当前位置:首页>文档>2019数学三解析公众号,西米研考_27考研真题_考研数学一、二、三历年真题+考研数学资料(1994-2026)_考研数学真题(1987-2026)_考研数学历年真题(1987-2024)_考研数学三真题1987-2024

2019数学三解析公众号,西米研考_27考研真题_考研数学一、二、三历年真题+考研数学资料(1994-2026)_考研数学真题(1987-2026)_考研数学历年真题(1987-2024)_考研数学三真题1987-2024

  • 2026-04-16 15:03:44 2026-04-16 13:43:22

文档预览

2019数学三解析公众号,西米研考_27考研真题_考研数学一、二、三历年真题+考研数学资料(1994-2026)_考研数学真题(1987-2026)_考研数学历年真题(1987-2024)_考研数学三真题1987-2024
2019数学三解析公众号,西米研考_27考研真题_考研数学一、二、三历年真题+考研数学资料(1994-2026)_考研数学真题(1987-2026)_考研数学历年真题(1987-2024)_考研数学三真题1987-2024
2019数学三解析公众号,西米研考_27考研真题_考研数学一、二、三历年真题+考研数学资料(1994-2026)_考研数学真题(1987-2026)_考研数学历年真题(1987-2024)_考研数学三真题1987-2024
2019数学三解析公众号,西米研考_27考研真题_考研数学一、二、三历年真题+考研数学资料(1994-2026)_考研数学真题(1987-2026)_考研数学历年真题(1987-2024)_考研数学三真题1987-2024
2019数学三解析公众号,西米研考_27考研真题_考研数学一、二、三历年真题+考研数学资料(1994-2026)_考研数学真题(1987-2026)_考研数学历年真题(1987-2024)_考研数学三真题1987-2024
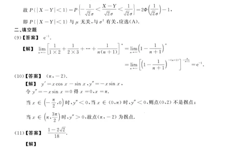
2019数学三解析公众号,西米研考_27考研真题_考研数学一、二、三历年真题+考研数学资料(1994-2026)_考研数学真题(1987-2026)_考研数学历年真题(1987-2024)_考研数学三真题1987-2024
2019数学三解析公众号,西米研考_27考研真题_考研数学一、二、三历年真题+考研数学资料(1994-2026)_考研数学真题(1987-2026)_考研数学历年真题(1987-2024)_考研数学三真题1987-2024
2019数学三解析公众号,西米研考_27考研真题_考研数学一、二、三历年真题+考研数学资料(1994-2026)_考研数学真题(1987-2026)_考研数学历年真题(1987-2024)_考研数学三真题1987-2024
2019数学三解析公众号,西米研考_27考研真题_考研数学一、二、三历年真题+考研数学资料(1994-2026)_考研数学真题(1987-2026)_考研数学历年真题(1987-2024)_考研数学三真题1987-2024
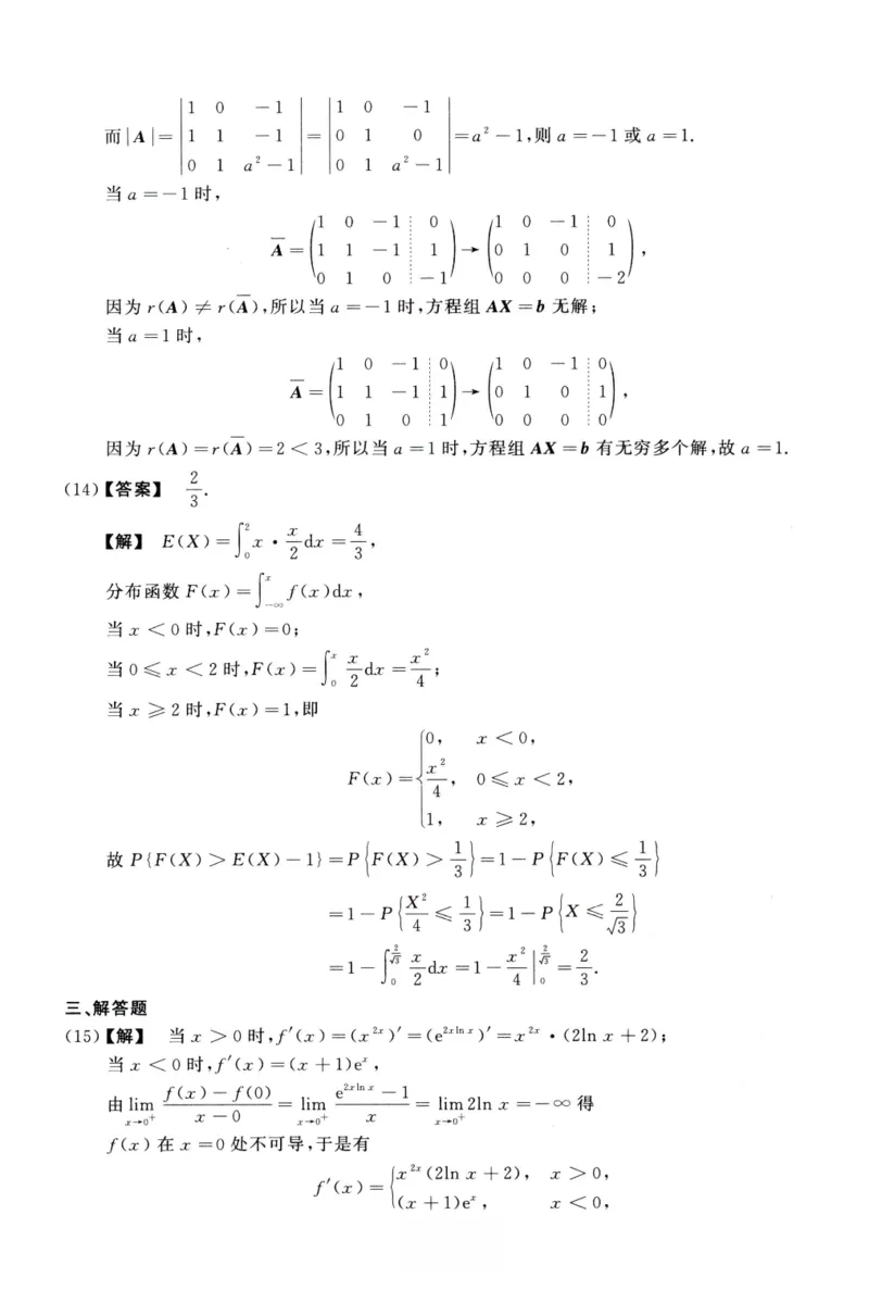
2019数学三解析公众号,西米研考_27考研真题_考研数学一、二、三历年真题+考研数学资料(1994-2026)_考研数学真题(1987-2026)_考研数学历年真题(1987-2024)_考研数学三真题1987-2024
2019数学三解析公众号,西米研考_27考研真题_考研数学一、二、三历年真题+考研数学资料(1994-2026)_考研数学真题(1987-2026)_考研数学历年真题(1987-2024)_考研数学三真题1987-2024
2019数学三解析公众号,西米研考_27考研真题_考研数学一、二、三历年真题+考研数学资料(1994-2026)_考研数学真题(1987-2026)_考研数学历年真题(1987-2024)_考研数学三真题1987-2024

文档信息

文档格式
pdf
文档大小
4.402 MB
文档页数
8 页
上传时间
2026-04-16 13:43:22

文档内容

2019年数学(三)真题解析 一、选择题 (1) 【答案】(C). 【解】方法一由lim三二竽三=lim上二萼£ =—寺得Z—tan工〜一£川(工—0), —0 x … 3工' 3 3 故工一tan x为3阶无穷小,即k = 3,应选(C). 方法二 由 tan x =x + 3 + o (j: 3 )得 z - tan x x3 ( j: 0), 故怡=3,应选(C). (2) 【答案】(D). 【解】令 /(j: ) = J? 5 — + b, 则 f'(J7 ) = 4 一 5 = 5(x2 + 1)(J72 一 1 ), 当工 <一 1 时,f'Q) > 0;当 一 1 <工 < 1 时,f\x) < 0;当工 > 1 时,/■'(#)> 0, 极大值/■(一 1) = 4 +茶极小值/(I) = —4 + &, 又 lim f O = 一 00 , lim /() = + 00 , 工一►— ―► — OO j—OO 故方程工5—5工+怡=0有3个实根的充分必要条件是/(-1)>0,/(1)<0,即一4 Vb <4, 应选(D). ⑶【答案】(D). 【解】 微分方程y" + ayr by =ce的特征方程为A 2 + aA + 6 = 0, 由夕=(G +。2工)亍+eJ为方程的通解可知,其特征根入i =心=一 1, 则 a = 2、b = 1 ; 再由y * = eJ为微分方程j/' + ay' + by =*ce 的特解得c = 4,应选(D). (4) 【答案】(E). 【解】 因为级数空 匕条件收敛,所以lim —=0, n ” =]n 7) 则存在M>0,对一切的",有 — O9故点(兀9 — 2)为拐点. 当 X 6 1 — 2 (11)[答案】 18 【解】 J J )d(+ 1 3 ______________ j:2 f Cjc )dx — b ) a/1 + jc4 dx 0 =一巨 i L ri V*d ,_ ( _ ll _ + ___ +')=—辽 1 x§ 9 (l +*)? 1 11 1 — 2 42 Io = -18~ (12)【答案】0.4. dQA/d/?A ____________ Pa 【解】可AA (2pA + pB) Qa /Pa 500 — p\ — PaPb + 2/>b _________400_________ 当 pA =10,pB =20 时,r]AA =0. 4. 500 - 100 - 200 + 800 (13)【答案】1. 【解】 因为AX^b有无穷多个解,所以|A | = 0,1 0 -1 而 |a | = 1 1 -1 =a2 — 1,则 a= —1 或 a=l. 0 1 a2 -1 当a = — 1时, I1 I1 0 -1 0 \ 0 _ 1 0 \ 】 1 -1 1 -A 0 1 0 'o -J 'o —2/ 1 0 0 0 因为r(A) ^r(A),所以当a =一1时,方程组A X=b无解 当a = 1时, 0 -1 卩 0 _ 1 °\ 1 -1 0 1 0 】 、0 ]丿 0) 1 0 0 0 因为r(A) =r(A) =2 < 3,所以当a =1时,方程组AX =b有无穷多个解,故a =1. 2 (14)【答案】 y. 4 【解】 • — jc dj;=— 2 3 分布函数 F(z)=J /(j: )dj?, 当夂V 0时,FQ) = 0; rx 2 当 0 WzV2 时,F(z)=| 手 dz=?; J o 2 4 当攵N 2时,F (攵)=1,即 0, •z V 0, FQ)=」?, 0 W rr V 2, 4 .1, ■r $ 2, 故 P{F(X) >E(X)-1} =P(F(X) = < 1 后2 JC . n X 2 后 2 = 2 =1 —djc = 1-----------— I 2 4 0 0 三、解答题 (15)【解】 当工 > 0 时 )=(工加)'=(e2^lnx =x2x • (21n j? + 2); 当工 V 0 时 J,(无)=(z + l)e", f(T} — f(o) e2xlnx — 1 由 lim -------------------= lim --------------= lim 21n x = — 00 得 H-o+ x —Q H-o+ 3C —+ )在z = 0处不可导9于是有 \x2x (21n z + 2) 9 h〉0, /(^)= I 、 【(•z + l)e” 9 h V 0,f'G)= 0或)的不可导点为工=—1,夂=0,工=右 当工 <一1 时,/(^) < 0;当一1 V# <0 时,f\x) > 0;当 OVh <右时,尸(工)vo; 当工〉丄时> 0, e 故工=-1为极小值点,极小值为/ •Z =0为极大值点,极大值为/(0)=1 72 ■r =丄为极小值点,极小值为 7 e 字 —幷+咒, (16)【解】 =_z 9jc d2e —2- = — f ;\一2代一曲、 dx2 J 32 8 =1 一冗+冗一打+必=1—九1+冗, 3x dy n2 = - /u + /;2 + fL - f 22 = - fn + 2/u - fz2, 3y2 故*n2 + 带n2 g + p2 =—仟;—2冗—冗 + 1 — /„ + f:2 -fn+ 2允—f;2 dj: dxdy 3y6 =1 — 3f :\ 一 f £・ ・ e卜心 ck+C)e+2=(Vr + C)$, (17)【解】(I)y 2后 > 2 由)(1) =Ve 得 C = 0,即 y (工)=e 2 ・ (II )V = J Tty2 Ajc =兀 2 加 cLz Z i (18)【解】所求面积为 A = f e~x | sin z | dr = lim 工(—1)"[ ■1)K e~x sin x dx J o ”f°°& = o J kn -”. 「 -i (屮)兀 =lim 艺(—1)"----e_J (sin x + cos x ) Z °° k — Q = £lim£ (- 1)屮[「"+5( - 1)屮 _e“(一 1)"] 2 ”~°°怡= 0 =£血空[严》+*e- "]=£li m[:l + 2袞-"+「"+5] 2 ”f°° 走 2 ”f°° & = i =o = l(l + 2Se-) = l(l + =丄+丄 2 en-l"(19) ( I )【证明】 因为当0 < 1时,工”+1 丿1—川 W\_芒, ”+1 所以 xJ\ — jc2 djc V 乂”丿1 —力 2 dr 9 即 Q 卄 1 V 5 9 故{孙}单调递减. 0 < 0 S — x = sin = t 2 sin"t • cos2/dz = 2 (sinl — sin"+S)d£ o 0 $ sin"tck— [2 sinr,+2Zdz — In — —y— J n + 2 o o x = sin t 2 sin"—S • cosLck = 2 (sinn_2Z — sin"/)d£ an-2 = 0 0 n 一 * n 因为/ 所以 ”_2, L-2 n n — 1 工曰 n 1 十是 Q 7 / n-2 = n — 1 n n — 1 故 a„ —|a„_2 (n =2,3,…). n + Z (n)[解】 因为仏”}单调递减,所以a” =J^a” 一 n L 2 72 十 2 从而有— <1, "十 Z a ”一 i 由夹逼定理得lim旦-=1. (2 ”fOO I1 1 1 \ /I 1 1 (20)[解】(a! ,a2 ,a3) = 1 0 2 — 0 — 1 1 /+3/ 'o 0 a2 -1 4 当a = — 1时,向量组Cl 1 9 a 2 ,a3的秩为2, /I 0 I1 0 由(01 902 903)= 1 1 2 3 -A 0 1 1得4,02,卩3的秩为2, '2 4/ '0 o' 2 0 1 1 1 0 i\ I1 1 1 1 0 1 (Cfi 9 (Z 2 9 a 3 901 9 fl 2 903)= I 1 0 2 1 2 3 -»0 _ 1 1 0 2 2 4/ '0 4 4 2 2 0 0 -2 2 0 因为r(a} ,«2 ,a3) # r{ax ,a2,a3 ,p2,03),所以两个向量组不等价; I1 1 1 1 0 I1 1 1 1 0 当 Q = 1 时 9(5,°2』3901 902903)= 1 1 0 2 1 2 3 -A 0 -1 1 0 2 2 '4 4/ '0 o' 4 4 4 0 0 0 0 0 因为厂(5』 2 心 3)= r(0i ,02,03)= r(ai ‘a?』 3 ,心,鳧,03)=2,所以两个向量组等价, 令工。 1 + T2a2 +^3«3 =03, I1 1 1 I1 1 1 I1 0 2 3 \ 再由(a】?(x2 9(X3 903)= 11 0 2 3 -A O _ 1 1 2 -A O 1 -1 _2得 '4 J '0 q ' '0 o' 4 4 0 0 0 0方程组厂 —2& + 3 k-2 Ck为任意常数), k 故 03 =(—2怡 +3)«! + (k -2)a2+ka3(k 为任意常数). 当a工±1时,向量组a】 a 的秩为3, 9 2 9^3 1 0 1 1 0 1 1 0 1 由 1 2 3 0 1 1 0 1 1 得 (01,02,03)= 匕+ 3 1 — a a2 + 3 0 1 - a a2 —a 0 0 a2-1 向量组庆,02,03的秩为3,故两个向量组等价, 令工+ +Z 3<«3 =03, /I 1 1 1 \ 1 1 1 \ 3卜 由(Ct 1 , U 2 , (X 3 ,03)= 1 0 2 ,° -1 1 2 6? +3/ 4 4 a2 +3 'o 0 a2 _ 1 a2 - 1' /] 1 1 1\ I1 1 0 °\ I1 0 0 1 \ 0 -1 1 2 - A O -1 0 1 -M° 1 0 T 得 'o J 'o J 'o 1 / 0 1 0 1 0 1 03 】一a2 + a3• = a (21)【解】(I )因为A〜所以 tr A = tr B ,即 z — 4=y + l,或夕=工—5, 再由 | A | = |b| 得一2(— 2x +4) = — 2y,即 y= — 2工 + 4, 解得 jc =3,夕=一2. /-2 -2 1 \ F 1 0 (n)a = 2 3 ~2 B = 0 _ 1 0 —2丿 ♦ 一2/ ' 0 0 0 显然矩阵A,B 的特征值都为4 =一2,入2 =—1 ,A 3 = 2, 1 0 -0 -2 1 I 由 2E +A 2 1 0 1 得A的属于特征值小=-2的特征向量为 0 1 0 0 0 2 0 0 0 /I 2 _ Z1 2 °\ 由 E +A — 0 0 1 -A O 0 1得A的属于特征值入2= —1的特征向量为 'o 0 / 'o 0 0 O'丄 2 1 -2 1 0 2 由 2E-A 0 0 1 得A的属于特征值心=2的特征向量为 0 0 1 0 0 0 10 0 0 -2 -2 0 0 1 2 ,则 PJAP] 0 -1 0 0 ' 0 0 0 2 [4 1 °\ /I 0 °\ /°\ b 由 2E+B = 1 0 -A O 1 0得B的属于特征值入1=—2的特征向量为01 ==0 '0 q ' '0 J 0 0 丄 1 0 1 0 0 0 得B的属于特征值A2=-l的特征向量为 0 0 1 '0 0 -1 0 0 0 /° -1 °\ /° 1 0\ /!\ 由 2E-B = 0 3 0 -* 0 0 1 得B的属于特征值入2 =2的特征向量为03 = ° 'o 'o 0 0 0, 0 -1 1\ / -2 0 °\ 令P2 = 0 3 ° ,贝 1 」 P7 BP2 = 0 - 1 o 2/ 1 0 o' 0 0 由 P"P1 = P21 BP2 得(PiPF)tA(P】P『)=B, I-1 - 1 - 1\ 故P=P】P『=2 1 2 . ' 0 0 4 ' (22)【解】(I )因为X〜E(l),所以X的分布函数为 (1 - e~x ,工 $ 0, FQ)= '0 x < 0, 9 Fz(z)= P{XY^z}= P{Y= -l}P{XY^z I Y = -1}+P{Y= l}P{XY^z I Y= 1} = pP{-X ^z} (1- p)P{X ^z} =pP{X z} + (1 — p)P{X w z} =/> 口 一 P {X W— z} 3 + (1 一 p) P {X Wz} = _p[l — F (— z)] + (l — p) F (z), 当 z VO 时,FZ (z) = pez ; 当 z N 0 时 ,Fz(z) = p +(1 — p)(l — J"), pez, z V 0, 故 7"z(z)= (1一/0亍,z 0.(n )Cov(X,Z) =Cov(X,XY) =E(X2y)-E(X)・ E(XY) = E(X2)E(y)- [E(X)]2E(Y) =D(X) • E(Y), 因为 X 〜E(l),所以 E(X) =1,D(X) =1, 又因为 Y 〜),所以 E(Y) =(-l)p + (1 - p) = l-2p, \ f> p' X与Z不相关的充分必要条件是Cov(X,Z) =0, 故当/> = -|-时,X与Z不相关. (HI)设FQ,z)为(X,Z)的联合分布函数, F(l,l) = P{X £ 1,Z W 1} = P{X £ 1,XY W 1} = P{Y = — 1}P{X < l,xy < 1 | Y = -l} + P{Y = 1}P{X £ 1,XY £ 1 | y = l} = pP{X < 1, - X < 1} + (l-p)P{X 1} = PP{—1WXW1} + (1 — /OP{XW1} = P{X < 1} =F(1) =1 ——, e Fx(l) =P{X < 1} =1 ——, e Fz(l)=p + (1-P)(l----), \ e > 因为F(l,l) H Fx(l) • Fz(l),所以X与Z不相互独立. (23)【解】(I )由归一性得 +°° A - ,+8 2 工—p ・+oo _d 1 = —e / dr =A e 2 d =A e 2 dt o +8 1 -4, 州人「+ 1 -T, 州人 _e 2dt=--A\ 8 —e 2dz =—-A, 0 a/2tT 2 J-°° 2 2 解得A = 7t (A川” (U)似然函数为L(<72) 取对数 In L (a2) =nln A — -yin a2 — 》(x,—汀, / 2(7 :=] 由其4n L/)=—善• g + S — = 0 得 da 厶 (5 乙 o t = i /的最大似然估计值为异=2 — ")2, n , = i 故“2的最大似然估计量为产=2£(X, — Gt