当前位置:首页>文档>2019数学二解析公众号,西米研考_27考研真题_考研数学一、二、三历年真题+考研数学资料(1994-2026)_考研数学真题(1987-2026)_考研数学历年真题(1987-2024)_考研数学二真题1987-2024

2019数学二解析公众号,西米研考_27考研真题_考研数学一、二、三历年真题+考研数学资料(1994-2026)_考研数学真题(1987-2026)_考研数学历年真题(1987-2024)_考研数学二真题1987-2024

  • 2026-04-16 15:03:42 2026-04-16 13:43:33

文档预览

2019数学二解析公众号,西米研考_27考研真题_考研数学一、二、三历年真题+考研数学资料(1994-2026)_考研数学真题(1987-2026)_考研数学历年真题(1987-2024)_考研数学二真题1987-2024
2019数学二解析公众号,西米研考_27考研真题_考研数学一、二、三历年真题+考研数学资料(1994-2026)_考研数学真题(1987-2026)_考研数学历年真题(1987-2024)_考研数学二真题1987-2024
2019数学二解析公众号,西米研考_27考研真题_考研数学一、二、三历年真题+考研数学资料(1994-2026)_考研数学真题(1987-2026)_考研数学历年真题(1987-2024)_考研数学二真题1987-2024
2019数学二解析公众号,西米研考_27考研真题_考研数学一、二、三历年真题+考研数学资料(1994-2026)_考研数学真题(1987-2026)_考研数学历年真题(1987-2024)_考研数学二真题1987-2024
2019数学二解析公众号,西米研考_27考研真题_考研数学一、二、三历年真题+考研数学资料(1994-2026)_考研数学真题(1987-2026)_考研数学历年真题(1987-2024)_考研数学二真题1987-2024
2019数学二解析公众号,西米研考_27考研真题_考研数学一、二、三历年真题+考研数学资料(1994-2026)_考研数学真题(1987-2026)_考研数学历年真题(1987-2024)_考研数学二真题1987-2024
2019数学二解析公众号,西米研考_27考研真题_考研数学一、二、三历年真题+考研数学资料(1994-2026)_考研数学真题(1987-2026)_考研数学历年真题(1987-2024)_考研数学二真题1987-2024
2019数学二解析公众号,西米研考_27考研真题_考研数学一、二、三历年真题+考研数学资料(1994-2026)_考研数学真题(1987-2026)_考研数学历年真题(1987-2024)_考研数学二真题1987-2024
2019数学二解析公众号,西米研考_27考研真题_考研数学一、二、三历年真题+考研数学资料(1994-2026)_考研数学真题(1987-2026)_考研数学历年真题(1987-2024)_考研数学二真题1987-2024
2019数学二解析公众号,西米研考_27考研真题_考研数学一、二、三历年真题+考研数学资料(1994-2026)_考研数学真题(1987-2026)_考研数学历年真题(1987-2024)_考研数学二真题1987-2024
2019数学二解析公众号,西米研考_27考研真题_考研数学一、二、三历年真题+考研数学资料(1994-2026)_考研数学真题(1987-2026)_考研数学历年真题(1987-2024)_考研数学二真题1987-2024
2019数学二解析公众号,西米研考_27考研真题_考研数学一、二、三历年真题+考研数学资料(1994-2026)_考研数学真题(1987-2026)_考研数学历年真题(1987-2024)_考研数学二真题1987-2024

文档信息

文档格式
pdf
文档大小
2.307 MB
文档页数
8 页
上传时间
2026-04-16 13:43:33

文档内容

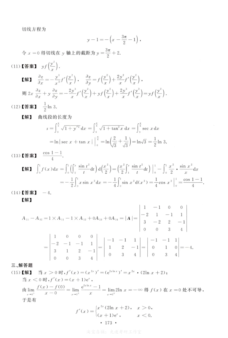
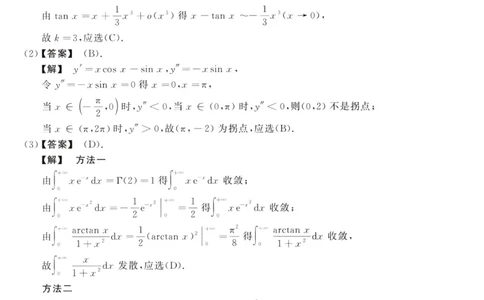
2019年数学(二)真题解析 一、选择题 (1) 【答案】(C). 【解】方法一 由lim工_向工=恤1 _ sec咯 =_£得工_ tan 〜_£工3(工一 °), 工 LO 3z 3 3 故工一 tan x为3阶无穷小量,即k = 3,应选(C). 方法二 由 tan x —x + £工3 + o (j: 3) 得 z — tan x ~----x3 (z — 0), «J o 故% = 3,应选(C). (2) 【答案】(E). 【解】 yf =x cos x 一 sin x x sin x ? ,夕〃 =— 令 x sin x = 0 得工 9 =7T, 夕〃=—— =。 工 当z € (-J,O )时,/< 0,当工e (0,7T)时V0,则(0,2)不是拐点; 当工G (冗,2兀)时,j/'>0,故(兀,一2)为拐点,应选(E). (3) 【答案】(D). 【解】方法一 r+°° f+8 由 x e_r djc = r(2 ) = 1 得 x e_r dj?收敛; J o J 0 f+°° 2 1 2 I +°° 1 r+°° 2 由 | x djr =----e~x =百得| x (£z 收敛; Z I o / J o arctan x . 1 . . , I +," x2 /曰 f+°° arctan x . 比心 --------- dx = —-(arctan jc )2 ==得 ------ ckz 收敛, 1 +/ 2 I o 8 Jo 1 +_z2 —~ dx发散,应选(D). 方法二 qr r+8 nr 由 l l + im 8 x • - 1 - - + -- - 工 -- 7 2 = 1且q=1W1得广义积分 Jo - 1 - + -- - X -dr发散9应选(D). (4) 【答案】(D). 【解】 微分方程:/' + ayr + by 的特征方程为A 2 + «A + 6 = 0 , 由y = (Ci + C2x )e_J + e"为微分方程的通解可知, 特征根为入i =入2 = — 1,则a = 2,b=l; 再由_y * = e"为微分方程y" + ayr -V by =ceJ的特解得c = 4 ,应选(D). (5) 【答案】(A). 【解】 由 / $ 0 时,sin / £ / 得 siny2 W Jx2 y2,从而 I2 V 4 ; X tv i 1 — cos \rJ^xr ~\+_ yr = 。 Zs • in2 --- /~ --- 2~ -十 ~ - I - - 》 -- - F = 2 o s i . n --- / - ~x - ~ - 2 - ~ - ~ 十 i - -夕--- F - • s . m - - J - / - ~x - - 2 - ~ - ~ 十 i - -- 》 -- F -9 • 171 • 淘宝店铺:光速考研工作室2 sin Jx2 + j2 = 2sin------------- • cos 2 , 沖空尹£ 空戸 由 x2 + y2 W W 0,于,从而si cos 2 于是 sin a/j ;2 + 夕 2 $ 1 一 COS 丿Z 2 + y1,故【3 <【2,应选(A). (6)【答案】(A). 【解】 若lim ---- =0,得 f(a) =g(a); — (x —a) 由 lim 八:)_弓¥ = 0 得 lim 八;)_ g'") = 0 ,从而 /' (a ) = / (a ); x~^a (X CL ) x~^a u\X CL ) 门 [=扛 由 0= tlin/G—巡◎= +応『(刃—/3—/&)—/(") a)—g 〃(泅 2 工—a x 一 a 2 工-^ |_ x 一 a x — a J L 得 f'\a ) =g"(a ), 即由lim ----"貨'=0可得/(je ) ,g (jc )在工=a处相切且曲率相等; —a (x 一 a) 反之,若/(a) = g(a) / (a) = g'(a) , | f (a) | = | g"(a) |,则不能保证lim ---- = 0, a (z — a) 故lim(O----'严)=0是y =/(z ) ,y =g (z )在=a对应点处相切且曲率相等的充分 工一 (jc 一 a ) a 不必要条件,应选(A). (7) 【答案】(A). 【解】 因为AX=0的基础解系中含2个解向量,所以r(A)=2<4, 故 r(A * ) =0,应选(A). (8) 【答案】(C). 【解】 令AX =AX(X 0), 由 A2 + A = 2E 得GV + A — 2E)X = (入 2 +入—2)X=0, 从而有入$+入一2=0,即入——2或入=1, 因为| A |=4,所以入1 =1,入2=入3= —2, 故二次型XAX的规范形为y{-yl-yl,应选(C). 二、填空题 (9) 【答案】4e2. 「 , ”” 匚,工小 -] 20+2"-1) 2 工 【解】lim(^ +2T)7 =lim (1 +z +2’ 一 I*) t =e f 0 x—*-0 ■0 = e2(1+ln2) eln4e2 =4e2. 3 TT (10) r答案】 y+ 2. 【解】t=罗对应曲线上的点为(罗+ 1,1), 护=严一,斜率为学I「T, djf 1 一 COS t ckz I i = y • 172 • 淘宝店铺:光速考研工作室切线方程为 厂1 一― 3 7T 令x =0得切线在y轴上的截距为y =— + 2. (11)【答案】 【解】 2v3 贝lj 2工了二+夕亍二 OX dy (12)【答案】 lln 3- 【解】 曲线段的长度为 s =『7TT产吐= a/1 + tan2 j? djc = sec x cLz J 00 J o 0 』彳+右)= 佔* = In | sec x + tan x | I 6 =1 1 111 3. 0 cos 1 1 (13)【答案】 一 4 【解】 /(jc )dj?= - s - i• - n - -- t. - 2 d , t s -- m・ -- -- t - 2 & . 1 X T 2 - s - i• - n - -- x -- 2 cLr t x 0 0 £ 1 _ COS 1 — 1 jc sin x2 x2 d(a:2) = —cos X 2 o 4 0 4 (14)【答案】一4. 【解】 1 _ 1 0 0 -2 1 _ 1 1 A 】】—A i2 = 1 X A n — 1 X A j2 + OA13 + 0A14 =丨 A 丨= 3 -2 2 -1 0 0 3 4 1 0 0 0 -1 —1 1 1 — 1 1 —2 --1 —1 1 _ _ —— 1 2 — 1 0 1 0 = — 4. 3 1 2 -1 0 3 4 0 3 4 0 0 3 4 三、解答题 (宀 In (15)【解】当 x > 0 时,f & )= / _ (/ e2x x 7 ) —X 2x • (21n x + 2); 当工 V 0 时,/z(jc: ) = (jc + l)e° 9 f (z) — f (0) . e2jlnx — 1 由lim =lim = lim 21n x = 一 00 得在 x =0处不可导, x*0- + 工 °------ 工一()+ x----------zfo+ 于是有 x2x (21n z + 2) 9 •Z 0 9 〉 (工 + l)e° 9 •z < 0. • 173 • 淘宝店铺:光速考研工作室/z(j? ) = 0或/(jr )的不可导的点为z = — 1,工= O,jc = +, 当工 <—1 时,/■'(#)< o;当一1 <工 v o 时,/■'&)> 0; 当o <工v丄时,/•'(#)V 0;当工〉丄时,/7x) > 0, e e 故工=-1为极小值点,极小值为/(-1) = 1 —丄; e 工=0为极大值点,极大值为f(0) =1; 2_ X =+为极小值点,极小值为/■(+)=&) • 人 3 工 +6 A B Cx + D (16)【解】 -------------------------------:-----------------------------------------------------—| ---------------------------------------------------------------- (JC — l)2(jf2 X + 1) X — \ (JC — 1 )2 J7 2 + JE + 1 由 AS — 1)(/ 十工 + 1)+BQ2 十工 +1) + (Ch +D)(工一1)2 = 3工 +6 得 A + C = 0, B -2C + D = 0, _B + C — 2D = 3 9 -A +B +D =6, 解得 A = —2,E =3,C=2,D =1,故 3«z + 6 —2 3 2工 +1 ------- 厂—9--------:— ckz (工一1)钦/ + x + 1) _x — \ (工一l)' 2 + + 1_ =—21n | x 一 1 |----------- + ln( j?2 + x + 1) + C. x 一 1 (17)【解】(I )夕=(]£ 寸—。2 •丿 dr + C)e '皿=J石 + C)e 2 , 2 由 y (1) =7e 得 C = 0 9 即 jy (z ) = \!~x e 2 ・ 「 TT 7T 2 f*2 2 2 I 2 (II )V = ny2(\x = TT x e djc =_ye^ = ~z~(e4 — e )・ (18)【解】 由对称性得 『—也 dy=『一 d. dy, 令$7込0,仔学owYsige),则 『 乂 +》…cLzdv = [T dd [S,n J sin Odr = + [池亦0皿 勺好寸 J7 J。 2Ji i 1 f9— COS ( n J = t i 广—生 T o o 丄—2“ °、八 = — (1 — cos 9) d(cos 6) =------ (1 — t ) dr 2 J专 /」T c匹 逕 = 2 (l-t2Ydt = 2 (1 - 2f2 +?)dz 43 120 • 174 • 淘宝店铺:光速考研工作室dn—1 r< 兀 (19)【解】S” =工(—1)“ (£+1) e sin x dz k=0 J 1kn 兀 - 1 r sin x + cos x ) 4 + 1) k 7t n-1 = 4Z:e-(^+e->4 e— kn 一e— 7T 1 1 + 2e-(l-e-)_^ 厶 k=0 / 2 l-e~ 故limS” = lim * + =y)- e-l=| + J. n*°°~ 1 — e u c — 1 "f8 匕 (20)【解】 字=^e“十 + aveax+by , 竺=丫严® +bvex+by , OX ox dy dy d2 u d2 v ,, dz) , , „ ,, —r = —+ 2a —eax+hy + 血严® , djc 3x 3x d2 u 32 zi 3d , ―7 = —veax+by + 26 —ex+by + b2ve^by , 3y 3y2 dy 代入已知等式得 □2 ? q2 q 2 ~^eax+/,y + 4a $严® + 2a2veax+by 一 2 —^eax+by - 46 ~eax+by — 2b2veax+hy + ox dy dy 3 ~^eax+by + 3aveax+hy + 3 ^eax+by + 3bveaj:+hy =0, ox dy 整理得 32 V 32 77 dy dv 9 9 2 -~2 一 2 -―- + (4a + 3) -----(3 — 4b) --------(2a 一 2b + 3a + 36)77 = 0, dx dy dy 由题意得m二解得a=—和=# (21)【证明】(I)令 F(乂)= f (t)dt 9 则 F‘(工)=*/ ( 乂)9 J 0 由拉格朗日中值定理得 1=| /(j;)djc =F(1) — F(0) = F,(c)(l — 0) = f (c) (0 0 2 r» 0 -1 1 '0 / — 1' /+3/ 4 0 当a = — 1时,向量组a 1 9 a 2 9a 3 的秩为2, 0 1\ /I 0 由 (01 902,03)= (1 2 0 1 1 得 P^P2 P 的秩为2, 3 2 0 0 /I 1 1 1 0 /I 1 1 1 0 1\ 3卜 fl2 ] 0 2 1 2 0 -1 1 0 2 2 (a 19a2 9a3 903) 4/ o' '4 4 4 2 2 0 0 -2 2 因为r(a1 ,a2 ,a3) H r(a 1 ‘a? ‘a?,力 ),所以两个向量组不等价; ,02 Z1 1 1 1 0 1\ /! 1 1 1 0 1\ 当 a =1 时 9(么1 9。2,。3,01 ,02 903) =1 0 2 1 2 3 -» 0 - 1 1 0 2 2 'o 0 o' '4 4 4 4 0 0 0 0 因为厂(a ] 9(^2 9(/3)=厂(01 902 903)-= r(a 9 a 2 ,a 901 9 卩 903 )= 2 9 3 2 所以两个向量组等价. 令 J: 2U 2 +工 。 1 tt 1 3 3 =03, 11 1 1 * 1 1 /I 0 2 3 \ 3卜 再由(CL 1 9 U 2 9。 3 ,卩 3)= h '4 0 4 4 2 J \ () ) - 0 1 0 1 o 2 ' - '0 0 1 — 0 1 一 0 2 / 得 方程组工 a =/h 的通解为 41 + ^202 + 3 3 /- 2 / — 2k + 3 + X = k 1 k -2 Ck为任意常数), 1 k 故 03 = (— 2k + 3)ot] + (怡一2)(X2 + ka3(b 为任意常数). 当a H 士 1时,向量组aa j] ,, aa 22 9,a , 的秩为3, 1 0 1 \ /I 0 1 /I 0 1 由 ,02 1 2 3 0 1 1 0 1 1 得 (01 ,03)= a + 3 1 — a a2 + 3 0 1 —a a2 a 0 0 a2 -1 一 向量组01,02,03的秩为3, /I 1 1 1 0 1 \ 再由(Ct] 9 OC 2901 902 903)= • 0 2 1 1 2 3 a2 +3/ '4 4 a 2 + 3 1 a + 3 1 a 一 I1 1 1 1 0 1 0 -1 1 :0 2 2 得 '0 0 a2 _ 1 :a 一 1 1 -a a2 一 1 r (a、i ci 2 ,® r (ft i ,02 =r(a j •> a 2 9a 3 90i 02,03) =3, 3) ‘03)= 故两个向量组等价. 令 + 工 215 + x2a2 303 =03, • 176 • 淘宝店铺:光速考研工作室1 1 1 1 1 1 1 1 由(a i , a 2,a 3,0Q = 11 0 2 3 0 —1 1 2 -1 4 a2 + 3 a2 + 3 0 0 a2 一 1 i a 2 —-F /I 1 1 1 /I 1 0 :0\ [1 0 0 : 1 \ 0 —1 1 2 0 -1 0 1 一 0 1 0 -1 得 1 0 0 1 1 0 0 1 1 1''0 0 1 1 1 P 3 a ] — a2 + a 3 (23)【解】( I )因为A〜B,所以 tr A = tr B ,即 z 4 =* +1,或 J = x —-5, 再由 | A | = | B | 得一 2(— 2jc + 4) = 一 2y ,即 y = 一 2x + 4, 解得 x = — 2. 厂2 -2 1 \ /2 1 0 \ (n)a = 2 3 -2 ,B =0 - 1 o r ' 0 -2丿 'o 0 一2/ 0 显然矩阵A,B 的特征值为A !==一2,入 2 =一 1,入 3 = 2 9 丄 0 I /O - 2 由 2E +A -* 2 1 X得A的属于特征值心=—2的特征向量为 1 7 0 0 ' 4 / I1 2 — 1 /I 2 O\ 4° 由 E +A t 0 1 一 0 0 1得A的属于特征值入2= —1的特征向量为 'o 'o 0」 0 0 0 得A的属于特征值入3 =2的特征向量为 0 -2 — -2 0 0 1 2,贝 iJPjAP] 0 —1 0 ' 4 0 0 ' 0 0 2 /4 1 °\ I1 0 °\ 由 2E+B= 0 1 0 - 1 0得B的属于特征值右=-2的特征向量为01 ==0 'o 'o 0 0 • 177 • 淘宝店铺:光速考研工作室1 [3 1 o o \ L 1 OQ 0 由 E +B ==0 0 0 o 1 得B的属于特征值入2 = —1的特征向量为 -1' '0 0 - 0 0 0, 02=| 3 ' 0丿 /° -1 °\ (0 1 °\ J 由 2E-B ==0 3 0 - 0 0 得B的属于特征值入2=2的特征向量为氏= 'o 'o o' 0 0 /° -1 七 1 一-2 0 0\ 令 P2 = 0 3 0 ,则 P7 BP = 0 - 1 0 , 4 0丿 \ 0 0 2/ 0 由 PT AP, =p- BP. 得(PiPj)TA(PiP^) =B, —1 — 1 — 1 故 P=P1PZ1 = 2 1 2 ' 0 0 4 • 178 • 淘宝店铺:光速考研工作室