文档内容
军队文职人员招聘《数学3》模拟试题三
即刻题库 www.jike.vip
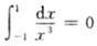
1 、 单选题
A :
B :
C :
D :
2 、 单选题
设f(x)和g(x)在(-∞,+∞)内可导,且f(x)<g(x),则必有()
A : f(-x)>g(-x)
B : f′(x)<g′(x)
C :
D :
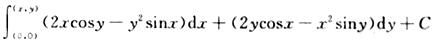
3 、 单选题
A :
B :
C :
D :
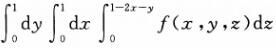
4 、 单选题
A : 不存在
B : 仅含一个非零解向量
C : 含有二个线性无关解向量
D : 含有三个线性无关解向量
5 、 单选题
设函数f(x),g(x)是大于零的可导函数,且f′(x)g(x)-f(x)g′(x)<0,则当a<x<b时有()
A : f(x)g(b)>f(b)g(x)
B : f(x)g(a)>f(a)g(x)
C : f(x)g(x)>f(b)g(b)
D : f(x)g(x)>f(a)g(a)
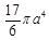
6 、 单选题
A : 0
B : 1
C : -1
D : 1/27 、 单选题
A :
B :
C :
D :
8 、 单选题
若向量组α,β,γ线性无关,α,β,σ线性相关,则()。
A : α必可由β,γ,σ线性表示
B : σ必可由α,β,γ线性表示
C : α必不可由β,γ,σ线性表示
D : σ必不可由α,β,γ线性表示
9 、 单选题
若n阶矩阵A,B有共同的特征值,且各有n个线性无关的特征向量,则()
A : A与B相似
B :
C : A=B
D : A与B不一定相似,但|A|=|B|
10 、 单选题A :
B :
C :
D :
11 、 单选题
A :
B : a
C :
D :
12 、 单选题
设f(x)是连续的偶函数,则其原函数F(x)一定是()
A : 偶函数
B : 奇函数
C : 非奇非偶函数
D : 有一个是奇函数
13 、 单选题
A :
B :
C :
D :
14 、 单选题
A : 1
B : 2
C : 3
D : 0
15 、 单选题
A : x=0必是g(x)的第一类间断点
B : x=0必是g(x)的第二类间断点
C : x=0必是g(x)的连续点
D : g(x)在点x=0处的连续性与a的取值有关
16 、 单选题
设f(x)可导,F(x)=f(x)[1-ln(1+x)],则f(0)=0是F(x)在x=0处可导的()
A : 充分必要条件
B : 充分但非必要条件
C : 必要但非充分条件
D : 既非充分条件也非必要条件
17 、 单选题设f(t)为连续函数,a是常数,则下列结论中正确的是().
A :
B :
C :
D :
18 、 单选题
设函数f(x)在点x=O的某邻域内具有连续的二阶导数,且f′(0)=f″(0)=0,则()
A : 点x=0为f(x)的零点
B : 点x=0为f(x)的极值点
C :
D :
19 、 单选题
A :
B :
C :
D :
20 、 单选题
设f(x)在(-∞,+∞)内连续,则()为正确的.
A :
B :
C :
D :
21 、 单选题
A : 1
B : 2
C : 3
D : 4
22 、 单选题
设f(x)=|x(1-x)|,则().
A : x=0是f(x)的极值点,但(0,0)不是曲线y=f(x)的拐点
B : x=0不是f(x)的极值点,但(0,0)是曲线y=f(x)的拐点
C : x=0是f(x)的极值点,且(0,0)是曲线y=f(x)的拐点
D : x=0不是f(x)的极值点,(0,0)也不是曲线y=f(x)的拐点
23 、 单选题A : λ=1
B : λ≠1
C : λ=2
D : λ≠2
24 、 单选题
A : 4
B : 3
C : 2
D : l
25 、 单选题
设A、B都是n阶非零矩阵,且AB=0,则A和B的秩
A : 必有一个等于零
B : 都小于n
C : 一个小于n,一个等于n
D : 都等于n
26 、 单选题
A : 奇函数
B : 偶函数
C : 周期函数
D : 单调函数
27 、 单选题
A : 0
B : 1
C :
D :
28 、 单选题
设n元齐次线性方程组Ax=0的系数矩阵A的秩为r,则Ax=0有非零解的充要条件为()。
A : r=n
B : r<n
C : r≥n
D : r>n
29 、 单选题
A :
B :
C :
D :
30 、 单选题
A :
B :
C :
D :
31 、 单选题
A :
B :
C :
D :
32 、 单选题
A :
B :
C :
D :
33 、 单选题
设f(x)处处可导,则()
A :
B :
C :
D :
34 、 单选题
A : 0
B : f(x+b)
C : f(x+b)-f(x+a)
D : f(b+t)-f(a+t)
35 、 单选题
A : 充分必要条件
B : 必要但非充分条件
C : 充分但非必要条件
D : 既非充分又非必要条件
36 、 单选题A : 存在且一定为0
B : 存在且一定不为0
C : 一定不存在
D : 不一定存在
37 、 单选题
A : -1
B : 1
C : 0
D : ∞
38 、 单选题
A :
B :
C :
D :
39 、 单选题
A :
B :
C :
D :
40 、 单选题
A : x=0,x=1都是f(x)的第一类间断点
B : x=0,x=1都是f(x)的第二类间断点
C : x=0是f(x)的第一类间断点,x=1是f(x)的第二类间断点
D : x=0是f(x)的第二类间断点,x=1是f(x)的第一类间断点
41 、 单选题
A :
B :
C :
D :
42 、 单选题
A : 0
B : 1C :
D : 不存在
43 、 单选题
A :
B :
C :
D :
44 、 单选题
A :
B :
C :
D :
45 、 单选题
A : 无解
B : 必有无穷多解
C : 只有唯一解
D : 有解
46 、 单选题
A : 对任意闭曲线L,I=0
B : 在L为不含原点在内的闭区域的边界线时I=0
C :
D : 在L含原点在内时I=0,不含原点时I≠0
47 、 单选题
A : -1
B : 0.1
C : 1
D : 0.5
48 、 单选题
A :
B :
C :
D :
49 、 单选题
A : x=0是函数y=g(x)的驻点,且是极大值点
B : x=0是函数y=g(x)的驻点,且是极小值点
C : x=0不是函数y=g(x)的驻点
D : 存在x=O的一个小邻域,y=g(x)是单调的
50 、 单选题
下列矩阵中,A和B相似的是()。
A :
B :
C :
D :
51 、 单选题
与n阶单位矩阵E相似的矩阵是
A :
B : 对角矩阵D(主对角元素不为1)
C : 单位矩阵E
D : 任意n阶矩阵A
52 、 单选题当x→0时,下列哪一个无穷小是x的三阶无穷小。()
A :
B :
C :
D :
53 、 单选题
设A,B是n阶方阵,且秩A=秩B,则
A : 秩(A-B)=0
B : 秩(A+B)=2秩A
C : 秩(A-B)=2秩A
D : 秩(A+B)秩A+秩B
54 、 单选题
A : 必是奇函数
B : 必是偶函数
C : 是非奇非偶函数
D : 可能是奇函数也可能是偶函数
55 、 单选题
A : π/5
B : π/2
C : π/3
D : π/4
56 、 单选题
设A为n阶方阵,则以下结论正确的是()。A :
B : A的特征向量的任一组合仍为A的特征向量
C :
D : 零向量是A的特征向量
57 、 单选题
A : 0
B : 1
C : 2
D : 3
58 、 单选题
设A、B都是n阶方阵,下面结论正确的是
A : 若A、B均可逆,则A+B可逆.
B : 若A、B均可逆,则AB可逆.
C : 若A+B可逆,则A-B可逆.
D : 若A+B可逆,则A,B均可逆.
59 、 单选题
当x→0时,变量是()
A : 无穷小量
B : 无穷大量
C : 有界的但不是无穷小
D : 无界的但不是无穷大
60 、 单选题
设f(0)=0,则f(x)在x=0可导的充要条件为().
A :
B :
C :
D :
61 、 单选题
A : ①②③
B : ②③
C : ①③④
D : ②④
62 、 单选题
A : 0
B : 1
C : 2
D : 3
63 、 单选题
A : 0
B : 1/2
C : 1
D : 3/2
64 、 单选题
A :
B :
C :
D :
65 、 单选题
A : 1
B : 0
C : 1/6
D : 1/8
66 、 单选题
A : f(0)是f(x)的极大值
B : f(0)是f(x)的极小值
C : f(0)不是f(x)的极值
D : 不能判定f(0)是否为极值
67 、 单选题
A : 0≤k<2
B : 0≤k<1
C : 0≤k<3
D : 0≤k<4
68 、 单选题
A : 1
B : 2
C : 3D : 4
69 、 单选题
若f(x)=-f(-x),在(0,+∞)内f′(x)>0,f″(x)>0,则在(-∞,0)内()
A : f′(x)<f″(x)<0
B : f′(x)<f″(x)>0
C : f″(x)<0<f′(x)
D : f′(x)>f″(x)>0
70 、 单选题
A :
B :
C :
D :
71 、 单选题
A :
B :
C :
D :
72 、 单选题
A : -1/2
B : -1/3
C : 5/2
D : 3/2
73 、 单选题
A : a=-2,b=2
B : a=2,b=-2
C : a=-1,b=1
D : a=1,b=-1
74 、 单选题
A :
B :
C :
D :
75 、 单选题
A :
B :
C :
D :
76 、 单选题
A :
B :
C :
D :
77 、 判断题
若A是m×n矩阵,且m≠n,则当R(A)=n时,非齐次线性方程组AX=b,有唯一解
A : 对
B : 错78 、 判断题
A : 对
B : 错
79 、 判断题
设AB为门阶方阵,若AB等价,则AB相似
A : 对
B : 错
80 、 判断题
A : 对
B : 错
81 、 判断题
若A是m×n矩阵,且m≠n,则当R(A)=m时,非齐次线性方程组AX=b,有解
A : 对
B : 错
82 、 判断题
A : 对
B : 错
B :
C :
D :
2 、 单选题
设f(x)和g(x)在(-∞,+∞)内可导,且f(x)<g(x),则必有()
A : f(-x)>g(-x)
B : f′(x)<g′(x)
C :
D :
3 、 单选题
A :
B :
C :
D :
4 、 单选题
A : 不存在
B : 仅含一个非零解向量
C : 含有二个线性无关解向量
D : 含有三个线性无关解向量
5 、 单选题
设函数f(x),g(x)是大于零的可导函数,且f′(x)g(x)-f(x)g′(x)<0,则当a<x<b时有()
A : f(x)g(b)>f(b)g(x)
B : f(x)g(a)>f(a)g(x)
C : f(x)g(x)>f(b)g(b)
D : f(x)g(x)>f(a)g(a)
6 、 单选题
A : 0
B : 1
C : -1
D : 1/27 、 单选题
A :
B :
C :
D :
8 、 单选题
若向量组α,β,γ线性无关,α,β,σ线性相关,则()。
A : α必可由β,γ,σ线性表示
B : σ必可由α,β,γ线性表示
C : α必不可由β,γ,σ线性表示
D : σ必不可由α,β,γ线性表示
9 、 单选题
若n阶矩阵A,B有共同的特征值,且各有n个线性无关的特征向量,则()
A : A与B相似
B :
C : A=B
D : A与B不一定相似,但|A|=|B|
10 、 单选题A :
B :
C :
D :
11 、 单选题
A :
B : a
C :
D :
12 、 单选题
设f(x)是连续的偶函数,则其原函数F(x)一定是()
A : 偶函数
B : 奇函数
C : 非奇非偶函数
D : 有一个是奇函数
13 、 单选题
A :
B :
C :
D :
14 、 单选题
A : 1
B : 2
C : 3
D : 0
15 、 单选题
A : x=0必是g(x)的第一类间断点
B : x=0必是g(x)的第二类间断点
C : x=0必是g(x)的连续点
D : g(x)在点x=0处的连续性与a的取值有关
16 、 单选题
设f(x)可导,F(x)=f(x)[1-ln(1+x)],则f(0)=0是F(x)在x=0处可导的()
A : 充分必要条件
B : 充分但非必要条件
C : 必要但非充分条件
D : 既非充分条件也非必要条件
17 、 单选题设f(t)为连续函数,a是常数,则下列结论中正确的是().
A :
B :
C :
D :
18 、 单选题
设函数f(x)在点x=O的某邻域内具有连续的二阶导数,且f′(0)=f″(0)=0,则()
A : 点x=0为f(x)的零点
B : 点x=0为f(x)的极值点
C :
D :
19 、 单选题
A :
B :
C :
D :
20 、 单选题
设f(x)在(-∞,+∞)内连续,则()为正确的.
A :
B :
C :
D :
21 、 单选题
A : 1
B : 2
C : 3
D : 4
22 、 单选题
设f(x)=|x(1-x)|,则().
A : x=0是f(x)的极值点,但(0,0)不是曲线y=f(x)的拐点
B : x=0不是f(x)的极值点,但(0,0)是曲线y=f(x)的拐点
C : x=0是f(x)的极值点,且(0,0)是曲线y=f(x)的拐点
D : x=0不是f(x)的极值点,(0,0)也不是曲线y=f(x)的拐点
23 、 单选题A : λ=1
B : λ≠1
C : λ=2
D : λ≠2
24 、 单选题
A : 4
B : 3
C : 2
D : l
25 、 单选题
设A、B都是n阶非零矩阵,且AB=0,则A和B的秩
A : 必有一个等于零
B : 都小于n
C : 一个小于n,一个等于n
D : 都等于n
26 、 单选题
A : 奇函数
B : 偶函数
C : 周期函数
D : 单调函数
27 、 单选题
A : 0
B : 1
C :
D :
28 、 单选题
设n元齐次线性方程组Ax=0的系数矩阵A的秩为r,则Ax=0有非零解的充要条件为()。
A : r=n
B : r<n
C : r≥n
D : r>n
29 、 单选题
A :
B :
C :
D :
30 、 单选题
A :
B :
C :
D :
31 、 单选题
A :
B :
C :
D :
32 、 单选题
A :
B :
C :
D :
33 、 单选题
设f(x)处处可导,则()
A :
B :
C :
D :
34 、 单选题
A : 0
B : f(x+b)
C : f(x+b)-f(x+a)
D : f(b+t)-f(a+t)
35 、 单选题
A : 充分必要条件
B : 必要但非充分条件
C : 充分但非必要条件
D : 既非充分又非必要条件
36 、 单选题A : 存在且一定为0
B : 存在且一定不为0
C : 一定不存在
D : 不一定存在
37 、 单选题
A : -1
B : 1
C : 0
D : ∞
38 、 单选题
A :
B :
C :
D :
39 、 单选题
A :
B :
C :
D :
40 、 单选题
A : x=0,x=1都是f(x)的第一类间断点
B : x=0,x=1都是f(x)的第二类间断点
C : x=0是f(x)的第一类间断点,x=1是f(x)的第二类间断点
D : x=0是f(x)的第二类间断点,x=1是f(x)的第一类间断点
41 、 单选题
A :
B :
C :
D :
42 、 单选题
A : 0
B : 1C :
D : 不存在
43 、 单选题
A :
B :
C :
D :
44 、 单选题
A :
B :
C :
D :
45 、 单选题
A : 无解
B : 必有无穷多解
C : 只有唯一解
D : 有解
46 、 单选题
A : 对任意闭曲线L,I=0
B : 在L为不含原点在内的闭区域的边界线时I=0
C :
D : 在L含原点在内时I=0,不含原点时I≠0
47 、 单选题
A : -1
B : 0.1
C : 1
D : 0.5
48 、 单选题
A :
B :
C :
D :
49 、 单选题
A : x=0是函数y=g(x)的驻点,且是极大值点
B : x=0是函数y=g(x)的驻点,且是极小值点
C : x=0不是函数y=g(x)的驻点
D : 存在x=O的一个小邻域,y=g(x)是单调的
50 、 单选题
下列矩阵中,A和B相似的是()。
A :
B :
C :
D :
51 、 单选题
与n阶单位矩阵E相似的矩阵是
A :
B : 对角矩阵D(主对角元素不为1)
C : 单位矩阵E
D : 任意n阶矩阵A
52 、 单选题当x→0时,下列哪一个无穷小是x的三阶无穷小。()
A :
B :
C :
D :
53 、 单选题
设A,B是n阶方阵,且秩A=秩B,则
A : 秩(A-B)=0
B : 秩(A+B)=2秩A
C : 秩(A-B)=2秩A
D : 秩(A+B)秩A+秩B
54 、 单选题
A : 必是奇函数
B : 必是偶函数
C : 是非奇非偶函数
D : 可能是奇函数也可能是偶函数
55 、 单选题
A : π/5
B : π/2
C : π/3
D : π/4
56 、 单选题
设A为n阶方阵,则以下结论正确的是()。A :
B : A的特征向量的任一组合仍为A的特征向量
C :
D : 零向量是A的特征向量
57 、 单选题
A : 0
B : 1
C : 2
D : 3
58 、 单选题
设A、B都是n阶方阵,下面结论正确的是
A : 若A、B均可逆,则A+B可逆.
B : 若A、B均可逆,则AB可逆.
C : 若A+B可逆,则A-B可逆.
D : 若A+B可逆,则A,B均可逆.
59 、 单选题
当x→0时,变量是()
A : 无穷小量
B : 无穷大量
C : 有界的但不是无穷小
D : 无界的但不是无穷大
60 、 单选题
设f(0)=0,则f(x)在x=0可导的充要条件为().
A :
B :
C :
D :
61 、 单选题
A : ①②③
B : ②③
C : ①③④
D : ②④
62 、 单选题
A : 0
B : 1
C : 2
D : 3
63 、 单选题
A : 0
B : 1/2
C : 1
D : 3/2
64 、 单选题
A :
B :
C :
D :
65 、 单选题
A : 1
B : 0
C : 1/6
D : 1/8
66 、 单选题
A : f(0)是f(x)的极大值
B : f(0)是f(x)的极小值
C : f(0)不是f(x)的极值
D : 不能判定f(0)是否为极值
67 、 单选题
A : 0≤k<2
B : 0≤k<1
C : 0≤k<3
D : 0≤k<4
68 、 单选题
A : 1
B : 2
C : 3D : 4
69 、 单选题
若f(x)=-f(-x),在(0,+∞)内f′(x)>0,f″(x)>0,则在(-∞,0)内()
A : f′(x)<f″(x)<0
B : f′(x)<f″(x)>0
C : f″(x)<0<f′(x)
D : f′(x)>f″(x)>0
70 、 单选题
A :
B :
C :
D :
71 、 单选题
A :
B :
C :
D :
72 、 单选题
A : -1/2
B : -1/3
C : 5/2
D : 3/2
73 、 单选题
A : a=-2,b=2
B : a=2,b=-2
C : a=-1,b=1
D : a=1,b=-1
74 、 单选题
A :
B :
C :
D :
75 、 单选题
A :
B :
C :
D :
76 、 单选题
A :
B :
C :
D :
77 、 判断题
若A是m×n矩阵,且m≠n,则当R(A)=n时,非齐次线性方程组AX=b,有唯一解
A : 对
B : 错78 、 判断题
A : 对
B : 错
79 、 判断题
设AB为门阶方阵,若AB等价,则AB相似
A : 对
B : 错
80 、 判断题
A : 对
B : 错
81 、 判断题
若A是m×n矩阵,且m≠n,则当R(A)=m时,非齐次线性方程组AX=b,有解
A : 对
B : 错
82 、 判断题
A : 对
B : 错