文档内容
军队文职人员招聘考试《药学》模拟试题八
即刻题库 www.jike.vip
1 、 单选题
在药物分析中片剂检查的项目有()。
A : 粒度
B : 片剂生产和贮存过程中可能引入的杂质
C : 晶型检查
D : 应重复原料药的检查项目
E : 不检查
2 、 单选题
《中国药典》中规定滴定液的浓度单位为()。
A : g/mL
B : mol/mL
C : mol/g
D : mmol/mL
E : mol/L
3 、 单选题
下面关于蛋白多肽类药物理化性质的叙述错误的是
A : 蛋白多肽类药物一般对热稳定
B : 在酸、碱、酶的催化下,蛋白多肽类药物可发生肽键的水解与脱酰胺基作用
C : 在氧化剂存在下,蛋白质多肽类药物易被氧化
D : 蛋白多肽类药物在碱水解过程中常伴有某些氨基酸的消旋化作用
E : 蛋白质的变性分为可逆与不可逆一种
4 、 单选题
对酚、鞣质等有较大溶解度的是()
A : 乙醇
B : 甘油
C : 液状石蜡
D : 二甲基亚砜
E : 水5 、 单选题
缩宫素对子宫平滑肌的作用表现为
A : 直接兴奋子宫平滑肌
B : 与体内性激素水平无关
C : 妊娠子宫对缩宫素的敏感性无个体差异
D : 对子宫平滑肌的收缩性质与剂量无关
E : 对不同时期妊娠子宫的收缩作用无差异
6 、 单选题
A : 约1%
B : 约10%
C : 约50%
D : 约90%
E : 约99%
7 、 单选题
A : 乙酰唑胺
B : 氢氯噻嗪
C : 依他尼酸
D : 氯噻酮
E : 呋塞米
8 、 单选题
在注射剂生产中常作为除菌滤过的滤器是
A : 硅藻土滤棒是
B : 多孔素瓷滤棒
C :
D : 0.8μm微孔滤膜
E :
9 、 单选题
使用糖皮质激素治疗各种疾病,请选择剂量与治疗法:血小板减少性紫癜()
A : 大剂量突击疗法
B : 小剂量替代疗法
C : 一般剂量长期疗法
D : 隔日疗法
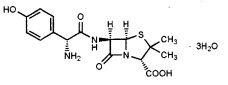
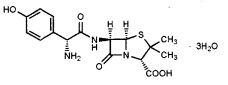
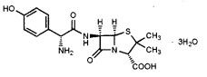
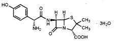
E : 局部外用
10 、 单选题
头孢羟氨苄的化学结构是
A :
B :
C :
D :
11 、 单选题
可用于膜控片的致孔剂
A : 硬脂酸
B : PEG
C : HPMC
D : CAP
E : EC
12 、 单选题
下列叙述与盐酸二甲双胍不符的是()
A : 具有高于一般脂肪胺的强碱性
B : 水溶液显氯化物的鉴别反应C : 可以促进胰岛素的分泌
D : 可以增加葡萄糖的无氧酵解
E : 肝脏代谢较少,主要以原形由尿排出
13 、 单选题
使用热压灭菌器灭菌时所用的蒸汽是()
A : 过热蒸汽
B : 饱和蒸汽
C : 不饱和蒸汽
D : 湿饱和蒸汽
E : 流通蒸汽
14 、 单选题
异丙肾上腺素可用于治疗
A : 支气管哮喘
B : 青光眼
C : 外周血管痉挛
D : 心律失常
E : 重症肌无力
15 、 单选题
头孢噻肟钠的化学结构是
A :
B :
C :
D :
16 、 单选题
与硝苯地平性质不符的是
A : 属于二氢毗啶类B : 极易溶于丙酮,几乎不溶于水
C : 对光不稳定,易发生歧化反应
D : 为钙拮抗剂
E : 具有旋光性
17 、 单选题
下列术语中不是与红外光谱法相关的是
A : 特征峰
B : 自旋
C : 特征区
D : 指纹区
E : 相关峰
18 、 单选题
红外光波长范围是
A : 0.005~10nm
B : 10~400nm
C : 400~760nm
D : 760nm~1000μm
E : 1000μm~300cm
19 、 单选题
关于胃肠道吸收,下列哪些叙述是错误的
A : 食物通常会推迟主要在小肠吸收药物的吸收
B : 一些通过主动转运吸收的物质,饱腹服用吸收量增加
C : 一般情况下,弱碱性药物在胃中容易吸收
D : 当胃排空速率增加时,多数药物吸收加快
E : 脂溶性、非离子型药物容易透过细胞膜
20 、 单选题
关于β受体阻断剂应用的注意事项,错误的是()
A : 久用不能突然停药
B : 支气管哮喘患者忌用
C : 心脏传导阻滞者忌用
D : 心绞痛患者忌用
E : 心功能不全者忌用
21 、 单选题
第一个临床应用的酮内酯类抗生素
A : 红霉素B : 阿奇霉素
C : 罗红霉素
D : 林可霉素
E : 泰利霉素
22 、 单选题
对抗香豆素过量引起出血可选用
A : 垂体后叶素
B : 维生素C
C : 鱼精蛋白
D : 维生素K
E : 氨甲苯酸
23 、 单选题
小剂量就有抗焦虑作用的药物
A : 苯巴比妥
B : 地西泮
C : 吗啡
D : 苯妥英钠
E : 氯丙嗪
24 、 单选题
治疗金黄色葡萄球菌引起的骨髓炎的首选药是
A : 红霉素
B : 阿奇霉素
C : 罗红霉素
D : 林可霉素
E : 泰利霉素
25 、 单选题
下列选项为评价药物分析所用测定方法的效能指标的是()。
A : 重量差异
B : 粒度
C : 崩解时限
D : 溶出度
E : 准确度
26 、 单选题
若炽灼残渣留作重金属检查时,炽灼温度应控制在
A : 350℃B : 450℃
C : 500℃以下
D : 500~600℃
E : 700~800℃
27 、 单选题
维生素C具有较强的还原性是因为分子中含有
A : 羟基
B : 手性碳
C : 共轭体系
D : 二烯醇结构
E : 内酯基
28 、 单选题
关于包合物的错误表述是
A : 包合物是由主分子和客分子加合而成的分子囊
B : 包合过程是物理过程而不是化学过程
C : 药物被包合后,可提高稳定性
D : 包合物具有靶向作用
E : 包合物可提高药物的生物利用度
29 、 单选题
应用极化液可防治心肌梗死并发心律失常,其中胰岛素的主要作用是
A : 纠正低血钾
B : 促进钾离子进入细胞内
C : 改善心肌细胞代谢
D : 改善心肌细胞的离子转运
E : 促进离子进入细胞外
30 、 单选题
酚妥拉明可用于治疗
A : 支气管哮喘
B : 青光眼
C : 外周血管痉挛
D : 心律失常
E : 重症肌无力
31 、 单选题
氨基糖苷类抗生素对哪类细菌无效
A : 革兰阴性菌B : 铜绿假单胞菌
C : 结核杆菌
D : 厌氧菌
E : 革兰阳性菌
32 、 单选题
可用于溶蚀性骨架片的材料为
A : 硬脂酸
B : PEG
C : HPMC
D : CAP
E : EC
33 、 单选题
临床使用左消旋体
A : 盐酸布桂嗪
B : 盐酸吗啡
C : 右丙氧芬
D : 盐酸曲马多
E : 苯噻啶
34 、 单选题
临床使用右消旋体
A : 盐酸布桂嗪
B : 盐酸吗啡
C : 右丙氧芬
D : 盐酸曲马多
E : 苯噻啶
35 、 单选题
H 受体阻断作用时间最长的药物是
1
A : 美克洛嗪
B : 布可立嗪
C : 阿司咪唑
D : 特非那定
E : 异丙嗪
36 、 单选题
患者男性,46岁。工人。因发热、心慌、血沉100mm/h,诊断为风湿性心肌炎。无高
血压及溃疡病史。入院后接受抗风湿治疗,泼尼松每日30~40mg口服,用药至第12日,血压上升至150/100mmHg,用药至第15日,上腹不适,有压痛,第24日发现黑便,
第28日大量呕血,血压70/50mmHg,呈休克状态。迅速输血1600ml后,进行剖腹探查,
术中发现胃内有大量积血,胃小弯部有溃疡,立即作胃次全切除术。术后停用糖皮质激
素,改用其他药物治疗。糖皮质激素治疗风湿采取的疗法是()
A : 大剂量突击疗法
B : 小剂量替代疗法
C : 一般剂量长期疗法
D : 一般剂量长期使用综合疗法
E : 局部外用
37 、 单选题
患者患急性哮喘,皮下给予肾上腺素。肾上腺素发挥舒张支气管平滑肌作用的受体是()
A :
B :
C :
D :
E :
38 、 单选题
使用糖皮质激素治疗各种疾病,请选择剂量与治疗法:中毒性休克宜采用()
A : 大剂量突击疗法
B : 小剂量替代疗法
C : 一般剂量长期疗法
D : 隔日疗法
E : 局部外用
39 、 单选题
关于固体分散体叙述错误的是
A : 固体分散体是药物以分子、胶态或微晶等均匀分散于另一种水溶性、难溶性或肠溶性固态载体物质中所形成的固体分散物
B : 固体分散体采用肠溶性载体可增加难溶性药物的溶解度和溶出速率
C : 能使液态药物粉末化
D : 利用载体的包蔽作用可延缓药物的水解和氧化
E : 掩盖药物的不良臭味和刺激性
40 、 单选题
患者男性,46岁。工人。因发热、心慌、血沉100mm/h,诊断为风湿性心肌炎。无高
血压及溃疡病史。入院后接受抗风湿治疗,泼尼松每日30~40mg口服,用药至第12日,
血压上升至150/100mmHg,用药至第15日,上腹不适,有压痛,第24日发现黑便,
第28日大量呕血,血压70/50mmHg,呈休克状态。迅速输血1600ml后,进行剖腹探查,
术中发现胃内有大量积血,胃小弯部有溃疡,立即作胃次全切除术。术后停用糖皮质激
素,改用其他药物治疗。糖皮质激素诱发高血压的机制是()
A : 水盐代谢紊乱
B : 低血钾
C : 低血钙
D : 脂质代谢紊乱
E : 以上都不是
41 、 单选题
旋光度符号为
A :
B :
C : α
D : pH
E : d
42 、 单选题
治疗军团菌的首选药物是
A : 红霉素
B : 阿奇霉素
C : 罗红霉素
D : 林可霉素
E : 泰利霉素
43 、 单选题头孢克洛的化学结构是
A :
B :
C :
D :
44 、 单选题
对乙酰氨基酚的毒性代谢物是
A : 对氨基酚
B : Ⅳ-乙酰基亚胺醌
C : 对乙酰氨基酚硫酸酯
D : 对乙酰氨基酚葡萄糖醛酸结合物
E : 对苯二酚
45 、 单选题
比旋度符号为
A :
B :
C : α
D : pH
E : d
46 、 单选题
临床使用外消旋体
A : 盐酸布桂嗪
B : 盐酸吗啡C : 右丙氧芬
D : 盐酸曲马多
E : 苯噻啶
47 、 单选题
由15元环半合成的抗生素是
A : 红霉素
B : 阿奇霉素
C : 罗红霉素
D : 林可霉素
E : 泰利霉素
48 、 单选题
使用糖皮质激素治疗各种疾病,请选择剂量与治疗法:接触性皮炎()
A : 大剂量突击疗法
B : 小剂量替代疗法
C : 一般剂量长期疗法
D : 隔日疗法
E : 局部外用
49 、 单选题
硫脲类药物的基本作用是
A : 抑制碘泵
B :
C : 抑制甲状腺过氧化物酶
D : 抑制甲状腺蛋白水解酶
E : 阻断甲状腺激素受体
50 、 单选题
若参考药物普通制剂的剂量,每日3次,每次100mg,换算成缓、控释制剂的剂量为制
成每日1次,每次
A : 100mg
B : 200mg
C : 300mg
D : 400mg
E : 500mg51 、 单选题
某药师欲制备含有毒剧药物的散剂,但药物的剂量仅为0.0005g,故应先制成
A : 10倍散
B : 50倍散
C : 100倍散
D : 500倍散
E : 1000倍散
52 、 单选题
A : 5.8g
B : 6.3g
C : 7.2g
D : 7.7g
E : 8.5g
53 、 单选题
输液生产中灌装对洁净度的要求为()
A : 100级
B : 1000级
C : 10000级
D : 100000级
E : 300000级
54 、 单选题
通过在分散相与连续相的界面上发生单体的缩聚反应,生成微囊囊膜以制备微囊的方法
是
A : 界面缩聚法
B : 辐射交联法
C : 喷雾干燥法
D : 液中干燥法
E : 单凝聚法
55 、 单选题
使用糖皮质激素治疗各种疾病,请选择剂量与治疗法:减轻对肾上腺皮质功能抑制的疗
法为()A : 大剂量突击疗法
B : 小剂量替代疗法
C : 一般剂量长期疗法
D : 隔日疗法
E : 局部外用
56 、 单选题
表示溶液的酸度用
A :
B :
C : α
D : pH
E : d
57 、 单选题
下列鉴别反应正确的是()
A : 吲哚美辛与新鲜的香草醛盐酸液共热,显玫瑰紫色
B : 双氯芬酸钠可通过重氮化耦合反应进行鉴别
C : 吡罗昔康与三氯化铁反应生成橙色
D : 阿司匹林加酸煮沸放冷,再加三氯化铁显红色
E : 对乙酰氨基酚加三氯化铁产生红色
58 、 单选题
下列细菌对青霉素不敏感的是()
A : 大肠埃希菌
B : 炭疽杆菌
C : 白喉杆菌
D : 产气荚膜杆菌
E : 百日咳杆菌
59 、 单选题
铁剂用于治疗
A : 溶血性贫血
B : 巨幼红细胞性贫血
C : 再生障碍性贫血
D : 小细胞低色素性贫血E : 以上都不是
60 、 单选题
患者男性,46岁。工人。因发热、心慌、血沉100mm/h,诊断为风湿性心肌炎。无高
血压及溃疡病史。入院后接受抗风湿治疗,泼尼松每日30~40mg口服,用药至第12日,
血压上升至150/100mmHg,用药至第15日,上腹不适,有压痛,第24日发现黑便,
第28日大量呕血,血压70/50mmHg,呈休克状态。迅速输血1600ml后,进行剖腹探查,
术中发现胃内有大量积血,胃小弯部有溃疡,立即作胃次全切除术。术后停用糖皮质激
素,改用其他药物治疗。与糖皮质激素治疗风湿有关的药理作用是()
A : 抗炎作用
B : 抗毒作用
C : 抗免疫作用
D : 抗休克作用
E : 以上都不是
61 、 单选题
下列全部为片剂中常用的填充剂的是
A : 淀粉,糖粉,交联聚维酮
B : 淀粉,羧甲基淀粉钠,羟丙甲基纤维素
C : 低取代羟丙基纤维素,糖粉,糊精
D : 淀粉,糖粉,微晶纤维素
E : 硫酸钙,微晶纤维素,聚乙二醇
62 、 单选题
阿莫西林的化学结构是
A :
B :
C :
D :
63 、 单选题
患者男性,46岁。工人。因发热、心慌、血沉100mm/h,诊断为风湿性心肌炎。无高
血压及溃疡病史。入院后接受抗风湿治疗,泼尼松每日30~40mg口服,用药至第12日,
血压上升至150/100mmHg,用药至第15日,上腹不适,有压痛,第24日发现黑便,
第28日大量呕血,血压70/50mmHg,呈休克状态。迅速输血1600ml后,进行剖腹探查,
术中发现胃内有大量积血,胃小弯部有溃疡,立即作胃次全切除术。术后停用糖皮质激
素,改用其他药物治疗。上述病例属糖皮质激素不良反应的是()
A : 化系统并发症
B : 诱发或加重感染
C : 医源性肾上腺皮质功能亢进
D : 骨质疏松、肌肉萎缩、伤口愈合迟缓
E : 以上都不是
64 、 单选题
硝酸异山梨酯在体内的活性代谢产物并作为抗心绞痛药物使用的是
A : 硝酸异山梨
B : 异山梨醇
C : 硝酸甘油
D : 单硝酸异山梨酯(异山梨醇-5-硝酸酯)
E : 异山梨醇-2-硝酸酯
65 、 单选题
可以采用以葡聚糖凝胶G-10为基础的凝胶色谱分析系统分析杂质的是()
A : 炔雌醇
B : 青霉素
C : 维生素C
D : 奎宁
E : 苯巴比妥
66 、 单选题
可用于不溶性骨架片的材料为
A : 硬脂酸
B : PEG
C : HPMC
D : CAP
E : EC
67 、 单选题
化学结构中含有咪唑烷二酮的药物是
A : 氨己烯酸
B : 苯巴比妥
C : 硫喷妥钠D : 丙戊酸钠
E : 苯妥英钠
68 、 单选题
结构中含哌嗪环
A : 盐酸布桂嗪
B : 盐酸吗啡
C : 右丙氧芬
D : 盐酸曲马多
E : 苯噻啶
69 、 单选题
司可巴比妥钠(分子量为260.27)采用溴量法测定含量时,每1ml溴滴定液(0.05mol/L)相当
于司可巴比妥钠的毫克(mg)数为
A : 1.301
B : 2.601
C : 13.01
D : 26.01
E : 52.02
70 、 单选题
化学治疗是()
A : 用化学方法合成的药物治疗
B : 仅指对恶性肿瘤的药物治疗
C : 仅指对病原微生物所致疾病的药物治疗
D : 内科疾病的药物治疗
E : 细菌和其他微生物、寄生虫以及肿瘤细胞所致疾病的药物治疗
71 、 单选题
不属于软膏剂质量检查项目的是()
A : 熔程
B : 刺激性
C : 融变时限
D : 酸碱度
E : 流变性
72 、 单选题
不属于医院药检任务的是()
A : 制定和修改质量管理制度、检验规程
B : 负责自制制剂半成品和成品的检验C : 定期对注射用水进行检验
D : 负责制剂质量的统计分析
E : 负责药品的采购
73 、 单选题
在一种高分子囊材溶液中加入凝聚剂以降低囊材溶解度而凝聚成微囊的方法是
A : 界面缩聚法
B : 辐射交联法
C : 喷雾干燥法
D : 液中干燥法
E : 单凝聚法
74 、 单选题
可用于亲水性凝胶骨架片的材料为
A : 硬脂酸
B : PEG
C : HPMC
D : CAP
E : EC
75 、 单选题
检查药物中的硫酸盐,适宜的硫酸盐比浊浓度范围是
A : (10~50μg)/50ml
B : (50~80μg)/50ml
C : (0.1~0.5mg)/50ml
D : (0.5~0.8mg)/50ml
E : (1~8mg)/50ml
76 、 单选题
属于β-内酰胺类抗生素的药物是
A : 链霉素
B : 四环素
C : 庆大霉素
D : 青霉素钾
E : 阿奇霉素
77 、 单选题
副交感神经兴奋后引起胃肠平滑肌、膀胱逼尿肌兴奋以及腺体分泌增加通过的受体是()
A :
B :
C : M型受体
D :
E :
78 、 单选题
从乳浊液中除去分散相挥发性溶剂以制备微囊的方法是
A : 界面缩聚法
B : 辐射交联法
C : 喷雾干燥法
D : 液中干燥法
E : 单凝聚法
79 、 单选题
使用糖皮质激素治疗各种疾病,请选择剂量与治疗法:肾上腺皮质功能不全()
A : 大剂量突击疗法
B : 小剂量替代疗法
C : 一般剂量长期疗法
D : 隔日疗法
E : 局部外用
80 、 单选题
糖皮质激素诱发或加重感染的主要原因是()
A : 激素用量不足,无法控制症状
B : 患者对激素不敏感,未反映出相应的疗效
C : 使用激素时,未用足量有效的抗生素
D : 激素促使许多病原微生物繁殖
E : 抑制机体的免疫功能
81 、 多选题
有关盐酸氯丙嗪的叙述,正确的是A : 分子中有吩噻嗪环
B : 为多巴胺受体拮抗剂
C : 在空气或日光中放置,性质不稳定
D : 由于遇光分解产生自由基,部分患者在强日光下发生光毒化反应
E : 用于治疗精神分裂症,亦用于镇吐等
82 、 多选题
属于胰岛素分泌促进剂的药物是
A : 苯乙双胍
B : 罗格列酮
C : 格列本脲
D : 格列齐特
E : 甲苯磺丁脲
83 、 多选题
下列哪些药物化学结构中含有手性碳原子
A : 维生素C
B : 维生素A
C : 维生素B 2
D : 维生素B 1
E : 维生素E
84 、 多选题
HPMC可应用于
A : 亲水凝胶骨架材料
B : 助悬剂
C : 崩解剂
D : 黏合剂
E : 薄膜衣料
85 、 多选题
属于氨基糖苷类抗生素的是
A : 链霉素
B : 卡那霉素
C : 庆大霉素
D : 克林霉素
E : 阿米卡星
86 、 多选题
影响生物利用度的因素是A : 药物的化学稳定性
B : 药物在胃肠道中的分解
C : 肝脏的首过效应
D : 制剂处方组成
E : 非线性特征药物
87 、 多选题
注射剂的质量要求包括
A : 无菌
B : 无热原
C : 融变时限
D : 澄明度
E : 渗透压
88 、 多选题
丙磺舒的鉴别方法有
A : 三氯化铁反应
B : 水解反应
C : 分解产物的反应
D : 紫外分光光度法
E : 红外光谱法
89 、 多选题
卡托普利治疗高血压的作用机制有
A : 抑制血管紧张素转换酶活性
B : 减少醛固酮分泌
C : 减少缓激肽水解
D : 抑制血管平滑肌增殖
E : 阻断血管紧张素AT 1 受体
90 、 多选题
影响四环素吸收的因素有
A : 与铁剂同服
B : 与氢氧化铝、三硅酸镁同服
C : 与牛奶、奶制品同服
D : 每次口服剂量超过0.5g
E : 饭后服用
91 、 多选题
防治骨质疏松的药物按照作用机制可分为A : 抑制骨吸收
B : 钙剂
C : 促进骨形成
D : 维生素D
E : 双膦酸盐
92 、 多选题
《中国药典》规定限量的残留溶剂是
A : 四氯化碳
B : 苯
C : 三氯甲烷
D : 正己烷
E : 甲醇
93 、 多选题
气相色谱法常用的固定液有
A : SE-30
B : PEG-20M
C : ODS
D : OV-17
E : 角鲨烷
94 、 多选题
属于麻醉药品管理的有
A : 盐酸哌替啶
B : 盐酸曲马多
C : 盐酸美沙酮
D : 盐酸吗啡
E : 磷酸可待因
95 、 多选题
《中国药典》使用亚硝酸钠滴定法测定含量的药物有
A : 磺胺甲恶唑
B : 磺胺嘧啶片
C : 磺胺甲恶唑片
D : 复方磺胺甲恶唑片
E : 磺胺嘧啶
96 、 多选题
生物技术药物制剂的稳定化方法包括A : 采用pH的缓冲体系
B : 采取抗氧化措施
C : 加入糖和多元醇
D : 加入血清蛋白
E : 加入络合剂
97 、 多选题
下列哪些叙述是硝苯地平的特点
A : 对轻、中、重度高血压患者均有降压作用
B : 降压时伴有反射性心率加快和心搏出量增加
C : 可增高血浆肾素活性
D : 合用β受体阻断药可增其降压作用
E : 对正常血压者有降压作用
98 、 多选题
阿托品抢救有机磷酸酯中毒的原则是
A : 主要用于中度和重度患者
B : 大量用至阿托品化
C : 重症病例应与解磷定合用
D : 反复持久用药
E : 出现心率加快、口干应立即停药
99 、 多选题
蛋白质类药物的口服给药的缺点是
A : 降低吸收部位和吸收途径肽酶的活性
B : 提高吸收屏障的通透性
C : 形成多聚体
D : 胃肠道发生降解
E : 胃肠黏膜的穿透性差
100 、 多选题
对卡莫司汀表述正确的是
A : 具较强的亲脂性,能通过血一脑屏障,适用于脑瘤等
B : 属于氮芥类
C : 分子中的β-氯乙基与亚硝基脲相连
D : 又名卡氮芥、BCNU
E : 有骨髓抑制的不良反应
D : 0.8μm微孔滤膜
E :
9 、 单选题
使用糖皮质激素治疗各种疾病,请选择剂量与治疗法:血小板减少性紫癜()
A : 大剂量突击疗法
B : 小剂量替代疗法
C : 一般剂量长期疗法
D : 隔日疗法
E : 局部外用
10 、 单选题
头孢羟氨苄的化学结构是
A :
B :
C :
D :
11 、 单选题
可用于膜控片的致孔剂
A : 硬脂酸
B : PEG
C : HPMC
D : CAP
E : EC
12 、 单选题
下列叙述与盐酸二甲双胍不符的是()
A : 具有高于一般脂肪胺的强碱性
B : 水溶液显氯化物的鉴别反应C : 可以促进胰岛素的分泌
D : 可以增加葡萄糖的无氧酵解
E : 肝脏代谢较少,主要以原形由尿排出
13 、 单选题
使用热压灭菌器灭菌时所用的蒸汽是()
A : 过热蒸汽
B : 饱和蒸汽
C : 不饱和蒸汽
D : 湿饱和蒸汽
E : 流通蒸汽
14 、 单选题
异丙肾上腺素可用于治疗
A : 支气管哮喘
B : 青光眼
C : 外周血管痉挛
D : 心律失常
E : 重症肌无力
15 、 单选题
头孢噻肟钠的化学结构是
A :
B :
C :
D :
16 、 单选题
与硝苯地平性质不符的是
A : 属于二氢毗啶类B : 极易溶于丙酮,几乎不溶于水
C : 对光不稳定,易发生歧化反应
D : 为钙拮抗剂
E : 具有旋光性
17 、 单选题
下列术语中不是与红外光谱法相关的是
A : 特征峰
B : 自旋
C : 特征区
D : 指纹区
E : 相关峰
18 、 单选题
红外光波长范围是
A : 0.005~10nm
B : 10~400nm
C : 400~760nm
D : 760nm~1000μm
E : 1000μm~300cm
19 、 单选题
关于胃肠道吸收,下列哪些叙述是错误的
A : 食物通常会推迟主要在小肠吸收药物的吸收
B : 一些通过主动转运吸收的物质,饱腹服用吸收量增加
C : 一般情况下,弱碱性药物在胃中容易吸收
D : 当胃排空速率增加时,多数药物吸收加快
E : 脂溶性、非离子型药物容易透过细胞膜
20 、 单选题
关于β受体阻断剂应用的注意事项,错误的是()
A : 久用不能突然停药
B : 支气管哮喘患者忌用
C : 心脏传导阻滞者忌用
D : 心绞痛患者忌用
E : 心功能不全者忌用
21 、 单选题
第一个临床应用的酮内酯类抗生素
A : 红霉素B : 阿奇霉素
C : 罗红霉素
D : 林可霉素
E : 泰利霉素
22 、 单选题
对抗香豆素过量引起出血可选用
A : 垂体后叶素
B : 维生素C
C : 鱼精蛋白
D : 维生素K
E : 氨甲苯酸
23 、 单选题
小剂量就有抗焦虑作用的药物
A : 苯巴比妥
B : 地西泮
C : 吗啡
D : 苯妥英钠
E : 氯丙嗪
24 、 单选题
治疗金黄色葡萄球菌引起的骨髓炎的首选药是
A : 红霉素
B : 阿奇霉素
C : 罗红霉素
D : 林可霉素
E : 泰利霉素
25 、 单选题
下列选项为评价药物分析所用测定方法的效能指标的是()。
A : 重量差异
B : 粒度
C : 崩解时限
D : 溶出度
E : 准确度
26 、 单选题
若炽灼残渣留作重金属检查时,炽灼温度应控制在
A : 350℃B : 450℃
C : 500℃以下
D : 500~600℃
E : 700~800℃
27 、 单选题
维生素C具有较强的还原性是因为分子中含有
A : 羟基
B : 手性碳
C : 共轭体系
D : 二烯醇结构
E : 内酯基
28 、 单选题
关于包合物的错误表述是
A : 包合物是由主分子和客分子加合而成的分子囊
B : 包合过程是物理过程而不是化学过程
C : 药物被包合后,可提高稳定性
D : 包合物具有靶向作用
E : 包合物可提高药物的生物利用度
29 、 单选题
应用极化液可防治心肌梗死并发心律失常,其中胰岛素的主要作用是
A : 纠正低血钾
B : 促进钾离子进入细胞内
C : 改善心肌细胞代谢
D : 改善心肌细胞的离子转运
E : 促进离子进入细胞外
30 、 单选题
酚妥拉明可用于治疗
A : 支气管哮喘
B : 青光眼
C : 外周血管痉挛
D : 心律失常
E : 重症肌无力
31 、 单选题
氨基糖苷类抗生素对哪类细菌无效
A : 革兰阴性菌B : 铜绿假单胞菌
C : 结核杆菌
D : 厌氧菌
E : 革兰阳性菌
32 、 单选题
可用于溶蚀性骨架片的材料为
A : 硬脂酸
B : PEG
C : HPMC
D : CAP
E : EC
33 、 单选题
临床使用左消旋体
A : 盐酸布桂嗪
B : 盐酸吗啡
C : 右丙氧芬
D : 盐酸曲马多
E : 苯噻啶
34 、 单选题
临床使用右消旋体
A : 盐酸布桂嗪
B : 盐酸吗啡
C : 右丙氧芬
D : 盐酸曲马多
E : 苯噻啶
35 、 单选题
H 受体阻断作用时间最长的药物是
1
A : 美克洛嗪
B : 布可立嗪
C : 阿司咪唑
D : 特非那定
E : 异丙嗪
36 、 单选题
患者男性,46岁。工人。因发热、心慌、血沉100mm/h,诊断为风湿性心肌炎。无高
血压及溃疡病史。入院后接受抗风湿治疗,泼尼松每日30~40mg口服,用药至第12日,血压上升至150/100mmHg,用药至第15日,上腹不适,有压痛,第24日发现黑便,
第28日大量呕血,血压70/50mmHg,呈休克状态。迅速输血1600ml后,进行剖腹探查,
术中发现胃内有大量积血,胃小弯部有溃疡,立即作胃次全切除术。术后停用糖皮质激
素,改用其他药物治疗。糖皮质激素治疗风湿采取的疗法是()
A : 大剂量突击疗法
B : 小剂量替代疗法
C : 一般剂量长期疗法
D : 一般剂量长期使用综合疗法
E : 局部外用
37 、 单选题
患者患急性哮喘,皮下给予肾上腺素。肾上腺素发挥舒张支气管平滑肌作用的受体是()
A :
B :
C :
D :
E :
38 、 单选题
使用糖皮质激素治疗各种疾病,请选择剂量与治疗法:中毒性休克宜采用()
A : 大剂量突击疗法
B : 小剂量替代疗法
C : 一般剂量长期疗法
D : 隔日疗法
E : 局部外用
39 、 单选题
关于固体分散体叙述错误的是
A : 固体分散体是药物以分子、胶态或微晶等均匀分散于另一种水溶性、难溶性或肠溶性固态载体物质中所形成的固体分散物
B : 固体分散体采用肠溶性载体可增加难溶性药物的溶解度和溶出速率
C : 能使液态药物粉末化
D : 利用载体的包蔽作用可延缓药物的水解和氧化
E : 掩盖药物的不良臭味和刺激性
40 、 单选题
患者男性,46岁。工人。因发热、心慌、血沉100mm/h,诊断为风湿性心肌炎。无高
血压及溃疡病史。入院后接受抗风湿治疗,泼尼松每日30~40mg口服,用药至第12日,
血压上升至150/100mmHg,用药至第15日,上腹不适,有压痛,第24日发现黑便,
第28日大量呕血,血压70/50mmHg,呈休克状态。迅速输血1600ml后,进行剖腹探查,
术中发现胃内有大量积血,胃小弯部有溃疡,立即作胃次全切除术。术后停用糖皮质激
素,改用其他药物治疗。糖皮质激素诱发高血压的机制是()
A : 水盐代谢紊乱
B : 低血钾
C : 低血钙
D : 脂质代谢紊乱
E : 以上都不是
41 、 单选题
旋光度符号为
A :
B :
C : α
D : pH
E : d
42 、 单选题
治疗军团菌的首选药物是
A : 红霉素
B : 阿奇霉素
C : 罗红霉素
D : 林可霉素
E : 泰利霉素
43 、 单选题头孢克洛的化学结构是
A :
B :
C :
D :
44 、 单选题
对乙酰氨基酚的毒性代谢物是
A : 对氨基酚
B : Ⅳ-乙酰基亚胺醌
C : 对乙酰氨基酚硫酸酯
D : 对乙酰氨基酚葡萄糖醛酸结合物
E : 对苯二酚
45 、 单选题
比旋度符号为
A :
B :
C : α
D : pH
E : d
46 、 单选题
临床使用外消旋体
A : 盐酸布桂嗪
B : 盐酸吗啡C : 右丙氧芬
D : 盐酸曲马多
E : 苯噻啶
47 、 单选题
由15元环半合成的抗生素是
A : 红霉素
B : 阿奇霉素
C : 罗红霉素
D : 林可霉素
E : 泰利霉素
48 、 单选题
使用糖皮质激素治疗各种疾病,请选择剂量与治疗法:接触性皮炎()
A : 大剂量突击疗法
B : 小剂量替代疗法
C : 一般剂量长期疗法
D : 隔日疗法
E : 局部外用
49 、 单选题
硫脲类药物的基本作用是
A : 抑制碘泵
B :
C : 抑制甲状腺过氧化物酶
D : 抑制甲状腺蛋白水解酶
E : 阻断甲状腺激素受体
50 、 单选题
若参考药物普通制剂的剂量,每日3次,每次100mg,换算成缓、控释制剂的剂量为制
成每日1次,每次
A : 100mg
B : 200mg
C : 300mg
D : 400mg
E : 500mg51 、 单选题
某药师欲制备含有毒剧药物的散剂,但药物的剂量仅为0.0005g,故应先制成
A : 10倍散
B : 50倍散
C : 100倍散
D : 500倍散
E : 1000倍散
52 、 单选题
A : 5.8g
B : 6.3g
C : 7.2g
D : 7.7g
E : 8.5g
53 、 单选题
输液生产中灌装对洁净度的要求为()
A : 100级
B : 1000级
C : 10000级
D : 100000级
E : 300000级
54 、 单选题
通过在分散相与连续相的界面上发生单体的缩聚反应,生成微囊囊膜以制备微囊的方法
是
A : 界面缩聚法
B : 辐射交联法
C : 喷雾干燥法
D : 液中干燥法
E : 单凝聚法
55 、 单选题
使用糖皮质激素治疗各种疾病,请选择剂量与治疗法:减轻对肾上腺皮质功能抑制的疗
法为()A : 大剂量突击疗法
B : 小剂量替代疗法
C : 一般剂量长期疗法
D : 隔日疗法
E : 局部外用
56 、 单选题
表示溶液的酸度用
A :
B :
C : α
D : pH
E : d
57 、 单选题
下列鉴别反应正确的是()
A : 吲哚美辛与新鲜的香草醛盐酸液共热,显玫瑰紫色
B : 双氯芬酸钠可通过重氮化耦合反应进行鉴别
C : 吡罗昔康与三氯化铁反应生成橙色
D : 阿司匹林加酸煮沸放冷,再加三氯化铁显红色
E : 对乙酰氨基酚加三氯化铁产生红色
58 、 单选题
下列细菌对青霉素不敏感的是()
A : 大肠埃希菌
B : 炭疽杆菌
C : 白喉杆菌
D : 产气荚膜杆菌
E : 百日咳杆菌
59 、 单选题
铁剂用于治疗
A : 溶血性贫血
B : 巨幼红细胞性贫血
C : 再生障碍性贫血
D : 小细胞低色素性贫血E : 以上都不是
60 、 单选题
患者男性,46岁。工人。因发热、心慌、血沉100mm/h,诊断为风湿性心肌炎。无高
血压及溃疡病史。入院后接受抗风湿治疗,泼尼松每日30~40mg口服,用药至第12日,
血压上升至150/100mmHg,用药至第15日,上腹不适,有压痛,第24日发现黑便,
第28日大量呕血,血压70/50mmHg,呈休克状态。迅速输血1600ml后,进行剖腹探查,
术中发现胃内有大量积血,胃小弯部有溃疡,立即作胃次全切除术。术后停用糖皮质激
素,改用其他药物治疗。与糖皮质激素治疗风湿有关的药理作用是()
A : 抗炎作用
B : 抗毒作用
C : 抗免疫作用
D : 抗休克作用
E : 以上都不是
61 、 单选题
下列全部为片剂中常用的填充剂的是
A : 淀粉,糖粉,交联聚维酮
B : 淀粉,羧甲基淀粉钠,羟丙甲基纤维素
C : 低取代羟丙基纤维素,糖粉,糊精
D : 淀粉,糖粉,微晶纤维素
E : 硫酸钙,微晶纤维素,聚乙二醇
62 、 单选题
阿莫西林的化学结构是
A :
B :
C :
D :
63 、 单选题
患者男性,46岁。工人。因发热、心慌、血沉100mm/h,诊断为风湿性心肌炎。无高
血压及溃疡病史。入院后接受抗风湿治疗,泼尼松每日30~40mg口服,用药至第12日,
血压上升至150/100mmHg,用药至第15日,上腹不适,有压痛,第24日发现黑便,
第28日大量呕血,血压70/50mmHg,呈休克状态。迅速输血1600ml后,进行剖腹探查,
术中发现胃内有大量积血,胃小弯部有溃疡,立即作胃次全切除术。术后停用糖皮质激
素,改用其他药物治疗。上述病例属糖皮质激素不良反应的是()
A : 化系统并发症
B : 诱发或加重感染
C : 医源性肾上腺皮质功能亢进
D : 骨质疏松、肌肉萎缩、伤口愈合迟缓
E : 以上都不是
64 、 单选题
硝酸异山梨酯在体内的活性代谢产物并作为抗心绞痛药物使用的是
A : 硝酸异山梨
B : 异山梨醇
C : 硝酸甘油
D : 单硝酸异山梨酯(异山梨醇-5-硝酸酯)
E : 异山梨醇-2-硝酸酯
65 、 单选题
可以采用以葡聚糖凝胶G-10为基础的凝胶色谱分析系统分析杂质的是()
A : 炔雌醇
B : 青霉素
C : 维生素C
D : 奎宁
E : 苯巴比妥
66 、 单选题
可用于不溶性骨架片的材料为
A : 硬脂酸
B : PEG
C : HPMC
D : CAP
E : EC
67 、 单选题
化学结构中含有咪唑烷二酮的药物是
A : 氨己烯酸
B : 苯巴比妥
C : 硫喷妥钠D : 丙戊酸钠
E : 苯妥英钠
68 、 单选题
结构中含哌嗪环
A : 盐酸布桂嗪
B : 盐酸吗啡
C : 右丙氧芬
D : 盐酸曲马多
E : 苯噻啶
69 、 单选题
司可巴比妥钠(分子量为260.27)采用溴量法测定含量时,每1ml溴滴定液(0.05mol/L)相当
于司可巴比妥钠的毫克(mg)数为
A : 1.301
B : 2.601
C : 13.01
D : 26.01
E : 52.02
70 、 单选题
化学治疗是()
A : 用化学方法合成的药物治疗
B : 仅指对恶性肿瘤的药物治疗
C : 仅指对病原微生物所致疾病的药物治疗
D : 内科疾病的药物治疗
E : 细菌和其他微生物、寄生虫以及肿瘤细胞所致疾病的药物治疗
71 、 单选题
不属于软膏剂质量检查项目的是()
A : 熔程
B : 刺激性
C : 融变时限
D : 酸碱度
E : 流变性
72 、 单选题
不属于医院药检任务的是()
A : 制定和修改质量管理制度、检验规程
B : 负责自制制剂半成品和成品的检验C : 定期对注射用水进行检验
D : 负责制剂质量的统计分析
E : 负责药品的采购
73 、 单选题
在一种高分子囊材溶液中加入凝聚剂以降低囊材溶解度而凝聚成微囊的方法是
A : 界面缩聚法
B : 辐射交联法
C : 喷雾干燥法
D : 液中干燥法
E : 单凝聚法
74 、 单选题
可用于亲水性凝胶骨架片的材料为
A : 硬脂酸
B : PEG
C : HPMC
D : CAP
E : EC
75 、 单选题
检查药物中的硫酸盐,适宜的硫酸盐比浊浓度范围是
A : (10~50μg)/50ml
B : (50~80μg)/50ml
C : (0.1~0.5mg)/50ml
D : (0.5~0.8mg)/50ml
E : (1~8mg)/50ml
76 、 单选题
属于β-内酰胺类抗生素的药物是
A : 链霉素
B : 四环素
C : 庆大霉素
D : 青霉素钾
E : 阿奇霉素
77 、 单选题
副交感神经兴奋后引起胃肠平滑肌、膀胱逼尿肌兴奋以及腺体分泌增加通过的受体是()
A :
B :
C : M型受体
D :
E :
78 、 单选题
从乳浊液中除去分散相挥发性溶剂以制备微囊的方法是
A : 界面缩聚法
B : 辐射交联法
C : 喷雾干燥法
D : 液中干燥法
E : 单凝聚法
79 、 单选题
使用糖皮质激素治疗各种疾病,请选择剂量与治疗法:肾上腺皮质功能不全()
A : 大剂量突击疗法
B : 小剂量替代疗法
C : 一般剂量长期疗法
D : 隔日疗法
E : 局部外用
80 、 单选题
糖皮质激素诱发或加重感染的主要原因是()
A : 激素用量不足,无法控制症状
B : 患者对激素不敏感,未反映出相应的疗效
C : 使用激素时,未用足量有效的抗生素
D : 激素促使许多病原微生物繁殖
E : 抑制机体的免疫功能
81 、 多选题
有关盐酸氯丙嗪的叙述,正确的是A : 分子中有吩噻嗪环
B : 为多巴胺受体拮抗剂
C : 在空气或日光中放置,性质不稳定
D : 由于遇光分解产生自由基,部分患者在强日光下发生光毒化反应
E : 用于治疗精神分裂症,亦用于镇吐等
82 、 多选题
属于胰岛素分泌促进剂的药物是
A : 苯乙双胍
B : 罗格列酮
C : 格列本脲
D : 格列齐特
E : 甲苯磺丁脲
83 、 多选题
下列哪些药物化学结构中含有手性碳原子
A : 维生素C
B : 维生素A
C : 维生素B 2
D : 维生素B 1
E : 维生素E
84 、 多选题
HPMC可应用于
A : 亲水凝胶骨架材料
B : 助悬剂
C : 崩解剂
D : 黏合剂
E : 薄膜衣料
85 、 多选题
属于氨基糖苷类抗生素的是
A : 链霉素
B : 卡那霉素
C : 庆大霉素
D : 克林霉素
E : 阿米卡星
86 、 多选题
影响生物利用度的因素是A : 药物的化学稳定性
B : 药物在胃肠道中的分解
C : 肝脏的首过效应
D : 制剂处方组成
E : 非线性特征药物
87 、 多选题
注射剂的质量要求包括
A : 无菌
B : 无热原
C : 融变时限
D : 澄明度
E : 渗透压
88 、 多选题
丙磺舒的鉴别方法有
A : 三氯化铁反应
B : 水解反应
C : 分解产物的反应
D : 紫外分光光度法
E : 红外光谱法
89 、 多选题
卡托普利治疗高血压的作用机制有
A : 抑制血管紧张素转换酶活性
B : 减少醛固酮分泌
C : 减少缓激肽水解
D : 抑制血管平滑肌增殖
E : 阻断血管紧张素AT 1 受体
90 、 多选题
影响四环素吸收的因素有
A : 与铁剂同服
B : 与氢氧化铝、三硅酸镁同服
C : 与牛奶、奶制品同服
D : 每次口服剂量超过0.5g
E : 饭后服用
91 、 多选题
防治骨质疏松的药物按照作用机制可分为A : 抑制骨吸收
B : 钙剂
C : 促进骨形成
D : 维生素D
E : 双膦酸盐
92 、 多选题
《中国药典》规定限量的残留溶剂是
A : 四氯化碳
B : 苯
C : 三氯甲烷
D : 正己烷
E : 甲醇
93 、 多选题
气相色谱法常用的固定液有
A : SE-30
B : PEG-20M
C : ODS
D : OV-17
E : 角鲨烷
94 、 多选题
属于麻醉药品管理的有
A : 盐酸哌替啶
B : 盐酸曲马多
C : 盐酸美沙酮
D : 盐酸吗啡
E : 磷酸可待因
95 、 多选题
《中国药典》使用亚硝酸钠滴定法测定含量的药物有
A : 磺胺甲恶唑
B : 磺胺嘧啶片
C : 磺胺甲恶唑片
D : 复方磺胺甲恶唑片
E : 磺胺嘧啶
96 、 多选题
生物技术药物制剂的稳定化方法包括A : 采用pH的缓冲体系
B : 采取抗氧化措施
C : 加入糖和多元醇
D : 加入血清蛋白
E : 加入络合剂
97 、 多选题
下列哪些叙述是硝苯地平的特点
A : 对轻、中、重度高血压患者均有降压作用
B : 降压时伴有反射性心率加快和心搏出量增加
C : 可增高血浆肾素活性
D : 合用β受体阻断药可增其降压作用
E : 对正常血压者有降压作用
98 、 多选题
阿托品抢救有机磷酸酯中毒的原则是
A : 主要用于中度和重度患者
B : 大量用至阿托品化
C : 重症病例应与解磷定合用
D : 反复持久用药
E : 出现心率加快、口干应立即停药
99 、 多选题
蛋白质类药物的口服给药的缺点是
A : 降低吸收部位和吸收途径肽酶的活性
B : 提高吸收屏障的通透性
C : 形成多聚体
D : 胃肠道发生降解
E : 胃肠黏膜的穿透性差
100 、 多选题
对卡莫司汀表述正确的是
A : 具较强的亲脂性,能通过血一脑屏障,适用于脑瘤等
B : 属于氮芥类
C : 分子中的β-氯乙基与亚硝基脲相连
D : 又名卡氮芥、BCNU
E : 有骨髓抑制的不良反应