解】 方法1: 图示法. 因为 f(x) 0, 则 f(x) 严格单调增加;因为 f(x) 0, 则 f(x) 是凹函数,又 x 0,画 f(x) x2的图形 y y=f(x) Δy dy O x x +Δx x 0 0 结合图形分析,就可以明显得出结论:0 dy y. 方法2:用两次拉格朗日中值定理 ydy  f (x x) f (x ) f (x )x (前两项用拉氏定理) 0 0 0  f ()x f (x )x (再用一次拉氏定理) 0  f()(x )x, 其中x  x x,x  0 0 0 0 由于 f(x)0,从而ydy 0. 又由于dy  f(x )x 0,故选[A] 0 方法3: 用拉格朗日余项一阶泰勒公式. 泰勒公式: f(x) f(x ) f(x )(xx )  f(x 0 ) (xx )2 f (n)(x 0 ) (xx )nR , 0 0 0 2! 0 n! 0 n f (n1)(x ) 其中R  0 (xx )n . 此时n取1代入,可得 n (n1)! 0 1 ydy  f (x x) f (x ) f (x )x f ()(x)2 0 0 0 0 2 又由dy  f(x )x 0,选(A) . 0(8)【答案】(C)  1 【详解】记4d f (rcos,rsin)rdr  f (x,y)dxdy ,则区域D的极坐标表示是: 0 0 D  0r 1 ,0 . 题目考察极坐标和直角坐标的互化问题,画出积分区间,结合图形 4 可以看出,直角坐标的积分范围(注意 y  x 与 x2  y2 1 在第一象限的交点是 2 2 2 ( , )),于是 D:0 y  ,y  x 1y2 2 2 2 2 1y2 所以,原式  2 dy f (x,y)dx . 因此选 (C) 0 y (9) 【答案】D 【详解】 方法1:数列收敛的性质:收敛数列的四则运算后形成的新数列依然收敛     a a 因为a 收敛,所以a 也收敛,所以(a a )收敛,从而 n n1也收敛.选D. n n1 n n1 2 n1 n1 n1 n1 (1)n    1 1 方法2:记 a  ,则a 收敛. 但a  ,( p级数, p  级数发散); n n n n n 2 n1 n1 n1   1 a a  ( p级数, p 1级数发散)均发散。由排除法可知,应选D. n n1 n n1 n1 n1 (10) 【答案】D 【详解】 方法1: 化条件极值问题为一元函数极值问题。 已知(x ,y ) 0,由(x,y)0,在(x ,y )邻域,可确定隐函数y  y(x), 0 0 0 0 dy   满足y(x ) y ,  。 0 0 dx x y (x ,y ) 是 f(x,y) 在 条 件 (x,y)0 下 的 一 个 极 值 点  x x 是 0 0 0 z  f (x,y(x))的极值点。它的必要条件是 dz f(x ,y ) f(x ,y ) dy (x ,y )  0 0  0 0  f(x ,y ) f(x ,y ) x 0 0 0 dx x y dx x 0 0 y 0 0 (x ,y ) xx 0 xx 0 y 0 0 xx 0 若 f(x ,y ) 0,则 f(x ,y )0,或(x ,y )0,因此不选(A),(B). x 0 0 y 0 0 x 0 0 dz 若 f(x ,y ) 0,则 f(x ,y )0(否则 0). 因此选(D) x 0 0 y 0 0 dx xx 0 方法2:用拉格朗日乘子法. 引入函数F(x,y,) f(x,y)(x,y),有F f(x,y)(x,y)0 (1) x x x  F f(x,y)(x,y)0 (2) y y y  F (x,y)0  f(x ,y ) 因为(x ,y )0,所以 y 0 0 ,代入(1)得 y 0 0 (x ,y ) y 0 0 f(x ,y )(x ,y ) f(x ,y )  y 0 0 x 0 0 x 0 0 (x ,y ) y 0 0 若 f(x ,y ) 0,则 f(x ,y )0,选(D) x 0 0 y 0 0 (11)【答案】A 【详解】 方法 1:若,,, 线性相关, 则由线性相关定义存在不全为0 的数k,k ,,k 使得 1 2 s 1 2 s k k k  0 1 1 2 2 s s 为了得到A, A,, A 的形式,用A左乘等式两边, 得 1 2 s k A k A k A  0 ① 1 1 2 2 s s 于是存在不全为0的数k ,k ,,k 使得①成立,所以A,A,,A 线性相关. 1 2 s 1 2 s 方法2:如果用秩来解,则更加简单明了. 只要熟悉两个基本性质, 它们是: 1. ,,, 线性相关r(,,,) s;2. r(AB)r(B). 1 2 s 1 2 s 矩阵(A,A,,A) A(,,,) , 设B (,,, ), 则由 1 2 s 1 2 s 1 2 s r(AB)r(B)得r(A,A,,A) r(,,,) s . 所以答案应该为(A). 1 2 s 1 2 s (12) 【答案】B 【详解】用初等矩阵在乘法中的作用(矩阵左乘或右乘初等矩阵相当于对矩阵进行初等行变 换或列变换)得出 1 1 0   将A的第2行加到第1行得B,即 B  0 1 0 A 记 PA     0 0 1 1 1 0   将B的第1列的-1倍加到第2列得C,即C  B 0 1 0 记 BQ     0 0 11 1 0 1 1 0     因为PQ 0 1 0 0 1 0  E ,故Q  P1E  P1.         0 0 1 0 0 1 从而C  BQ  BP1 PAP1 ,故选(B). (13)【答案】C 【详解】本题考条件概率的概念和概率的一般加法公式   P AB 根据条件概率的定义,当P(B)0时,P  A B   1得P  AB  P  B    P B 根据加法公式有P  AB P  A P  B P  AB P  A  ,故选(C) (14) 【答案】A. 【详解】由于X 与Y 的分布不同,不能直接判断P{| X |1}和P{|Y  |1}的大小 1 2 与参数关系. 如果将其标准化后就可以方便地进行比较了。 X  随机变量标准化,有 1 ~ N(0,1),且其概率密度函数是偶函数. 所以  1 X 1  X 1 1 1 P(X1)P( 1  )2P0 1  2[( )(0)]2( )1. 1         1 1 1 1 1 1 1 同理有,P(Y  1)2( )1 2  2 因 为 (x) 是 单 调 递 增 函 数 , 当 P{| X |1}P{|Y  |1} 时 , 1 2 1 1 1 1 2( )1 2( )1,即  ,所以  ,故选(A).     1 2 1 2 1 2 三、解答题 xy (15)【详解】积分区域对称于x轴, y为y的奇函数, 1x2  y2 xy 从而知  dxdy 0 1x2  y2 D 1  1 r   所以 I   dxdy极坐标 2 d dr  ln(1r 2) 1 ln2 1x2  y2   01r2 2 0 2 D 2(16)【详解】(I) 由于0 x时,0sinx x,于是0 x sinx  x ,说明数列 x  n1 n n n 单调减少且x 0. 由单调有界准则知limx 存在.记为A. n n n 递推公式两边取极限得AsinA, A0 1 (II) 原式=lim( sinx n) x2 n ,为“1”型. n x n 1 sint 因为离散型不能直接用洛必达法则,先考虑lim( )t2 t0 t 1 1 (tcostsint) lim   sint 1 lim 1 ln( sint ) t02t sint t2 lim( )t2 et0t2 t e t t0 t tcostsint costtsintcost sint 1 lim lim lim  et0 2t3 et0 6t2 et0 6t e 6 1 1 1 1 所以 lim( x n1) x2 n =lim( sinx n) x2 n =lim( sinx )x2 e  6 n x n x x0 x n n 1 (17)【详解】用分解法转化为求 的展开式,而这是已知的. 1ax 1 1 1 1 1  1 1 1 1 由于          2xx2 (1x)(2x) 31x 2x  3 1x 6 x 1 2 1  1  xn  (1)nxn  (x 1) 3 6 2n n0 n0 1   1  因此 f(x)  1 n xn1 (x 1).   3  2n1 n0 (18)【详解】(I)由于题目是验证,只要将二阶偏导数求出来代入题目中给的等式就可以了 z   x z   y  f x2 y2 ;  f x2 y2 x x2  y2 y x2  y2 x2 x2  y2  2z   x2   x2  y2  f x2 y2  f x2 y2 x2  x2  y2   x2  y2    x2   y2  f x2 y2  f x2 y2  x2  y2   x2  y2 322z   y2   x2 同理  f x2 y2  f x2 y2 y2  x2  y2   x2  y2 32 2z 2z   f( x2  y2) 代入  0,得 f x2  y2   0, x2 y2 x2  y2 f(u) 所以 f(u) 0 成立. u dp p dp du (II) 令 f(u) p于是上述方程成为  ,则  c, du u p u c 即 ln p lnuc,所以 f(u) p  u 因为 f(1)1,所以 c1,得 f(u)lnuc 2 又因为 f(1)0,所以 c 0,得 f(u)lnu 2 (19)【详解】 方法1:把 f(tx,ty) t2f(x,y) 两边对t求导,得:xf(tx,ty)yf(tx,ty)2t3f(x,y) x y 令 t 1,则xf(x,y)yf(x,y)2f(x,y); x y 再令 P  yf (x,y), Q xf (x,y) , Q P 所以 f(x,y) xf (x,y),  f(x,y) yf (x,y) x x y y Q P 得  ,所以由格林公式知结论成立. x y 方法2: D是单连通区域,对于D内的任意分段光滑简单闭曲线L,为D内的一曲线  yf(x,y)dxxf(x,y)dy 0 L   yf(x,y)dxxf(x,y)dy 在D内与路径无关     (xf(x,y)) (yf(x,y)) ((x,y)D) x x  xf(x,y)yf(x,y)2f(x,y)0 ((x,y)D) x 同方法1,由 f(tx,ty) t2f(x,y) 可证得上式. 因此结论成立.1 1 1 1    (20)【详解】(I)系数矩阵A 4 3 5 1 未知量的个数为n4,且又AX b有三个    a 1 3 b   线性无关解,设,, 是方程组的3个线性无关的解, 则 , 是AX 0的两 1 2 3 2 1 3 1 个线性无关的解. 因为 , 线性无关又是齐次方程的解,于是AX 0的基础解 2 1 3 1 系中解的个数不少于2, 得4r(A)2, 从而r(A)2. 又因为A的行向量是两两线性无关的, 所以r(A)2. 所以r(A)2. (II)对方程组的增广矩阵作初等行变换: 1 1 1 1 |12141 1 1 1 | 1    31a   [Ab] = 4 3 5 1 |1  0 1 1 5 | 3      a 1 3 b | 1    0 1a 3a b a |1a  1 1 1 1 | 1  321a    0 1 1 5 | 3 ,    0 0 42a 4ab5 |42a  42a0 由r(A)2, 得 , 即a  2, b  3. 4ab50 1 0 2 4 | 2    所以[Ab]作初等行变换后化为; 0 1 1 5 |3 ,    0 0 0 0 | 0   x 22x 4x 它的同解方程组  1 3 4 ① x 3x 5x 2 3 4 ①中令x 0,x 0求出AX b的一个特解(2,3,0,0)T ; 3 4 x 2x 4x AX 0的同解方程组是 1 3 4 ② x  x 5x 2 3 4 取x 1,x 0,代入②得(2,1,1,0)T ;取x 0,x 1, 代入②得(4,5,0,1)T . 所以 3 4 3 4 AX 0的基础解系为(2,1,1,0)T ,(4,5,0,1)T 所以方程组AX b的通解为: (2,3,0,0)T c(2,1,1,0)T c (4,5,0,1)T ,c ,c 为任意常数 1 2 1 2(21)【详解】(I) 由题设条件A 00,A 00 ,故, 是A的对应于0 1 1 2 2 1 2 的特征向量,又因为, 线性无关,故0至少是A的二重特征值. 又因为A的每行元 1 2 素之和为3,所以有 A(1,1,1)T (3,3,3)T 3(1,1,1)T ,由特征值、特征向量的定义,  (1,1,1)T 是A的特征向量, 特征值为 3,只能是单根,k,k 0是全体特征 0 3 3 3 0 3 向量,从而知0是二重特征值. 于是 A的特征值为3,0,0;属于3的特征向量: k,k 0 ;属于0 的特征向量: 3 3 3 k k ,k ,k 不都为0. 1 1 2 2 1 2 (Ⅱ) 为了求出可逆矩阵必须对特征向量进行单位正交化 . 3 3 3 先将 单位化, 得 ( , , )T. 0 0 3 3 3 2 2 6 6 6 对, 作施密特正交化, 得 (0,  , )T ,  ( , , )T. 1 2 1 2 2 2 3 6 6 3 0 0   作Q (,,), 则Q是正交矩阵,并且QTAQ Q-1AQ  0 0 0 1 2 3     0 0 0 (22)【详解】 f (y)F(y), 由于 f (x)是分段函数,所以在计算P  X2  y  时,要相应 Y Y X 1 1 1 分段讨论. 求F( ,4)  P(X  ,Y 4) P(X  ,X 24), 只是与X 有关,不必 2 2 2 先求出F(x,y)的函数. (I) 因为F (y)P  Y  y P  X 2 y  ,当y 0时,F (y)0; Y Y 0 1 y1 3 当0 y1时,F (y)P( y  X  y)  dx  dx  y ; Y  y 2 0 4 4 0 1 y1 1 1 当1 y4时,F (y)P( y  X  y)  dx  dx   y ; Y 12 0 4 2 4 当y 4时,F (y)1; Y 综上所述,有 0, y0  3  y, 0 y 1 F (y)P  Y  y P  X 2  y     4 Y 1 1   y, 1 y 4 2 4   1, 4 y 由概率密度是分布函数在对应区间上的的微分,所以,  3 , 0 y1  8 y   1 f (y)F(y)  , 1 y 4 Y Y 8 y  0, 其他   这个解法是从分布函数的最基本的概率定义入手,对y进行适当的讨论即可,属于基本 题型. (Ⅱ) 由协方差的计算公式cov(X,Y) cov(X,X 2) E(X3)E(X)E(X 2) 需要计算E(X),E(X2),E(X3).  0 x 2 x 1 E(X)  xf (x)dx   dx dx  ;  X -12 0 4 4  0 x2 2 x2 5 E(X2)  x2f (x)dx   dx dx  ; - X -1 2 0 4 6  0 x3 2 x3 7 E(X3)  x3f (x)dx   dx dx  . - X -1 2 0 4 8 7 1 5 2 故cov(X,Y) cov(X,X2) E(X3)E(X)(X2)    . 8 4 6 3 (III) 根据二维随机变量的定义F(a,b)P  X a,Y b ,有 1 1  1   1 F( ,4) P(X  ,Y 4) PX  ,X2 4 P2 X   2 2  2   2 由一维概率计算公式P  a X b   b f (x)dx有,F( 1 ,4)    1 2 1 dx 1 . a X 2 1 2 4  3  N (23)【答案】的矩估计  X ;的最大似然估计 . 2 n 【详解】矩估计的实质在于用样本矩来估计相应的总体矩,此题中被估参数只有一个,故只 需要用样本一阶原点矩(样本均值)来估计总体的一阶原点矩(期望),所以矩估计的关键在于找出总体的矩E(X). 最大似然估计,实质上就是找出使似然函数最大的那个参数,问题的关键在于构造似然 函数. 样本值中x 小于1的概率是,x 大于1的概率是 1 . 因此,似然函数应为: i i n L() f  x;N(1)nN. i i1 (I) 由数学期望的定义:  1 2 1 3 3 E(X)  xf(x;)dx   xdx (1-)xdx   (1)   0 1 2 2 2 1 n 样本均值 X  X n i i1 3 3 用样本均值估计期望有 EX  X 即  X ,解得  X . 2 2  3 1 n 所以参数的矩估计为  X . 其中X  X . 2 n i i1 (Ⅱ) 对样本x ,x ,x 按照1或者1进行分类,不妨设:x ,x ,x 1, 1 2 n p1 p2 pN x ,x ,x 1. 似然函数 pN1 pN2 pn N(1)nN, x ,x ,x 1,x ,x ,x 1 L() p1 p2 pN pN1 pN2 pn , 0, 其他 在x ,x ,x 1,x ,x ,x 1时,等式两边同取自然对数得 p1 p2 pN pN1 pN2 pn lnL()  Nln(nN)ln(1), 由于lnL()和L()在的同一点取得最大值,所以令 dlnL() N n N    0, d  1 N  N 解得 ,所以的最大似然估计值为 . n n