当前位置:首页>文档>35.35-第5章-建设工程质量管理(三)_2026年一级建造师_2026年一建管理_2025年一建管理SVIP_03-习题精析✿实战特训✿模考通关_23-管理《习题代练班》金月SMR推荐

35.35-第5章-建设工程质量管理(三)_2026年一级建造师_2026年一建管理_2025年一建管理SVIP_03-习题精析✿实战特训✿模考通关_23-管理《习题代练班》金月SMR推荐

  • 2026-03-30 12:57:06 2026-01-28 11:21:12

文档预览

35.35-第5章-建设工程质量管理(三)_2026年一级建造师_2026年一建管理_2025年一建管理SVIP_03-习题精析✿实战特训✿模考通关_23-管理《习题代练班》金月SMR推荐
35.35-第5章-建设工程质量管理(三)_2026年一级建造师_2026年一建管理_2025年一建管理SVIP_03-习题精析✿实战特训✿模考通关_23-管理《习题代练班》金月SMR推荐
35.35-第5章-建设工程质量管理(三)_2026年一级建造师_2026年一建管理_2025年一建管理SVIP_03-习题精析✿实战特训✿模考通关_23-管理《习题代练班》金月SMR推荐
35.35-第5章-建设工程质量管理(三)_2026年一级建造师_2026年一建管理_2025年一建管理SVIP_03-习题精析✿实战特训✿模考通关_23-管理《习题代练班》金月SMR推荐
35.35-第5章-建设工程质量管理(三)_2026年一级建造师_2026年一建管理_2025年一建管理SVIP_03-习题精析✿实战特训✿模考通关_23-管理《习题代练班》金月SMR推荐
35.35-第5章-建设工程质量管理(三)_2026年一级建造师_2026年一建管理_2025年一建管理SVIP_03-习题精析✿实战特训✿模考通关_23-管理《习题代练班》金月SMR推荐
35.35-第5章-建设工程质量管理(三)_2026年一级建造师_2026年一建管理_2025年一建管理SVIP_03-习题精析✿实战特训✿模考通关_23-管理《习题代练班》金月SMR推荐
35.35-第5章-建设工程质量管理(三)_2026年一级建造师_2026年一建管理_2025年一建管理SVIP_03-习题精析✿实战特训✿模考通关_23-管理《习题代练班》金月SMR推荐

文档信息

文档格式
pdf
文档大小
0.233 MB
文档页数
4 页
上传时间
2026-01-28 11:21:12

文档内容

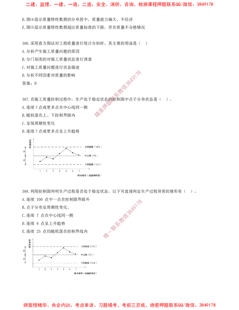
二建、监理、一建、一造、二造、安全、消防、咨询、检测课程押题联系QQ/微信:3849178 第5章 建设工程质量管理 5.2.2 施工质量统计分析方法 2)直方图的观察分析 8 7 1 9 4 8 3 信 微 系 联 题 押 准 ①正常直方图呈正态分布,中间高、两边精低、成对称。 384.采用 直 方 图 法 分 析 工 程 质 量 时 , 出 现 下列直方图的原因是( )。 A.组数或组距确定不当 B.不同设备生产 的数据混合 C.原材料发生变化 8 7 D.人为去掉上限下限数据 1 9 4 8 3 信 微 385.根据下列直方图的分布位置与 质量控制标准的上 系 下限范围的比较分析,正确的有( )。 联 一 唯 A.图⑴显示生产过程的质量正常、稳定、受控 B.图⑵显示质量特性数据分布偏上限,易出现不合格 C.图⑶显示质量特性数据分布达到质量标准上下限,质量能力处于临界状态 师面授精华、央企内训、考点串讲、习题模考、考前三页纸、绝密押题联系QQ/微信:3849178二建、监理、一建、一造、二造、安全、消防、咨询、检测课程押题联系QQ/微信:3849178 D.图⑷显示质量特性数据的分布居中,质量能力偏大,不经济 E.图⑸显示质量特性数据超出质量标准的下限,存在质量不合格情况 386.采用直方图法对工程质量进行统计分析时,其主要的用途是( ) A.分析产生施工质量问题的原因 B.分门别类的对施工质量状态进行调查 C.对施工质量问题进行状态描述 8 7 D.分析不同因素对质量的影响 1 9 4 8 答案:D 3 信 微 系 联 387.在施工质量控制过程中,生产处于稳定状态的控制图中点子分布状态是( )。 题 押 A.连续7点或更多点在中心线同一侧 准 精 B.随机落在上、下控制界限内 C D . . 呈 连 现 续 周 7 期 点 或 性 变 更 多 化 点 呈 上 升 趋 势 388.利用控制图判明生产过程是否处于稳定状态,以下可直接判定生产过程异常的情形有( )。 A.连续 100 点中一点 在控制图界限外 8 7 1 B.点子分布呈周期性变化 。 9 4 8 3 C.连续 7 点在中心线同一侧 信 微 D.连续 8 点呈上升趋势 系 联 E.连续 25 点均随机落在控制界线内 一 唯 师面授精华、央企内训、考点串讲、习题模考、考前三页纸、绝密押题联系QQ/微信:3849178二建、监理、一建、一造、二造、安全、消防、咨询、检测课程押题联系QQ/微信:3849178 389.下列施工质量统计分析方法中,可用来计算工序能力的是( )。 A.鱼刺图形 B.相关图形 C.排列图形 D.直方图形 390.在施工质量控制中,直方图可用于( ) A.分析产生质量问题的原因 B.分析影响质量主次因素 8 C.判断工序的稳定性 1 7 9 4 D.分析生产过程是否稳定 3 8 信 E.推断工序质量规格标准的满足程度 微 系 联 题 押 391.下列施工质量控制的工作中,属于事前质量控制的是( ) 准 精 A.隐蔽工程的检查验收 B C D 3 A C . . . 9 . . 2 施 进 分 编 测 . 工 场 析 制 量 下列 质 材 可 施 放 量 料 能 工 线 施 工 事 抽 导 组 故 样 致 织 准 备 的 检 质 设 处 验 量 计 的 质 理 试 问 验 题 量 控 的 因 制 工 素 并 作 B . 中 制 熟 定 , 悉 属 预 图 防 于 纸 D. 现 措 会 施 场 审 施 图 工 纸 准备工作的是( )。 393.下列施工准备阶段的质量控制工作中,属于施工技术准备的是( )。 A.做好施工测量工 作 B.布置施工机械 C.规划施工场地 D.报审施工组织设计 7 8 1 9 4 8 3 信 394.装配式建筑的混凝土预制构 件出厂时,其混凝土强微度不宜低于混凝土设计强度等级值的( )。 系 A.60% B .75% 联 一 C.65% D.70% 唯 395.对涉及结构安全、节能、环境保护和主要使用功能的试块、试件及材料,应按规定进行见证检验。见证检 验应在( )的监督下现场取样。 A.项目监理机构 B.质量监督机构 C.设计单位 D.质量检查机构 师面授精华、央企内训、考点串讲、习题模考、考前三页纸、绝密押题联系QQ/微信:3849178二建、监理、一建、一造、二造、安全、消防、咨询、检测课程押题联系QQ/微信:3849178 396.质量控制点是指为保证作业过程质量而确定的重点控制对象、关键部位或薄弱环节。属于施工过程质量控 制点的有( ) A.地下防水层施工 B.采用新材料的环节 C.材料构配件的选择与采购 D.预应力结构的张拉工序 E.钢筋隐蔽工程 397.施工中对进场水泥质量的重点控制内容包括( )。 8 7 A.出厂合格证核对 B.水灰比复验 1 9 4 8 C.强度复验 D.坍落度试验 3 信 微 E.安定性复验 系 联 题 押 398.下列施工质量控制点中,属于从施工技术参数角度进行重点控制的是( ) 准 精 A.预应力钢筋的张拉力控制 B C D . . . 大 大 装 体 模 配 积 板 式 混 施 构 凝 工 件 土 时 吊 内 的 装 外 模 中 温 版 的 差 稳 稳 控 定 定 制 控 控 制 制 8 7 1 9 4 8 3 信 微 系 联 一 唯 师面授精华、央企内训、考点串讲、习题模考、考前三页纸、绝密押题联系QQ/微信:3849178