当前位置:首页>文档>专题06细胞代谢(原卷版)_2024年新高考资料_2.2024二轮复习_2024年高考生物二轮热点题型归纳与变式演练(新高考通用)

专题06细胞代谢(原卷版)_2024年新高考资料_2.2024二轮复习_2024年高考生物二轮热点题型归纳与变式演练(新高考通用)

  • 2026-04-27 14:21:21 2026-04-27 14:21:21

文档预览

专题06细胞代谢(原卷版)_2024年新高考资料_2.2024二轮复习_2024年高考生物二轮热点题型归纳与变式演练(新高考通用)
专题06细胞代谢(原卷版)_2024年新高考资料_2.2024二轮复习_2024年高考生物二轮热点题型归纳与变式演练(新高考通用)
专题06细胞代谢(原卷版)_2024年新高考资料_2.2024二轮复习_2024年高考生物二轮热点题型归纳与变式演练(新高考通用)
专题06细胞代谢(原卷版)_2024年新高考资料_2.2024二轮复习_2024年高考生物二轮热点题型归纳与变式演练(新高考通用)
专题06细胞代谢(原卷版)_2024年新高考资料_2.2024二轮复习_2024年高考生物二轮热点题型归纳与变式演练(新高考通用)
专题06细胞代谢(原卷版)_2024年新高考资料_2.2024二轮复习_2024年高考生物二轮热点题型归纳与变式演练(新高考通用)
专题06细胞代谢(原卷版)_2024年新高考资料_2.2024二轮复习_2024年高考生物二轮热点题型归纳与变式演练(新高考通用)
专题06细胞代谢(原卷版)_2024年新高考资料_2.2024二轮复习_2024年高考生物二轮热点题型归纳与变式演练(新高考通用)
专题06细胞代谢(原卷版)_2024年新高考资料_2.2024二轮复习_2024年高考生物二轮热点题型归纳与变式演练(新高考通用)
专题06细胞代谢(原卷版)_2024年新高考资料_2.2024二轮复习_2024年高考生物二轮热点题型归纳与变式演练(新高考通用)
专题06细胞代谢(原卷版)_2024年新高考资料_2.2024二轮复习_2024年高考生物二轮热点题型归纳与变式演练(新高考通用)
专题06细胞代谢(原卷版)_2024年新高考资料_2.2024二轮复习_2024年高考生物二轮热点题型归纳与变式演练(新高考通用)
专题06细胞代谢(原卷版)_2024年新高考资料_2.2024二轮复习_2024年高考生物二轮热点题型归纳与变式演练(新高考通用)
专题06细胞代谢(原卷版)_2024年新高考资料_2.2024二轮复习_2024年高考生物二轮热点题型归纳与变式演练(新高考通用)
专题06细胞代谢(原卷版)_2024年新高考资料_2.2024二轮复习_2024年高考生物二轮热点题型归纳与变式演练(新高考通用)
专题06细胞代谢(原卷版)_2024年新高考资料_2.2024二轮复习_2024年高考生物二轮热点题型归纳与变式演练(新高考通用)
专题06细胞代谢(原卷版)_2024年新高考资料_2.2024二轮复习_2024年高考生物二轮热点题型归纳与变式演练(新高考通用)
专题06细胞代谢(原卷版)_2024年新高考资料_2.2024二轮复习_2024年高考生物二轮热点题型归纳与变式演练(新高考通用)
专题06细胞代谢(原卷版)_2024年新高考资料_2.2024二轮复习_2024年高考生物二轮热点题型归纳与变式演练(新高考通用)
专题06细胞代谢(原卷版)_2024年新高考资料_2.2024二轮复习_2024年高考生物二轮热点题型归纳与变式演练(新高考通用)

文档信息

文档格式
docx
文档大小
1.086 MB
文档页数
16 页
上传时间
2026-04-27 14:21:21

文档内容

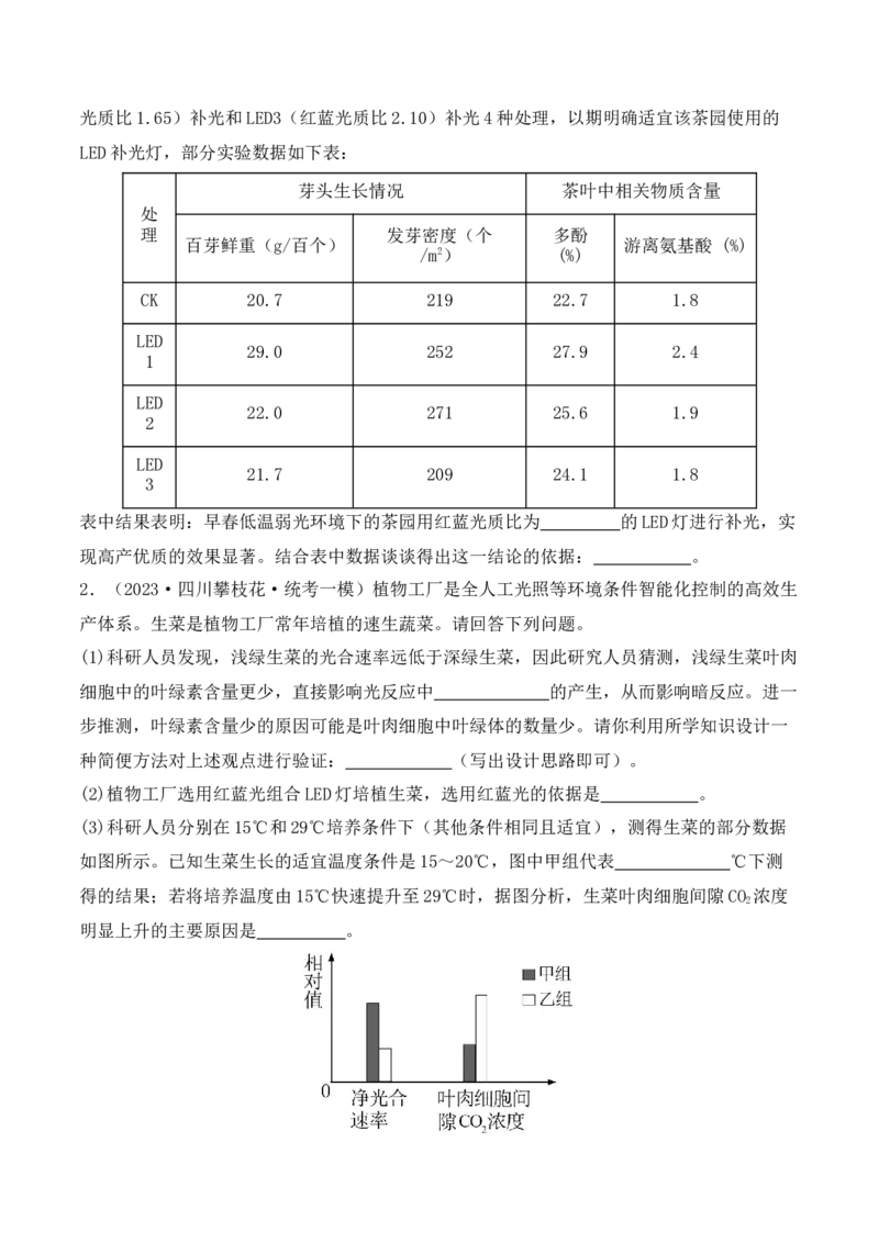
专题 06 细胞代谢 目 录 一、题型解读 二、热点题型归纳 【题型1】判断依据类 【题型2】原因分析类 【题型3】结果结论类 三、最新模考题组练 细胞代谢是高考试题的常客,选择题和非选择题都会有涉及,因此也是高三 复习的重点,非选择题因分值比较高,重点突破掌握相应的答题模板就显得尤 为重要了。细胞代谢的非选择题常见题型有:判断依据类、原因分析类和结果 结论类。 【题型1】判断依据类 【典例分析1】(2023·辽宁·统考高考真题)花生抗逆性强,部分品种可以在盐碱土区种 植。下图是四个品种的花生在不同实验条件下的叶绿素含量相对值(SPAD)(图1)和净光 合速率(图2)。回答下列问题:(3)在光照强度为500μmol·m2·s¹、无NaCl添加的条件下,LH12的光合速率 (填 “大于”“等于”或“小于")HH1的光合速率,判断的依据是 。 【提分秘籍】判断依据类解题思路: 1、在题干中找到“起因”和“结果指标” 2、是找“媒介”,用顺推法或逆推法找出“媒介”,其一般来源于题干或者教材知识。 【变式演练1-1】(2023·海南·高考真题)海南是我国火龙果的主要种植区之一、由于火龙 果是长日照植物,冬季日照时间不足导致其不能正常开花,在生产实践中需要夜间补光,使 火龙果提前开花,提早上市。某团队研究了同一光照强度下,不同补光光源和补光时间对火 龙果成花的影响,结果如图。回答下列问题。 (2)本次实验结果表明,三种补光光源中最佳的是 ,该光源的最佳补光时间是 小 时/天,判断该光源是最佳补光光源的依据是 。 【变式演练1-2】(2023·全国·统考高考真题)植物的气孔由叶表皮上两个具有特定结构 的保卫细胞构成。保卫细胞吸水体积膨大时气孔打开,反之关闭,保卫细胞含有叶绿体,在 光下可进行光合作用。已知蓝光可作为一种信号促进保卫细胞逆浓度梯度吸收K .有研究发 ⁺ 现,用饱和红光(只用红光照射时,植物达到最大光合速率所需的红光强度)照射某植物叶 片时,气孔开度可达最大开度的60%左右。回答下列问题。 (3)某研究小组发现在饱和红光的基础上补加蓝光照射叶片,气孔开度可进一步增大,因此他 们认为气孔开度进一步增大的原因是,蓝光促进保卫细胞逆浓度梯度吸收K+。请推测该研究 小组得出这一结论的依据是 。 【变式演练1-3】(2023·浙江·统考高考真题)叶片是给植物其他器官提供有机物的 “源”,果实是储存有机物的“库”。现以某植物为材料研究不同库源比(以果实数量与叶 片数量比值表示)对叶片光合作用和光合产物分配的影响,实验结果见表1。 表1 项目 甲组 乙组 丙组 处理 库源比 1/2 1/4 1/6单位叶面积叶绿素相对含量 78.7 75.5 75.0 净光合速率(μmol·m-2·s- 9.31 8.99 8.75 1) 果实中含13C光合产物(mg) 21.96 37.38 66.06 单果重(g) 11.81 12.21 19.59 注:①甲、乙、丙组均保留枝条顶部1个果实并分别保留大小基本一致的2、4、6片成熟叶, 用13CO 供应给各组保留的叶片进行光合作用。②净光合速率:单位时间单位叶面积从外界环 2 境吸收的13CO 量。 2 回答下列问题: (1)叶片叶绿素含量测定时,可先提取叶绿体色素,再进行测定。提取叶绿体色素时,选择乙 醇作为提取液的依据是 。 【题型2】原因分析类 【典例分析2】(2023·广东·统考高考真题)光合作用机理是作物高产的重要理论基础。 大田常规栽培时,水稻野生型(WT)的产量和黄绿叶突变体(ygl)的产量差异不明显,但在 高密度栽培条件下ygl产量更高,其相关生理特征见下表和图。(光饱和点:光合速率不再 随光照强度增加时的光照强度;光补偿点:光合过程中吸收的CO 与呼吸过程中释放的CO 等 2 2 量时的光照强度。 水稻材 叶绿素(mg/g) 类胡萝卜素(mg/g) 类胡萝卜素/叶绿素 料 WT 4.08 0.63 0.15 ygl 1.73 0.47 0.27分析图表,回答下列问题: (2)光照强度逐渐增加达到2000μmol m-2 s-1时,ygl的净光合速率较WT更高,但两者净光合 速率都不再随光照强度的增加而增加,比较两者的光饱和点,可得ygl WT(填“高 于”、“低于”或“等于”)。ygl有较高的光补偿点,可能的原因是叶绿素含量较低和 。 【提分秘籍】原因分析类解题思路: 1、在题干中找到“起因”和“结果” 2、是找“桥梁”,用顺推法或逆推法找出“桥梁”,其一般来源于题干或者教材中的相关知 识。 【变式演练2-1】(2022·重庆·统考高考真题)科学家发现,光能会被类囊体转化为“某 种能量形式”,并用于驱动产生ATP(如图I)。为探寻这种能量形式,他们开展了后续实验。 (1)制备类囊体时,提取液中应含有适宜浓度的蔗糖,以保证其结构完整,原因是 ; 为避免膜蛋白被降解,提取液应保持 (填“低温”或“常温”)。 (2)在图I实验基础上进行图II实验,发现该实验条件下,也能产生ATP。但该实验不能充分 证明“某种能量形式”是类囊体膜内外的H+浓度差,原因是 。 (3)为探究自然条件下类囊体膜内外产生H+浓度差的原因,对无缓冲液的类囊体悬液进行光、 暗交替处理,结果如图III所示,悬液的pH在光照处理时升高,原因是 。类囊体膜 内外的H+浓度差是通过光合电子传递和H+转运形成的,电子的最终来源物质是 。【变式演练2-2】(2022·山东·高考真题)强光条件下,植物吸收的光能若超过光合作用 的利用量,过剩的光能可导致植物光合作用强度下降,出现光抑制现象。为探索油菜素内酯 (BR)对光抑制的影响机制,将长势相同的苹果幼苗进行分组和处理,如表所示,其中试剂 L可抑制光反应关键蛋白的合成。各组幼苗均在温度适宜、水分充足的条件下用强光照射, 实验结果如图所示。 分组 处理 甲 清水 乙 BR 丙 BR+L (2)强光照射后短时间内,苹果幼苗光合作用暗反应达到一定速率后不再增加,但氧气的产生 速率继续增加。苹果幼苗光合作用暗反应速率不再增加,可能的原因有 、 (答 出2种原因即可);氧气的产生速率继续增加的原因是 。 【变式演练2-3】(2021·湖北·统考高考真题)北方农牧交错带是我国面积最大和空间尺 度最长的一种交错带。近几十年来,该区域沙漠化加剧,生态环境恶化,成为我国生态问题 最为严重的生系统类型之一。因此,开展退耕还林还草工程,已成为促进区域退化土地恢复 和植被重建改善土壤环境、提高土地生产力的重要生态措施之一研究人员以耕作的农田为对 照,以退耕后人工种植的柠条(灌木)林地、人工杨树林地和弃耕后自然恢复草地为研究样 地,调查了退耕还林与还草不同类型样地的地面节肢动物群落结构特征,调查结果如表所示。 总个体数量 常见类群数量 总类群数量 样地类型 优势类群(科) (只) (科) (科) 蜉金龟科、蚁科、步甲科和蠼 农田 45 6 10 螋科共4科 柠条林地 38 蚁科 9 10 杨树林地 51 蚁科 6 7 自然恢复 平腹蛛科、鳃金龟科、蝼蛄科 47 11 15 草地 和拟步甲科共4科回答下列问题: (4)杨树及甲、乙两种草本药用植物的光合速率与光照强度关系曲线如图所示。和甲相比,乙 更适合在杨树林下种植,其原因是 。 【题型3】结果结论类 【典例分析3】(2022·湖北·统考高考真题)不同条件下植物的光合速率和光饱和点(在 一定范围内,随光照强度的增加,光合速率增大,达到最大光合速率时的光照强度称为光饱 和点)不同,研究证实高浓度臭氧(O )对植物的光合作用有影响。用某一高浓度O 连续处 3 3 理甲、乙两种植物75天,在第55天、65天、75天分别测定植物净光合速率,结果如图1、 图2和图3所示。 【注】曲线1:甲对照组,曲线2:乙对照组,曲线3:甲实验组,曲线4:乙实验组。 回答下列问题: (2)与图3相比,图2中甲的实验组与对照组的净光合速率差异较小,表明 。 (3)从图3分析可得到两个结论:①O 处理75天后,甲、乙两种植物的 , 3 表明长时间高浓度的O 对植物光合作用产生明显抑制;②长时间高浓度的O 对乙植物的影响 3 3大于甲植物,表明 。 【提分秘籍】结果结论类解题思路: 1、在题干中找到“处理条件”和“实验结果” 2、分析本质,利用生物学原理进行分析。 【变式演练3-1】(2019·海南·统考高考真题)在适宜条件下,测得的某植物根细胞对a、 b两种物质的吸收速率与外界溶液中这两种物质浓度的关系如图所示(a、b两条曲线分别代 表植物根细胞对不同浓度a、b两种物质的吸收速率)。回答下列问题。 (3)王同学据图认为b的跨膜运输方式是主动运输,李同学认为是协助扩散。请设计实验确 定王同学的判断是否正确。要求简要写出实验思路、预期结果和结论 。 【变式演练3-2】(2012·重庆·高考真题)Ⅰ.长叶刺葵是棕榈科热带植物。为了解其引种 到重庆某地后的生理状况,某研究小组在水分充足、晴朗无风的夏日,观测得到了该植物光 合速率等生理指标日变化趋势图(题30图)。 (4)某研究小组将产生纤维素酶的菌株,通过诱变和高温筛选获得新菌株,为探究新菌株所产纤维素酶能否耐受80℃高温,进行了以下实验。 试管1 试管2 第一 加入适量缓冲液 加入等量纤维素酶溶液(缓冲液配制) 步 第二 30min 步 第三 加入 步 第四 60℃水浴保温10min 步 第五 加入 步 第六 沸水浴中加热2min,观察实验现象 步 结果与结论:①若 ,则表明该纤维素酶能耐受80℃高温; ②若 ,则表明该纤维素酶不能耐受80℃高温; 1.(2023·吉林·统考一模)产自西南的翠芽绿茶,鲜叶本身绿色,冲泡出的茶汤也是澄明 透亮。由于茶园地处高海拔的山区环境,早春温度低晴天少,导致茶树新梢生长缓慢,采摘 期延迟。据此回答下列问题: (1)研究者认为翠芽绿茶的茶叶鲜绿,是因为叶绿体中含有较多 色素,这可以通过 对比色素带的宽窄来证明。色素分离的原理是 。 (2)茶汤中含有的茶多酚,推测主要存在于叶肉细胞的 结构中。虽茶多酚有苦味和 涩味,但能抗氧化, 自由基,所以常饮茶可以延缓人体衰老。 (3)氨基酸影响茶汤的鲜爽味。为提高该茶的鲜爽度,可以考虑将茶树与豆科作物套种,好处 是 。 (4)早春晴天少,茶园补光采用红光和蓝光的主要原因是 。增光 有益于能量转化,其能量转化过程为: 。 (5)研究人员为给春茶高品质栽培提供理论依据和实践指导,在茶树新梢开始生长时进行夜间 不同光源补光处理(21d)。设夜间不补光(CK)、LED1(红蓝光质比0.81)补光、LED2(红蓝光质比1.65)补光和LED3(红蓝光质比2.10)补光4种处理,以期明确适宜该茶园使用的 LED补光灯,部分实验数据如下表: 芽头生长情况 茶叶中相关物质含量 处 理 发芽密度(个 多酚 百芽鲜重(g/百个) 游离氨基酸 (%) /m2) (%) CK 20.7 219 22.7 1.8 LED 29.0 252 27.9 2.4 1 LED 22.0 271 25.6 1.9 2 LED 21.7 209 24.1 1.8 3 表中结果表明:早春低温弱光环境下的茶园用红蓝光质比为 的LED灯进行补光,实 现高产优质的效果显著。结合表中数据谈谈得出这一结论的依据: 。 2.(2023·四川攀枝花·统考一模)植物工厂是全人工光照等环境条件智能化控制的高效生 产体系。生菜是植物工厂常年培植的速生蔬菜。请回答下列问题。 (1)科研人员发现,浅绿生菜的光合速率远低于深绿生菜,因此研究人员猜测,浅绿生菜叶肉 细胞中的叶绿素含量更少,直接影响光反应中 的产生,从而影响暗反应。进一 步推测,叶绿素含量少的原因可能是叶肉细胞中叶绿体的数量少。请你利用所学知识设计一 种简便方法对上述观点进行验证: (写出设计思路即可)。 (2)植物工厂选用红蓝光组合LED灯培植生菜,选用红蓝光的依据是 。 (3)科研人员分别在15℃和29℃培养条件下(其他条件相同且适宜),测得生菜的部分数据 如图所示。已知生菜生长的适宜温度条件是15~20℃,图中甲组代表 ℃下测 得的结果;若将培养温度由15℃快速提升至29℃时,据图分析,生菜叶肉细胞间隙CO 浓度 2 明显上升的主要原因是 。3.(2023·河北·统考三模)海南是我国火龙果的主要种植区之一、由于火龙果是长日照植 物,冬季日照时间不足导致其不能正常开花,在生产实践中需要夜间补光,使火龙果提前开 花,提早上市。某团队研究了同一光照强度下,不同补光光源和补光时间对火龙果成花的影 响,结果如图。 回答下列问题。 (1)火龙果中与光合作用有关的色素分布在 ,用纸层析法分离叶绿体色素的原理是 。 (2)本次实验结果表明,三种补光光源中最佳的是 ,该光源的最佳补光时间是 小时/天,判断该光源是最佳补光光源的依据是 。 (3)现有可促进火龙果增产的三种不同光照强度的白色光源,设计实验方案探究成花诱导完成 后提高火龙果产量的最适光照强度(简要写出实验思路)。 4.(2023·湖南郴州·统考一模)2020年9月,习近平总书记在第七十五届联合国大会上提 出:中国力争在2030年达到碳顶峰,到2060达到碳中和。为助力“碳顶峰”“碳中和”, 研究人员通过研究光呼吸拟通过在植物体内构建人工代谢途径进一步提高植物的固碳能力。 光呼吸与光合作用相伴发生,其过程如下图所示: (1)已知R酶具有双重催化功能,既可催化CO 与C 结合,生成C ;又能催化O 与 C 结合, ₂ ₅ 3 ₂ ₅生成C 和乙醇酸(C ),该过程称为光呼吸。生产实际中,可以通过适当升高 CO 浓度达到 ₃ ₂ ₂ 增产的目的,请从光合作用原理和R酶的作用特点两个方面解释其原理: 。 (2)R酶起作用的场所是 。干旱条件下,暗反应受到 (填“促进”或“抑制”),光 呼吸可以消耗光反应积累的 。 (3)研究人员利用水稻自身的基因成功构建了一条新的光呼吸支路,简称GOC支路,并成功将 支路导入水稻叶绿体,该支路的作用是使光呼吸的中间产物 C 直接在叶绿体内代谢释放CO , ₂ ₂ 显著提高了水稻的光合速率和产量。 请分析原因: 。 5.(2023·四川雅安·统考一模)仙人掌类等多种植物生长于热带干旱地区,而这种环境的 特点是白天炎热夜晚寒冷,这类植物经过长期进化发展出一套独特的生存策略:夜晚气孔开 放,吸收CO 并将其转化为苹果酸储存起来;白天为了减少蒸腾作用,气孔关闭,储存的苹果 2 酸在酶的催化下分解生成CO 用于光合作用。回答下列有关问题。 2 (1)植物光合作用过程十分复杂,根据 ,将光合作用过程概括地分为光反应和暗反 应两个阶段。 (2)仙人掌白天进行光合作用时消耗CO 的来源是 。为了验证仙人掌的生存策略, 2 简单的实验方法是检测高温干旱条件下,生活在密闭装置中的仙人掌,在白天和夜晚环境中 的净变化量来证明。 (3)黄昏时刻,光照不足会引起仙人掌叶绿体中NADPH与NADP+的比值会 ,理由是 。 (4)我们熟悉的多肉植物光合作用特点与仙人掌相同。有人认为夜晚将多肉植物置于卧室中有 利于净化空气。请利用以上信息,分析提出此观点最可能的原因。 。 6.(2023·湖南永州·统考一模)Fv/Fm(叶绿素荧光参数)可反映光反应中心光能转换效率,强光条件下叶片捕获的光能经常会超过“碳同化”所能利用的范围,叶片吸收的能量过 剩,会导致该参数明显下降,出现光抑制现象。某科研团队以纯合品种玉簪为材料进行了实 验,通过遮荫网(透光率为25%左右)遮荫处理8周,之后将部分植株转移至全日照下(转光 组,LHT),其余植株继续遮荫处理(弱光组,LT)。在不同时间,选取各组刚刚发育成熟的 叶片进行各项形态和生理指标的测定,得到如图所示结果。回答下列问题: (1)“碳同化”发生在叶绿体的 中,如果该过程减弱,就会 (填“加剧”或“减 弱”)光抑制现象。 (2)在测量光合作用速率时,发现LHT组有明显的“光合午休”现象,LHT组出现此现象的原 因有 (答出两点即可)。 (3)玉簪“光合午休”现象还与叶片中的M蛋白含量密切相关。研究表明:强光照会导致M蛋 白含量下降,水杨酸能减少M蛋白含量下降的幅度。请以玉簪为实验材料,设计实验验证此 结论,简要写出实验思路。 7.(2023·河北石家庄·统考三模)锑(Sb)是重金属元素,常以III和V两种价态存在。土 壤中Sb含量超标会影响植物的生长。科研人员研究了不同形态(价态和浓度)的Sb对水稻 光合作用关键蛋白的影响(CK为对照组,Sb浓度单位为mg/L,例:Sb(III)5表示浓度为 5mg/L的III价态Sb;关键蛋白基因相对表达量单位为mg/L,活性单位为nmol/min.mg), 结果如图所示。回答下列问题:(1)光反应关键蛋白①②③分布的具体场所为 。图1中与CK相比,3种光反应关 键蛋白基因相对表达量均上升的组别为 ,对光反应关键蛋白基因相对表达量均抑 制的组别为 。 (2)已知关键蛋白④能催化CO 固定,其发挥作用的场所为 。据图2分析可得出的 2 结论是 。综上所述,不同形态的Sb可能主要是通过影响 过程毒害光 合作用的。 (3)已知某植物对Sb有强耐受性,研究发现其生物膜上有转运Sb的蛋白,而且该蛋白数量越 多植物细胞对Sb的耐受能力越强,同时细胞吸水能力也越强。该蛋白应主要分布于细胞的 (填“液泡膜”或“细胞膜”)上,理由是 。 8.(2023·山东日照·校联考二模)研究人员在黑暗条件下将叶绿体的类囊体放入烧杯中, 人为调整类囊体膜两侧的pH,并适时加入适量的ADP和Pi(实验过程如下图),一段时间后 检测,只有实验组有ATP产生。 (1)制备类囊体时,提取液中应含有适宜浓度的蔗糖,以维持类囊体内外的 ,避免类 囊体破裂;同时,提取液中还需加入蛋白酶抑制剂,目的是 。 (2)由实验结果推断,实验组合成ATP的能量来源于 。 (3)在上述实验的基础上,研究人员又继续进行了如下实验,一段时间后检测,两组均无ATP 产生。综合分析两次实验结果,可得出的实验结论是 。 9.(2023·黑龙江大庆·三模)自然水体中的无机碳主要以CO 和HCO -等形式存在,随着一 2 3 天之中水体pH的变化,不同形式的无机碳之间可以相互转化,CO 在一天之中的浓度可以相 2 差百倍。为了适应水体的无机碳环境,沉水植物经过长期进化形成了多种浓缩CO 的机制。请 2 回答下列问题: (1)有些沉水植物可吸收HCO -,并将其转化为CO 用于光合作用,具体过程见下图。据图分析, 3 2 细胞吸收HCO -的方式为 。Rubisco是光合作用中的一种关键酶,它所催化的具体反应名 3 称是 ,该反应发生的具体场所是 。 (2)有些沉水植物在CO 浓度较低时可进行C 途径,即CO 先在磷酸烯醇式丙酮酸羧化酶 2 4 2 (PEPC)的催化下与磷酸烯醇式丙酮酸(PEP)反应生成C (四碳化合物),当C 储存到一定 4 4 量时分解放出足够的CO ,在Rubisco的催化下参与暗反应。据此过程推测PEPC对CO 亲和力 2 2 (填“高于”或“低于”)Rubisco。进行暗反应需要光反应提供的物质是 。 (3)若海水中的CO 浓度持续升高会导致水体酸化,影响水生植物生长。为探究海水CO 浓度 2 2 对水生植物光合作用的影响及其原理,科研人员利用CO 浓度不同的海水分别培养某种水生植 2 物,测定相关指标,结果见下表: CO 浓度 CO 固定速率 Rubisco活性 光反应的电子传 组别 2 2 (μmol/L) (mg/g·h) (IU) 递效率(%) 正常海水(pH=8. 20.65 3.85 4.1 61.16 1)充入少量CO 的海 2 400.59 5.89 3.9 97.07 水(pH=6.8) 充入大量CO 的海 2 8000.29 3.08 1.9 38.49 水(pH=5.5) 据表可得出的实验结论是: 。