文档内容
军队文职人员招聘《数学3》模拟试题一
即刻题库 www.jike.vip
1 、 单选题
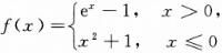
A :
B :
C :
D :
2 、 单选题
A :
B :
C :
D :
3 、 单选题
A :
B :
C :
D :
4 、 单选题
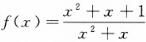
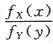
下面哪个函数在其定义域内不连续()。
A :
B :
C :
D :
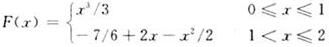
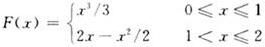
5 、 单选题A : 递增且为凹弧
B : 递增且为凸弧
C : 递减且为凹弧
D : 递减且为凸弧
6 、 单选题
A :
B :
C :
D :
7 、 单选题
A :
B :
C :
D :
8 、 单选题
A : 无实根
B : 有唯一实根
C : 有三个不同实根
D : 有五个不同实根
9 、 单选题
A :
B :
C :
D :
10 、 单选题
A : f′(x)
B : f′(0)
C : f(0)
D : 1/2f(0)
11 、 单选题A :
B :
C :
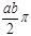
D :
12 、 单选题
A : 秩A=秩B
B :
C :
D :
13 、 单选题
A :
B :
C :
D :
14 、 单选题
A : 不可导f′(0)=2
B : 可导且
C : 取得极大值
D : 取得极小值
15 、 单选题
A : 3
B : 2
C : 1
D : 0
16 、 单选题
A : 间断点
B : 连续而不可导的点
C : 可导的点,且f′(0)=0
D : 可导的点,且fσ(0)≠0
17 、 单选题
A : a<0,b<0
B : a>0,b>0
C : a≤0,b>0
D : a≥0,b<018 、 单选题
A :
B :
C :
D :
19 、 单选题
A : a=-1/16,b=3/4
B : a=1/16,b=1/4
C : a=-1,b=9/2
D : a=1,b=-7/2
20 、 单选题
A :
B :
C :
D :
21 、 单选题
设u=2xy-z2,则u在点(2,-1,1)处的方向导数的最大值为()
A :
B : 4
C : {-2,-4,-2}
D : 6
22 、 单选题
A : f(0)=0
B : f(0)=2
C : f(0)=1
D : f(0)=-1
23 、 单选题
A :
B :
C :
D :
24 、 单选题
A : A的任意m个列向量必线性无关B : A的任意一个m阶子式不等于零
C : 若矩阵B满足BA=0,则B=0
D :
25 、 单选题
A : 连续点
B : 可去间断点
C : 跳跃间断点
D : 无穷间断点
26 、 单选题
A :
B :
C :
D :
27 、 单选题
A :
B :
C :
D :
28 、 单选题
A : 充分但不必要条件
B : 必要但非充分条件
C : 充分必要条件
D : 既非充分也非必要条件
29 、 单选题
A : 1条
B : 2条
C : 3条
D : 4条
30 、 单选题
A :
B :
C :
D :
31 、 单选题
A : 充分必要条件
B : 充分不必要条件
C : 必要非充分条件
D : 既不充分也不必要条件
32 、 单选题
A :
B :
C :
D :
33 、 单选题
A : -3π/2
B : 0C : 2π/3
D : 3π/2
34 、 单选题
A : 没有渐近线
B : 仅有水平渐近线
C : 仅有垂直渐近线
D : 既有水平渐近线又有垂直渐近线
35 、 单选题
下列各式不等于零的是()
A :
B :
C :
D :
36 、 单选题
A :
B :
C :
D :
37 、 单选题
A :
B :
C :
D :
38 、 单选题
A : 极限不存在
B : 极限存在但不连续
C : 连续但不可导
D : 可导
39 、 单选题
A : 等价无穷小
B : 同阶但非等价的无穷小
C : 高阶无穷小
D : 低阶无穷小40 、 单选题
下列反常积分发散的是()。
A :
B :
C :
D :
41 、 单选题
A : x+y
B : x-y
C :
D :
42 、 单选题
A : 只能确定一个具有连续偏导数的隐函数z=z(x,y)
B : 可确定两个具有连续偏导数的隐函数y=y(x,y)和z=z(x,y)
C : 可确定两个具有连续偏导数的隐函数x=x(x,y)和z=z(x,y)
D : 可确定两个具有连续偏导数的隐函数x=x(y,z)和y=y(x,z)
43 、 单选题A : 无穷间断点
B : 跳跃间断点
C : 可去间断点
D : 连续点
44 、 单选题
A : -2xdx
B :
C :
D :
45 、 单选题
A :
B :
C : 1/2
D : -1/2
46 、 单选题
A :
B :
C :
D :
47 、 单选题
A : 不连续
B : 连续但不可导
C : 可导且f′(0)=0
D : 可导且f′(0)=1
48 、 单选题
A : 连续的
B :
C : 二重极限不存在
D :
49 、 单选题
A : f″(0)=1
B : f″(0)=0.5
C : f″(0)=0D : 不存在
50 、 单选题
A : f(x)与x是等价无穷小量
B : f(x)与x是同阶但非等价无穷小量
C : f(x)是比x较高阶的无穷小量
D : f(x)是比x较低阶的无穷小量
51 、 单选题
实二次型矩阵A正定的充分必要条件是()。
A : 二次型的标准形的n个系数全为正
B : |A|>0
C : 矩阵A的特征值为2
D : r(A)=n
52 、 单选题
A : 只有垂直渐近线
B : 只有水平渐近线
C : 无渐近线
D : 有一条水平渐近线和一条垂直渐近线
53 、 单选题
A : 0
B : A
C : 1.5A
D : 2A
54 、 单选题
矩阵A()时可能改变其秩.
A : 转置
B : 初等变换C : 乘以奇异矩阵
D : 乘以非奇异矩阵
55 、 单选题
A : 存在但不连续
B : 不存在
C : 不仅存在而且连续
D : 无穷大
56 、 单选题
A : abπ
B :
C : (a+b)π
D :
57 、 单选题
设A为m×n矩阵,C是n阶可逆矩阵,矩阵A的秩为r1,矩阵B=AC的秩为r,则
A :
B :
C :
D :
58 、 单选题
A : F(3)=-3/4F(-2)
B : F(3)=5/4F(2)
C : F(-3)=3/4F(2)
D : F(-3)=5/4F(-2)
59 、 单选题
A :
B :
C :
D :
60 、 单选题
A :
B :
C :
D :
61 、 单选题
A : 1
B : 2
C : n-1
D : n
62 、 单选题
A :
B :
C :
D :
63 、 单选题
A :
B :
C :
D :
64 、 单选题
设A为m×n矩阵,齐次线性方程组Ax=0仅有零解的充要条件是()。
A : A的列向量组线性无关
B : A的列向量组线性相关
C : A的行向量组线性无关
D : A的行向量组线性相关
65 、 单选题
A : g(0)=0且g′(0)=0
B : g(0)=0且g′(0)=1
C : g(0)=0且g′(0)=2
D : g(0)=1且g′(0)=0
66 、 单选题
A : 无穷大量
B : 无穷小量
C : 有界变量D : 无界变量
67 、 单选题
A :
B :
C :
D :
68 、 单选题
A : 充分条件而非必要条件
B : 必要条件而非充分条件
C : 充分必要条件
D : 既非充分条件又非必要条件
69 、 单选题
A : 2
B : 4
C : 6
D : 8
70 、 单选题A : 连续,偏导数存在
B : 连续,偏导数不存在
C : 不连续,偏导数存在
D : 不连续,偏导数不存在
71 、 单选题
sin2x的一个原函数是().
A :
B :
C :
D :
72 、 判断题
A : 对
B : 错
73 、 判断题
A : 对
B : 错
74 、 判断题
A : 对
B : 错75 、 判断题
A : 对
B : 错
76 、 判断题
齐次线性方程组AX=0若有两个不同的解,它就有无穷多个解
A : 对
B : 错
B :
C :
D :
2 、 单选题
A :
B :
C :
D :
3 、 单选题
A :
B :
C :
D :
4 、 单选题
下面哪个函数在其定义域内不连续()。
A :
B :
C :
D :
5 、 单选题A : 递增且为凹弧
B : 递增且为凸弧
C : 递减且为凹弧
D : 递减且为凸弧
6 、 单选题
A :
B :
C :
D :
7 、 单选题
A :
B :
C :
D :
8 、 单选题
A : 无实根
B : 有唯一实根
C : 有三个不同实根
D : 有五个不同实根
9 、 单选题
A :
B :
C :
D :
10 、 单选题
A : f′(x)
B : f′(0)
C : f(0)
D : 1/2f(0)
11 、 单选题A :
B :
C :
D :
12 、 单选题
A : 秩A=秩B
B :
C :
D :
13 、 单选题
A :
B :
C :
D :
14 、 单选题
A : 不可导f′(0)=2
B : 可导且
C : 取得极大值
D : 取得极小值
15 、 单选题
A : 3
B : 2
C : 1
D : 0
16 、 单选题
A : 间断点
B : 连续而不可导的点
C : 可导的点,且f′(0)=0
D : 可导的点,且fσ(0)≠0
17 、 单选题
A : a<0,b<0
B : a>0,b>0
C : a≤0,b>0
D : a≥0,b<018 、 单选题
A :
B :
C :
D :
19 、 单选题
A : a=-1/16,b=3/4
B : a=1/16,b=1/4
C : a=-1,b=9/2
D : a=1,b=-7/2
20 、 单选题
A :
B :
C :
D :
21 、 单选题
设u=2xy-z2,则u在点(2,-1,1)处的方向导数的最大值为()
A :
B : 4
C : {-2,-4,-2}
D : 6
22 、 单选题
A : f(0)=0
B : f(0)=2
C : f(0)=1
D : f(0)=-1
23 、 单选题
A :
B :
C :
D :
24 、 单选题
A : A的任意m个列向量必线性无关B : A的任意一个m阶子式不等于零
C : 若矩阵B满足BA=0,则B=0
D :
25 、 单选题
A : 连续点
B : 可去间断点
C : 跳跃间断点
D : 无穷间断点
26 、 单选题
A :
B :
C :
D :
27 、 单选题
A :
B :
C :
D :
28 、 单选题
A : 充分但不必要条件
B : 必要但非充分条件
C : 充分必要条件
D : 既非充分也非必要条件
29 、 单选题
A : 1条
B : 2条
C : 3条
D : 4条
30 、 单选题
A :
B :
C :
D :
31 、 单选题
A : 充分必要条件
B : 充分不必要条件
C : 必要非充分条件
D : 既不充分也不必要条件
32 、 单选题
A :
B :
C :
D :
33 、 单选题
A : -3π/2
B : 0C : 2π/3
D : 3π/2
34 、 单选题
A : 没有渐近线
B : 仅有水平渐近线
C : 仅有垂直渐近线
D : 既有水平渐近线又有垂直渐近线
35 、 单选题
下列各式不等于零的是()
A :
B :
C :
D :
36 、 单选题
A :
B :
C :
D :
37 、 单选题
A :
B :
C :
D :
38 、 单选题
A : 极限不存在
B : 极限存在但不连续
C : 连续但不可导
D : 可导
39 、 单选题
A : 等价无穷小
B : 同阶但非等价的无穷小
C : 高阶无穷小
D : 低阶无穷小40 、 单选题
下列反常积分发散的是()。
A :
B :
C :
D :
41 、 单选题
A : x+y
B : x-y
C :
D :
42 、 单选题
A : 只能确定一个具有连续偏导数的隐函数z=z(x,y)
B : 可确定两个具有连续偏导数的隐函数y=y(x,y)和z=z(x,y)
C : 可确定两个具有连续偏导数的隐函数x=x(x,y)和z=z(x,y)
D : 可确定两个具有连续偏导数的隐函数x=x(y,z)和y=y(x,z)
43 、 单选题A : 无穷间断点
B : 跳跃间断点
C : 可去间断点
D : 连续点
44 、 单选题
A : -2xdx
B :
C :
D :
45 、 单选题
A :
B :
C : 1/2
D : -1/2
46 、 单选题
A :
B :
C :
D :
47 、 单选题
A : 不连续
B : 连续但不可导
C : 可导且f′(0)=0
D : 可导且f′(0)=1
48 、 单选题
A : 连续的
B :
C : 二重极限不存在
D :
49 、 单选题
A : f″(0)=1
B : f″(0)=0.5
C : f″(0)=0D : 不存在
50 、 单选题
A : f(x)与x是等价无穷小量
B : f(x)与x是同阶但非等价无穷小量
C : f(x)是比x较高阶的无穷小量
D : f(x)是比x较低阶的无穷小量
51 、 单选题
实二次型矩阵A正定的充分必要条件是()。
A : 二次型的标准形的n个系数全为正
B : |A|>0
C : 矩阵A的特征值为2
D : r(A)=n
52 、 单选题
A : 只有垂直渐近线
B : 只有水平渐近线
C : 无渐近线
D : 有一条水平渐近线和一条垂直渐近线
53 、 单选题
A : 0
B : A
C : 1.5A
D : 2A
54 、 单选题
矩阵A()时可能改变其秩.
A : 转置
B : 初等变换C : 乘以奇异矩阵
D : 乘以非奇异矩阵
55 、 单选题
A : 存在但不连续
B : 不存在
C : 不仅存在而且连续
D : 无穷大
56 、 单选题
A : abπ
B :
C : (a+b)π
D :
57 、 单选题
设A为m×n矩阵,C是n阶可逆矩阵,矩阵A的秩为r1,矩阵B=AC的秩为r,则
A :
B :
C :
D :
58 、 单选题
A : F(3)=-3/4F(-2)
B : F(3)=5/4F(2)
C : F(-3)=3/4F(2)
D : F(-3)=5/4F(-2)
59 、 单选题
A :
B :
C :
D :
60 、 单选题
A :
B :
C :
D :
61 、 单选题
A : 1
B : 2
C : n-1
D : n
62 、 单选题
A :
B :
C :
D :
63 、 单选题
A :
B :
C :
D :
64 、 单选题
设A为m×n矩阵,齐次线性方程组Ax=0仅有零解的充要条件是()。
A : A的列向量组线性无关
B : A的列向量组线性相关
C : A的行向量组线性无关
D : A的行向量组线性相关
65 、 单选题
A : g(0)=0且g′(0)=0
B : g(0)=0且g′(0)=1
C : g(0)=0且g′(0)=2
D : g(0)=1且g′(0)=0
66 、 单选题
A : 无穷大量
B : 无穷小量
C : 有界变量D : 无界变量
67 、 单选题
A :
B :
C :
D :
68 、 单选题
A : 充分条件而非必要条件
B : 必要条件而非充分条件
C : 充分必要条件
D : 既非充分条件又非必要条件
69 、 单选题
A : 2
B : 4
C : 6
D : 8
70 、 单选题A : 连续,偏导数存在
B : 连续,偏导数不存在
C : 不连续,偏导数存在
D : 不连续,偏导数不存在
71 、 单选题
sin2x的一个原函数是().
A :
B :
C :
D :
72 、 判断题
A : 对
B : 错
73 、 判断题
A : 对
B : 错
74 、 判断题
A : 对
B : 错75 、 判断题
A : 对
B : 错
76 、 判断题
齐次线性方程组AX=0若有两个不同的解,它就有无穷多个解
A : 对
B : 错