文档内容
军队文职人员招聘考试《药学》模拟试题五
即刻题库 www.jike.vip
1 、 单选题
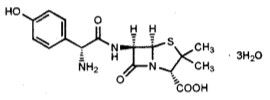
头孢克洛的化学结构是
A :
B :
C :
D :
E :
2 、 单选题
阿托品的不良反应是
A : 乏力
B : 瞳孔缩小
C : 心动过缓
D : 排汗减少,夏日易中暑
E : 呕吐
3 、 单选题
主要用于革兰阴性菌感染,而对革兰阳性菌作用差的药物是
A : 阿莫西林B : 亚胺培南
C : 氨曲南
D : 克拉维酸
E : 替莫西林
4 、 单选题
甲氧苄啶(TMP)的作用机制是()
A : 抑制二氢叶酸合成酶
B : 抑制二氢叶酸还原酶
C : 参与DNA的合成
D : 抑制β-内酰胺酶
E : 抗代谢作用
5 、 单选题
糖皮质激素治疗严重急性感染的主要目的是
A : 减轻炎症反应
B : 减轻后遗症
C : 增强机体抵抗力
D : 增强机体应激性
E : 缓解症状,帮助病人度过危险期
6 、 单选题
吗啡禁用于分娩止痛的原因是
A : 促进组胺释放
B : 激动蓝斑核的阿片受体
C : 抑制呼吸、延长产程
D : 抑制去甲肾上腺素神经元活动
E : 脑血管扩张,颅内压升高
7 、 单选题
患者女性,45岁。近两年来经常头痛、头晕、耳鸣、心悸、记忆力减退、手脚麻木,近
一年来于清晨睡醒时经常出现心前区疼痛并向右肩部放散。就诊时,血
压170/105mmHg,心电图表现为弓背向下型S-T段抬高。此患者最可能的临床诊断是()
A : 重度高血压
B : 重度高血压伴心功能不全
C : 中度高血压伴心绞痛
D : 轻度高血压伴心肌炎
E : 轻度高血压伴扩张性心肌病
8 、 单选题含有具有二苯胺结构的药物是
A : 酚妥拉明
B : 多巴酚丁胺
C : 盐酸哌唑嗪
D : 托特罗定
E : 阿呋唑嗪
9 、 单选题
支气管哮喘伴有尿路梗阻的病人应禁用
A : 阿托品
B : 东莨菪碱
C : 新斯的明
D : 后马托品
E : 山莨菪碱
10 、 单选题
多潘立酮属于
A : 抗溃疡药
B : 抗过敏药
C : 胃动力药
D : 抗炎药
E : 抗肿瘤药
11 、 单选题
为氧青霉烷类药物的是
A : 舒巴坦钠
B : 亚胺培南
C : 替莫西林
D : 氨曲南
E : 克拉维酸钾
12 、 单选题
下列是软膏剂类脂类基质的是
A : 羊毛脂
B : 石蜡
C : 硅酮
D : 凡士林
E : 聚乙二醇
13 、 单选题为合成的M胆碱受体拮抗剂
A : 氯化琥珀胆碱
B : 溴新斯的明
C : 溴丙胺太林
D : 硫酸阿托品
E : 氯贝胆碱
14 、 单选题
使微粒Zata电位减少的电解质
A : 助悬剂
B : 稳定剂
C : 润湿剂
D : 反絮凝剂
E : 絮凝剂
15 、 单选题
患者女性,45岁。近两年来经常头痛、头晕、耳鸣、心悸、记忆力减退、手脚麻木,近
一年来于清晨睡醒时经常出现心前区疼痛并向右肩部放散。就诊时,血
压170/105mmHg,心电图表现为弓背向下型S-T段抬高。若患者因担心病情而出现焦虑、
恐慌和紧张情绪,坐卧不宁,心烦意乱,伴有头痛、入睡困难、做噩梦、易惊醒等表现,
则可合并使用的降压药物是()
A :
B : 利尿药
C : 血管紧张素转换酶抑制剂
D : 钙拮抗剂
E : β受体阻断药
16 、 单选题
栓剂油脂性基质
A : 蜂蜡
B : 羊毛脂
C : 甘油明胶
D : 半合成脂肪酸甘油酯
E : 凡士林
17 、 单选题
患者女性,45岁。近两年来经常头痛、头晕、耳鸣、心悸、记忆力减退、手脚麻木,近
一年来于清晨睡醒时经常出现心前区疼痛并向右肩部放散。就诊时,血
压170/105mmHg,心电图表现为弓背向下型S-T段抬高。若患者经X线检查发现其左心增大、肺瘀血、肺静脉影增宽,经超声心动图检查发现其左心室舒张末期容积增加、每
搏输出量和射血分数降低、左心室内径和左心房内径扩大,则应使用的降压药物是()
A : 血管紧张素转换酶抑制剂
B : 利尿药
C : β受体阻断药
D : 钙拮抗剂
E : 硝普钠
18 、 单选题
遇光极不稳定,会发生歧化反应
A : 卡托普利
B : 利血平
C : 硝苯地平
D : 依他尼酸
E : 盐酸可乐定
19 、 单选题
为乙酰胆碱酯酶抑制剂
A : 氯化琥珀胆碱
B : 溴新斯的明
C : 溴丙胺太林
D : 硫酸阿托品
E : 氯贝胆碱
20 、 单选题
抑制H+,K+-ATP酶活性
A : 氢氧化铝
B : 哌仑西平
C : 雷尼替丁
D : 奥美拉唑
E : 丙谷胺
21 、 单选题
很少引起心率加快的药物是
A : 哌唑嗪
B : 育亨宾
C : 酚苄明
D : 妥拉唑啉
E : 麻黄碱22 、 单选题
关于剂型的分类下列叙述错误的是
A : 溶胶剂为液体剂型
B : 颗粒剂为固体剂型
C : 栓剂为半固体剂型
D : 气雾剂为气体分散型
E : 气雾剂、吸入粉雾剂为经呼吸道给药剂型
23 、 单选题
含有烯丙胺结构的抗真菌药是
A : 氟胞嘧啶
B : 酮康唑
C : 特比萘芬
D : 伊曲康唑
E : 特康唑
24 、 单选题
长期应用氢氯噻嗪降低血压的作用机制主要是
A : 抑制醛固酮分泌
B : 排钠,使细胞内Na + 减少
C : 降低血浆肾素活性
D : 排钠利尿,造成体内Na + 和水的负平衡,使细胞外液和血容量减少
E : 阻断醛固酮受体
25 、 单选题
为青霉烷砜类药物的是
A : 舒巴坦钠
B : 亚胺培南
C : 替莫西林
D : 氨曲南
E : 克拉维酸钾
26 、 单选题
中和胃酸
A : 氢氧化铝
B : 哌仑西平
C : 雷尼替丁
D : 奥美拉唑
E : 丙谷胺27 、 单选题
为单环β-内酰胺类药物的是
A : 舒巴坦钠
B : 亚胺培南
C : 替莫西林
D : 氨曲南
E : 克拉维酸钾
28 、 单选题
下列是片重差异超限的原因不包括
A : 冲模表面粗糙
B : 颗粒流动性不好
C : 颗粒内的细粉太多或颗粒的大小相差悬殊
D : 加料斗内的颗粒时多时少
E : 冲头与模孔吻合性不好
29 、 单选题
对革兰阳性菌、革兰阴性菌、厌氧菌均有强大抗菌活性的药物是
A : 阿莫西林
B : 亚胺培南
C : 氨曲南
D : 克拉维酸
E : 替莫西林
30 、 单选题
为N 胆碱受体阻断剂
2
A : 氯化琥珀胆碱
B : 溴新斯的明
C : 溴丙胺太林
D : 硫酸阿托品
E : 氯贝胆碱
31 、 单选题
甲基多巴起到降压作用的原因是在体内转化为()
A : 肾上腺素
B : 去甲肾上腺素
C : 异丙肾上腺素
D : 左旋多巴胺
E : 甲基去甲肾上腺素32 、 单选题
阻断H 受体
2
A : 氢氧化铝
B : 哌仑西平
C : 雷尼替丁
D : 奥美拉唑
E : 丙谷胺
33 、 单选题
常用于肠溶型包衣材料的有()
A : MCC
B : EudragitL100
C : Carbomer
D : EC
E : HPMC
34 、 单选题
引起病人对巴比妥类药物依赖性的主要原因是
A : 有镇静作用
B : 停药后快动眼睡眠时间延长,梦魇增多
C : 有镇痛作用
D : 能诱导肝药酶
E : 使病人产生欣快感
35 、 单选题
加入改善凡士林吸水性的物料是
A : 植物油
B : 鲸蜡
C : 液状石蜡
D : 羊毛脂
E : 聚乙二醇
36 、 单选题
神经冲动释放的去甲肾上腺素主要
A : 被胆碱酯酶代谢
B : 被单胺氧化酶代谢
C : 被突触前膜重摄取
D : 经肝脏代谢破坏
E : 进入血液,重分布于机体各组织37 、 单选题
直接与三氯化铁试液反应显蓝紫色的药物是
A : 肾上腺素
B : 阿司匹林
C : 对乙酰氨基酚
D : 丙磺舒
E : 盐酸利多卡因
38 、 单选题
常用于缓释型包衣材料的有()
A : MCC
B : EudragitL100
C : Carbomer
D : EC
E : HPMC
39 、 单选题
加速试验的条件是
A : 40℃RH75%
B : 50℃RH75%
C : 60℃RH60%
D : 40℃RH60%
E : 50℃RH60%
40 、 单选题
下列药物中属于第四代喹诺酮类药物的是()
A : 西诺沙星
B : 环丙沙星
C : 诺氟沙星
D : 培氟沙星
E : 吉米沙星
41 、 单选题
调血脂药物洛伐他汀属于()
A : 苯氧乙酸及类似物
B : 烟酸类
C : HMG-CoA还原酶抑制剂
D : 贝特类
E : 苯氧戊酸类42 、 单选题
使微粒表面由固一气二相结合状态转成固一液二相结合状态的附加剂
A : 助悬剂
B : 稳定剂
C : 润湿剂
D : 反絮凝剂
E : 絮凝剂
43 、 单选题
常用于普通型包衣材料的有()
A : MCC
B : EudragitL100
C : Carbomer
D : EC
E : HPMC
44 、 单选题
环丙沙星结构式为
A :
B :
C :
D :
E :
45 、 单选题
氨基苷类抗生素的不良反应不包括()
A : 耳毒性
B : 肾毒性C : 过敏反应
D : 神经肌肉阻滞作用
E : 骨髓抑制
46 、 单选题
可作为氨基糖苷类的替代品,与其合用可加强对铜绿假单胞菌和肠道杆菌作用的物是
A : 阿莫西林
B : 亚胺培南
C : 氨曲南
D : 克拉维酸
E : 替莫西林
47 、 单选题
关于替硝唑,下列的叙述哪项是错误的
A : 毒性比甲硝唑高
B : 半衰期长,口服一次,可维持疗效3天
C : 对阿米巴痢疾和肠外阿米巴病都有效
D : 与甲硝唑的结构相似
E : 也可用于治疗阴道滴虫病
48 、 单选题
物料在定子和转子间的缝隙间受剪切作用而制成混悬剂或乳剂的设备
A : 球磨机
B : 气流式粉碎机
C : V型混合机
D : 冲击式粉碎机
E : 胶体磨
49 、 单选题
与吡啶一硫酸铜作用,生成绿色配位化合物的药物是
A : 苯巴比妥
B : 异烟肼
C : 司可巴比妥
D : 盐酸氯丙嗪
E : 硫喷妥钠
50 、 单选题
能引起视调节麻痹的药物是()
A : 肾上腺素
B : 筒箭毒碱C : 酚妥拉明
D : 毛果芸香碱
E : 阿托品
51 、 单选题
气雾剂的质量评定不包括
A : 喷雾剂量
B : 喷次检查
C : 粒度
D : 泄露率检查
E : 抛射剂用量检查
52 、 单选题
对于熔点低,受热不稳定及水分难赶除的药物干燥失重测定,适宜采用的方法是
A : 常压恒温干燥法
B : 干燥剂干燥法
C : 恒压恒重干燥法
D : 恒压恒温干燥法
E : 减压干燥法
53 、 单选题
阿托品最先出现的副作用是()
A : 黑噱
B : 心悸
C : 口干
D : 失眠
E : 腹胀
54 、 单选题
解磷定治疗有机磷酸酯中毒的主要机制是
A : 竞争性与M受体结合,对抗M样症状
B : 竞争性与N受体结合,对抗N样症状
C : 竞争性与M和N受体结合,对抗M和N样症状
D : 与磷酰化胆碱酯酶中的磷酰基结合,复活胆碱酯酶
E : 与乙酰胆碱结合,阻止其过度作用
55 、 单选题
对β-内酰胺酶有抑制作用的药物是
A : 阿莫西林
B : 亚胺培南C : 氨曲南
D : 克拉维酸
E : 替莫西林
56 、 单选题
芦氟沙星结构式为
A :
B :
C :
D :
E :
57 、 单选题
关于药物制成混悬剂的条件的不正确表述是
A : 难溶性药物需制成液体制剂供临床应用时
B : 药物的剂量超过溶解度而不能以溶液剂形式应用时
C : 两种溶液混合时药物的溶解度降低而析出固体药物时
D : 毒剧药或剂量小的药物应制成混悬剂使用
E : 需要产生缓释作用时
58 、 单选题
具有焦耳一汤姆逊冷却效应,适用于热敏性物料的粉碎设备
A : 球磨机
B : 气流式粉碎机
C : V型混合机
D : 冲击式粉碎机
E : 胶体磨59 、 单选题
加替沙星结构式为
A :
B :
C :
D :
E :
60 、 单选题
可作为粉末直接压片,有“干黏合剂”之称的是
A : 淀粉
B : 微晶纤维素
C : 乳糖
D : 无机盐类
E : 微粉硅胶
61 、 单选题
粉碎的药剂学意义错误的是
A : 粉碎有利于增加固体药物的溶解度和吸收
B : 粉碎成细粉有利于各成分混合均匀
C : 粉碎是为了提高药物的稳定性
D : 粉碎有助于从天然药物提取有效成分
E : 粉碎有利于提高固体药物在液体制剂中的分散性
62 、 单选题
通过阻断血管紧张素Ⅱ受体而治疗慢性心功能不全的药物是
A : 地高辛
B : 氨力农C : 氯沙坦
D : 美托洛尔
E : 卡托普利
63 、 单选题
在反相高效液相色谱法中,常用的固定相是
A : 硅胶
B : 氧化铝
C : 十八烷基硅烷键合硅胶
D : 甲醇
E : 水
64 、 单选题
属于主动靶向的制剂有()
A : 糖基修饰脂质体
B : 聚乳酸微球
C : 静脉注射乳剂
D : 氰基丙烯酸烷酯纳米囊
E : pH敏感的口服结肠定位给药系统
65 、 单选题
糖皮质激素可抑制巨噬细胞中的一氧化氮合成酶,故可发挥
A : 免疫抑制作用
B : 抗休克作用
C : 抗炎作用
D : 刺激骨髓造血功能
E : 血小板增多
66 、 单选题
吗啡易被氧化变色是由于分子结构中含有以下哪种基团
A : 醇羟基
B : 双键
C : 醚键
D : 酚羟基
E : 哌啶环
67 、 单选题
左旋咪唑增强免疫的机制是
A : 激活腺苷酸环化酶,使淋巴细胞和巨噬细胞cAMP含量增高
B : 激活环核苷酸磷酸二酯酶,降低淋巴细胞和巨噬细胞内cAMP含量C : 促进B细胞、自然杀伤细胞的分化增殖
D : 促进白介素的生成
E : 增加淋巴细胞产生干扰素
68 、 单选题
下列乳化剂中,属于固体微粒型乳化剂的是()
A : 氢氧化铝
B : 油酸钠
C : 蜂蜡
D : 明胶
E : 苄泽
69 、 单选题
患者女性,45岁。近两年来经常头痛、头晕、耳鸣、心悸、记忆力减退、手脚麻木,近
一年来于清晨睡醒时经常出现心前区疼痛并向右肩部放散。就诊时,血
压170/105mmHg,心电图表现为弓背向下型S-T段抬高。此患者最宜使用的降压药物
是()
A : 中枢性降压药
B : 利尿药
C : 血管紧张素转换酶抑制剂
D : 钙拮抗剂
E : 钾通道开放剂
70 、 单选题
缩宫素对子宫平滑肌作用的特点是()
A : 大剂量时引起子宫底节律性收缩,子宫颈松弛
B : 小剂量时即可引起子宫底和子宫颈收缩
C : 妊娠早期对药物敏感性最强
D : 子宫对药物的敏感性与妊娠阶段无关
E : 小剂量引起子宫底节律性收缩,子宫颈松弛
71 、 单选题
A : 阿普唑仑
B : 佐匹克隆
C : 帕罗西汀
D : 丁螺环酮
E : 艾司唑仑72 、 单选题
替罗非班特征不符合的描述是
A : 是血小板膜GPⅡb/Ⅲa受体拮抗剂
B : 是酪氨酸衍生物
C : 含有甲磺酰胺结构
D : 含有哌啶结构
E : 含有丁磺酰胺结构
73 、 单选题
为天然来源的M胆碱受体拮抗剂
A : 氯化琥珀胆碱
B : 溴新斯的明
C : 溴丙胺太林
D : 硫酸阿托品
E : 氯贝胆碱
74 、 单选题
阻断M 受体
1
A : 氢氧化铝
B : 哌仑西平
C : 雷尼替丁
D : 奥美拉唑
E : 丙谷胺
75 、 单选题
高血压合并痛风者不宜用
A : 阿替洛尔
B : 依那普利
C : 硝苯地平
D : 氢氯噻嗪
E : 哌唑嗪
76 、 单选题
在光和热条件下,发生差向异构化
A : 卡托普利
B : 利血平
C : 硝苯地平
D : 依他尼酸
E : 盐酸可乐定77 、 单选题
强心苷治疗心房纤颤的机制主要是()
A : 缩短心房有效不应期
B : 减慢房室传导
C : 抑制窦房结
D : 降低普肯耶纤维自律性
E : 阻断β受体
78 、 单选题
下列可避免肝脏的首过效应的片剂是
A : 泡腾片
B : 缓释片
C : 舌下片
D : 分散片
E : 溶液片
79 、 单选题
洛美沙星结构式为
A :
B :
C :
D :
E :
80 、 单选题
栓剂水溶性基质A : 蜂蜡
B : 羊毛脂
C : 甘油明胶
D : 半合成脂肪酸甘油酯
E : 凡士林
81 、 多选题
关于药物稳定性的酸碱催化叙述正确的是
A :
B : 在pH很低时,主要是碱催化
C : 在pH较高时,主要由酸催化
D : 在pH-速度曲线图最低点所对应的横座标,即为最稳定pH
E :
82 、 多选题
经皮吸收制剂常用的压敏胶有
A : 聚异丁烯
B : 聚乙烯醇
C : 聚丙烯酸酯
D : 聚硅氧烷
E : 聚乙二醇
83 、 多选题
硫酸庆大霉素中C组分的测定
A : 采用反相高效液相色谱法测定各组分含量
B : 采用比色法测定各组分含量
C : 采用标准曲线法测定各组分含量
D : 使用了庆大霉素和小诺霉素标准品
E : 使用蒸发光散射检测器
84 、 多选题
抗精神失常药物按结构分类包括
A : 吩噻嗪类
B : 丁酰苯类
C : 苯二氮革类
D : 巴比妥类E : 二苯环庚烯类
85 、 多选题
可治疗开角型青光眼的β受体阻滞药是
A : 毛果芸香碱
B : 普萘洛尔
C : 毒扁豆碱
D : 噻吗洛尔
E : 新斯的明
86 、 多选题
三硅酸镁具有下列哪些特点
A : 抗酸作用较弱而慢,但持久
B : 有便秘作用
C : 可与氢氧化铝组成复方制剂
D : 有导泻作用
E : 在胃内生成胶状二氧化硅对溃疡面有保护作用
87 、 多选题
下列叙述中正确的为
A : 二价皂和三价皂是形成W/O型乳剂基质的乳化剂
B : 软膏用于大面积烧伤,用时应进行灭菌
C : 软膏剂主要起保护、润滑作用
D : 凡士林化学性质稳定,无刺激性,适用于遇水不稳定的药物
E : 固体石蜡和蜂蜡为类脂类基质,用于增加软膏稠度
88 、 多选题
采用比色法测定醋酸地塞米松注射液的含量,使用的试剂有
A : 亚硝基铁氰化钠
B : 硫酸
C : 氯化三苯四氮唑
D : 氢氧化四甲基铵
E : 二甲苯
89 、 多选题
药物杂质限量计算式L=C×V/S中各符号的含义为
A : C为样品溶液的浓度
B : C为杂质标准溶液的浓度
C : V为样品溶液的体积
D : V为杂质标准溶液的体积E : S为标准品的量
90 、 多选题
巴比妥类药物急性中毒的解救措施包括
A : 保持呼吸道通畅,吸氧
B : 必要时进行人工呼吸
C : 应用中枢兴奋药
D : 静脉滴注碳酸氢钠
E : 透析治疗
91 、 多选题
主要以原形经肾排出的药物
A : 阿昔洛韦
B : 氟康唑
C : 阿糖腺苷
D : 利巴韦林
E : 金刚烷胺
92 、 多选题
有关地西泮的体内过程描述,正确的是
A : 肌注比口服吸收慢且不规则
B : 代谢产物去甲地西泮仍有活性
C : 肝功能障碍时半衰期延长
D : 血浆蛋白结合率低
E : 可经乳汁排泄
93 、 多选题
下列关于凝胶剂叙述正确的是
A : 凝胶剂是指药物与适宜辅料制成的均一、混悬或乳剂的乳胶稠厚液体或半固体制剂
B : 凝胶剂只有单相分散系统
C : 氢氧化铝凝胶为单相凝胶系统
D : 卡波姆在水中分散即形成凝胶
E : 卡波姆在水中分散形成混浊的酸性溶液必须加入NaOH中和,才形成凝胶剂
94 、 多选题
通过阻滞钠通道发挥抗心律失常作用的药物是
A : 维拉帕米
B : 奎尼丁
C : 盐酸胺碘酮
D : 盐酸利多卡因E : 盐酸普鲁卡因胺
95 、 多选题
下列哪些是水溶性维生素
A : 维生素B 6
B : 维生素B 1
C : 维生素B 2
D : 维生素C
E : 维生素E
96 、 多选题
肝脏首过效应较大,可选用适宜的剂型是
A : 肠溶片剂
B : 舌下片剂
C : 口服乳剂
D : 透皮给药系统
E : 气雾剂
97 、 多选题
缩宫素对子宫作用的特点有
A : 大剂量可使子宫平滑肌发生强直性收缩
B : 小剂量可使子宫收缩的作用与正常分娩相似
C : 对子宫血管有收缩作用
D : 作用与体内雌激素和孕激素水平有关
E : 作用强度与子宫生理状态和用药剂量有关
98 、 多选题
与盐酸赛庚性质啶相符的是
A : 在三氯甲烷中有乳化现象
B : 化学结构中含有氮甲基哌啶
C : 可以治疗消化性溃疡病
D : 为H1受体拮抗剂
E : 在水中微溶,水溶液呈酸性反应
99 、 多选题
奥美拉唑临床可用于治疗
A : 良性胃溃疡
B : 恶性胃溃疡
C : 十二指肠溃疡
D : 反流性食管炎E : 术后溃疡
100 、 多选题
蛋白质类药物吸收促进的方法有
A : 提高吸收屏障的通透性
B : 降低吸收部位和吸收途径肽酶的活性
C : 使用吸收促进剂
D : 延长作用时间
E : 通过离子导入技术
B :
C :
D :
E :
2 、 单选题
阿托品的不良反应是
A : 乏力
B : 瞳孔缩小
C : 心动过缓
D : 排汗减少,夏日易中暑
E : 呕吐
3 、 单选题
主要用于革兰阴性菌感染,而对革兰阳性菌作用差的药物是
A : 阿莫西林B : 亚胺培南
C : 氨曲南
D : 克拉维酸
E : 替莫西林
4 、 单选题
甲氧苄啶(TMP)的作用机制是()
A : 抑制二氢叶酸合成酶
B : 抑制二氢叶酸还原酶
C : 参与DNA的合成
D : 抑制β-内酰胺酶
E : 抗代谢作用
5 、 单选题
糖皮质激素治疗严重急性感染的主要目的是
A : 减轻炎症反应
B : 减轻后遗症
C : 增强机体抵抗力
D : 增强机体应激性
E : 缓解症状,帮助病人度过危险期
6 、 单选题
吗啡禁用于分娩止痛的原因是
A : 促进组胺释放
B : 激动蓝斑核的阿片受体
C : 抑制呼吸、延长产程
D : 抑制去甲肾上腺素神经元活动
E : 脑血管扩张,颅内压升高
7 、 单选题
患者女性,45岁。近两年来经常头痛、头晕、耳鸣、心悸、记忆力减退、手脚麻木,近
一年来于清晨睡醒时经常出现心前区疼痛并向右肩部放散。就诊时,血
压170/105mmHg,心电图表现为弓背向下型S-T段抬高。此患者最可能的临床诊断是()
A : 重度高血压
B : 重度高血压伴心功能不全
C : 中度高血压伴心绞痛
D : 轻度高血压伴心肌炎
E : 轻度高血压伴扩张性心肌病
8 、 单选题含有具有二苯胺结构的药物是
A : 酚妥拉明
B : 多巴酚丁胺
C : 盐酸哌唑嗪
D : 托特罗定
E : 阿呋唑嗪
9 、 单选题
支气管哮喘伴有尿路梗阻的病人应禁用
A : 阿托品
B : 东莨菪碱
C : 新斯的明
D : 后马托品
E : 山莨菪碱
10 、 单选题
多潘立酮属于
A : 抗溃疡药
B : 抗过敏药
C : 胃动力药
D : 抗炎药
E : 抗肿瘤药
11 、 单选题
为氧青霉烷类药物的是
A : 舒巴坦钠
B : 亚胺培南
C : 替莫西林
D : 氨曲南
E : 克拉维酸钾
12 、 单选题
下列是软膏剂类脂类基质的是
A : 羊毛脂
B : 石蜡
C : 硅酮
D : 凡士林
E : 聚乙二醇
13 、 单选题为合成的M胆碱受体拮抗剂
A : 氯化琥珀胆碱
B : 溴新斯的明
C : 溴丙胺太林
D : 硫酸阿托品
E : 氯贝胆碱
14 、 单选题
使微粒Zata电位减少的电解质
A : 助悬剂
B : 稳定剂
C : 润湿剂
D : 反絮凝剂
E : 絮凝剂
15 、 单选题
患者女性,45岁。近两年来经常头痛、头晕、耳鸣、心悸、记忆力减退、手脚麻木,近
一年来于清晨睡醒时经常出现心前区疼痛并向右肩部放散。就诊时,血
压170/105mmHg,心电图表现为弓背向下型S-T段抬高。若患者因担心病情而出现焦虑、
恐慌和紧张情绪,坐卧不宁,心烦意乱,伴有头痛、入睡困难、做噩梦、易惊醒等表现,
则可合并使用的降压药物是()
A :
B : 利尿药
C : 血管紧张素转换酶抑制剂
D : 钙拮抗剂
E : β受体阻断药
16 、 单选题
栓剂油脂性基质
A : 蜂蜡
B : 羊毛脂
C : 甘油明胶
D : 半合成脂肪酸甘油酯
E : 凡士林
17 、 单选题
患者女性,45岁。近两年来经常头痛、头晕、耳鸣、心悸、记忆力减退、手脚麻木,近
一年来于清晨睡醒时经常出现心前区疼痛并向右肩部放散。就诊时,血
压170/105mmHg,心电图表现为弓背向下型S-T段抬高。若患者经X线检查发现其左心增大、肺瘀血、肺静脉影增宽,经超声心动图检查发现其左心室舒张末期容积增加、每
搏输出量和射血分数降低、左心室内径和左心房内径扩大,则应使用的降压药物是()
A : 血管紧张素转换酶抑制剂
B : 利尿药
C : β受体阻断药
D : 钙拮抗剂
E : 硝普钠
18 、 单选题
遇光极不稳定,会发生歧化反应
A : 卡托普利
B : 利血平
C : 硝苯地平
D : 依他尼酸
E : 盐酸可乐定
19 、 单选题
为乙酰胆碱酯酶抑制剂
A : 氯化琥珀胆碱
B : 溴新斯的明
C : 溴丙胺太林
D : 硫酸阿托品
E : 氯贝胆碱
20 、 单选题
抑制H+,K+-ATP酶活性
A : 氢氧化铝
B : 哌仑西平
C : 雷尼替丁
D : 奥美拉唑
E : 丙谷胺
21 、 单选题
很少引起心率加快的药物是
A : 哌唑嗪
B : 育亨宾
C : 酚苄明
D : 妥拉唑啉
E : 麻黄碱22 、 单选题
关于剂型的分类下列叙述错误的是
A : 溶胶剂为液体剂型
B : 颗粒剂为固体剂型
C : 栓剂为半固体剂型
D : 气雾剂为气体分散型
E : 气雾剂、吸入粉雾剂为经呼吸道给药剂型
23 、 单选题
含有烯丙胺结构的抗真菌药是
A : 氟胞嘧啶
B : 酮康唑
C : 特比萘芬
D : 伊曲康唑
E : 特康唑
24 、 单选题
长期应用氢氯噻嗪降低血压的作用机制主要是
A : 抑制醛固酮分泌
B : 排钠,使细胞内Na + 减少
C : 降低血浆肾素活性
D : 排钠利尿,造成体内Na + 和水的负平衡,使细胞外液和血容量减少
E : 阻断醛固酮受体
25 、 单选题
为青霉烷砜类药物的是
A : 舒巴坦钠
B : 亚胺培南
C : 替莫西林
D : 氨曲南
E : 克拉维酸钾
26 、 单选题
中和胃酸
A : 氢氧化铝
B : 哌仑西平
C : 雷尼替丁
D : 奥美拉唑
E : 丙谷胺27 、 单选题
为单环β-内酰胺类药物的是
A : 舒巴坦钠
B : 亚胺培南
C : 替莫西林
D : 氨曲南
E : 克拉维酸钾
28 、 单选题
下列是片重差异超限的原因不包括
A : 冲模表面粗糙
B : 颗粒流动性不好
C : 颗粒内的细粉太多或颗粒的大小相差悬殊
D : 加料斗内的颗粒时多时少
E : 冲头与模孔吻合性不好
29 、 单选题
对革兰阳性菌、革兰阴性菌、厌氧菌均有强大抗菌活性的药物是
A : 阿莫西林
B : 亚胺培南
C : 氨曲南
D : 克拉维酸
E : 替莫西林
30 、 单选题
为N 胆碱受体阻断剂
2
A : 氯化琥珀胆碱
B : 溴新斯的明
C : 溴丙胺太林
D : 硫酸阿托品
E : 氯贝胆碱
31 、 单选题
甲基多巴起到降压作用的原因是在体内转化为()
A : 肾上腺素
B : 去甲肾上腺素
C : 异丙肾上腺素
D : 左旋多巴胺
E : 甲基去甲肾上腺素32 、 单选题
阻断H 受体
2
A : 氢氧化铝
B : 哌仑西平
C : 雷尼替丁
D : 奥美拉唑
E : 丙谷胺
33 、 单选题
常用于肠溶型包衣材料的有()
A : MCC
B : EudragitL100
C : Carbomer
D : EC
E : HPMC
34 、 单选题
引起病人对巴比妥类药物依赖性的主要原因是
A : 有镇静作用
B : 停药后快动眼睡眠时间延长,梦魇增多
C : 有镇痛作用
D : 能诱导肝药酶
E : 使病人产生欣快感
35 、 单选题
加入改善凡士林吸水性的物料是
A : 植物油
B : 鲸蜡
C : 液状石蜡
D : 羊毛脂
E : 聚乙二醇
36 、 单选题
神经冲动释放的去甲肾上腺素主要
A : 被胆碱酯酶代谢
B : 被单胺氧化酶代谢
C : 被突触前膜重摄取
D : 经肝脏代谢破坏
E : 进入血液,重分布于机体各组织37 、 单选题
直接与三氯化铁试液反应显蓝紫色的药物是
A : 肾上腺素
B : 阿司匹林
C : 对乙酰氨基酚
D : 丙磺舒
E : 盐酸利多卡因
38 、 单选题
常用于缓释型包衣材料的有()
A : MCC
B : EudragitL100
C : Carbomer
D : EC
E : HPMC
39 、 单选题
加速试验的条件是
A : 40℃RH75%
B : 50℃RH75%
C : 60℃RH60%
D : 40℃RH60%
E : 50℃RH60%
40 、 单选题
下列药物中属于第四代喹诺酮类药物的是()
A : 西诺沙星
B : 环丙沙星
C : 诺氟沙星
D : 培氟沙星
E : 吉米沙星
41 、 单选题
调血脂药物洛伐他汀属于()
A : 苯氧乙酸及类似物
B : 烟酸类
C : HMG-CoA还原酶抑制剂
D : 贝特类
E : 苯氧戊酸类42 、 单选题
使微粒表面由固一气二相结合状态转成固一液二相结合状态的附加剂
A : 助悬剂
B : 稳定剂
C : 润湿剂
D : 反絮凝剂
E : 絮凝剂
43 、 单选题
常用于普通型包衣材料的有()
A : MCC
B : EudragitL100
C : Carbomer
D : EC
E : HPMC
44 、 单选题
环丙沙星结构式为
A :
B :
C :
D :
E :
45 、 单选题
氨基苷类抗生素的不良反应不包括()
A : 耳毒性
B : 肾毒性C : 过敏反应
D : 神经肌肉阻滞作用
E : 骨髓抑制
46 、 单选题
可作为氨基糖苷类的替代品,与其合用可加强对铜绿假单胞菌和肠道杆菌作用的物是
A : 阿莫西林
B : 亚胺培南
C : 氨曲南
D : 克拉维酸
E : 替莫西林
47 、 单选题
关于替硝唑,下列的叙述哪项是错误的
A : 毒性比甲硝唑高
B : 半衰期长,口服一次,可维持疗效3天
C : 对阿米巴痢疾和肠外阿米巴病都有效
D : 与甲硝唑的结构相似
E : 也可用于治疗阴道滴虫病
48 、 单选题
物料在定子和转子间的缝隙间受剪切作用而制成混悬剂或乳剂的设备
A : 球磨机
B : 气流式粉碎机
C : V型混合机
D : 冲击式粉碎机
E : 胶体磨
49 、 单选题
与吡啶一硫酸铜作用,生成绿色配位化合物的药物是
A : 苯巴比妥
B : 异烟肼
C : 司可巴比妥
D : 盐酸氯丙嗪
E : 硫喷妥钠
50 、 单选题
能引起视调节麻痹的药物是()
A : 肾上腺素
B : 筒箭毒碱C : 酚妥拉明
D : 毛果芸香碱
E : 阿托品
51 、 单选题
气雾剂的质量评定不包括
A : 喷雾剂量
B : 喷次检查
C : 粒度
D : 泄露率检查
E : 抛射剂用量检查
52 、 单选题
对于熔点低,受热不稳定及水分难赶除的药物干燥失重测定,适宜采用的方法是
A : 常压恒温干燥法
B : 干燥剂干燥法
C : 恒压恒重干燥法
D : 恒压恒温干燥法
E : 减压干燥法
53 、 单选题
阿托品最先出现的副作用是()
A : 黑噱
B : 心悸
C : 口干
D : 失眠
E : 腹胀
54 、 单选题
解磷定治疗有机磷酸酯中毒的主要机制是
A : 竞争性与M受体结合,对抗M样症状
B : 竞争性与N受体结合,对抗N样症状
C : 竞争性与M和N受体结合,对抗M和N样症状
D : 与磷酰化胆碱酯酶中的磷酰基结合,复活胆碱酯酶
E : 与乙酰胆碱结合,阻止其过度作用
55 、 单选题
对β-内酰胺酶有抑制作用的药物是
A : 阿莫西林
B : 亚胺培南C : 氨曲南
D : 克拉维酸
E : 替莫西林
56 、 单选题
芦氟沙星结构式为
A :
B :
C :
D :
E :
57 、 单选题
关于药物制成混悬剂的条件的不正确表述是
A : 难溶性药物需制成液体制剂供临床应用时
B : 药物的剂量超过溶解度而不能以溶液剂形式应用时
C : 两种溶液混合时药物的溶解度降低而析出固体药物时
D : 毒剧药或剂量小的药物应制成混悬剂使用
E : 需要产生缓释作用时
58 、 单选题
具有焦耳一汤姆逊冷却效应,适用于热敏性物料的粉碎设备
A : 球磨机
B : 气流式粉碎机
C : V型混合机
D : 冲击式粉碎机
E : 胶体磨59 、 单选题
加替沙星结构式为
A :
B :
C :
D :
E :
60 、 单选题
可作为粉末直接压片,有“干黏合剂”之称的是
A : 淀粉
B : 微晶纤维素
C : 乳糖
D : 无机盐类
E : 微粉硅胶
61 、 单选题
粉碎的药剂学意义错误的是
A : 粉碎有利于增加固体药物的溶解度和吸收
B : 粉碎成细粉有利于各成分混合均匀
C : 粉碎是为了提高药物的稳定性
D : 粉碎有助于从天然药物提取有效成分
E : 粉碎有利于提高固体药物在液体制剂中的分散性
62 、 单选题
通过阻断血管紧张素Ⅱ受体而治疗慢性心功能不全的药物是
A : 地高辛
B : 氨力农C : 氯沙坦
D : 美托洛尔
E : 卡托普利
63 、 单选题
在反相高效液相色谱法中,常用的固定相是
A : 硅胶
B : 氧化铝
C : 十八烷基硅烷键合硅胶
D : 甲醇
E : 水
64 、 单选题
属于主动靶向的制剂有()
A : 糖基修饰脂质体
B : 聚乳酸微球
C : 静脉注射乳剂
D : 氰基丙烯酸烷酯纳米囊
E : pH敏感的口服结肠定位给药系统
65 、 单选题
糖皮质激素可抑制巨噬细胞中的一氧化氮合成酶,故可发挥
A : 免疫抑制作用
B : 抗休克作用
C : 抗炎作用
D : 刺激骨髓造血功能
E : 血小板增多
66 、 单选题
吗啡易被氧化变色是由于分子结构中含有以下哪种基团
A : 醇羟基
B : 双键
C : 醚键
D : 酚羟基
E : 哌啶环
67 、 单选题
左旋咪唑增强免疫的机制是
A : 激活腺苷酸环化酶,使淋巴细胞和巨噬细胞cAMP含量增高
B : 激活环核苷酸磷酸二酯酶,降低淋巴细胞和巨噬细胞内cAMP含量C : 促进B细胞、自然杀伤细胞的分化增殖
D : 促进白介素的生成
E : 增加淋巴细胞产生干扰素
68 、 单选题
下列乳化剂中,属于固体微粒型乳化剂的是()
A : 氢氧化铝
B : 油酸钠
C : 蜂蜡
D : 明胶
E : 苄泽
69 、 单选题
患者女性,45岁。近两年来经常头痛、头晕、耳鸣、心悸、记忆力减退、手脚麻木,近
一年来于清晨睡醒时经常出现心前区疼痛并向右肩部放散。就诊时,血
压170/105mmHg,心电图表现为弓背向下型S-T段抬高。此患者最宜使用的降压药物
是()
A : 中枢性降压药
B : 利尿药
C : 血管紧张素转换酶抑制剂
D : 钙拮抗剂
E : 钾通道开放剂
70 、 单选题
缩宫素对子宫平滑肌作用的特点是()
A : 大剂量时引起子宫底节律性收缩,子宫颈松弛
B : 小剂量时即可引起子宫底和子宫颈收缩
C : 妊娠早期对药物敏感性最强
D : 子宫对药物的敏感性与妊娠阶段无关
E : 小剂量引起子宫底节律性收缩,子宫颈松弛
71 、 单选题
A : 阿普唑仑
B : 佐匹克隆
C : 帕罗西汀
D : 丁螺环酮
E : 艾司唑仑72 、 单选题
替罗非班特征不符合的描述是
A : 是血小板膜GPⅡb/Ⅲa受体拮抗剂
B : 是酪氨酸衍生物
C : 含有甲磺酰胺结构
D : 含有哌啶结构
E : 含有丁磺酰胺结构
73 、 单选题
为天然来源的M胆碱受体拮抗剂
A : 氯化琥珀胆碱
B : 溴新斯的明
C : 溴丙胺太林
D : 硫酸阿托品
E : 氯贝胆碱
74 、 单选题
阻断M 受体
1
A : 氢氧化铝
B : 哌仑西平
C : 雷尼替丁
D : 奥美拉唑
E : 丙谷胺
75 、 单选题
高血压合并痛风者不宜用
A : 阿替洛尔
B : 依那普利
C : 硝苯地平
D : 氢氯噻嗪
E : 哌唑嗪
76 、 单选题
在光和热条件下,发生差向异构化
A : 卡托普利
B : 利血平
C : 硝苯地平
D : 依他尼酸
E : 盐酸可乐定77 、 单选题
强心苷治疗心房纤颤的机制主要是()
A : 缩短心房有效不应期
B : 减慢房室传导
C : 抑制窦房结
D : 降低普肯耶纤维自律性
E : 阻断β受体
78 、 单选题
下列可避免肝脏的首过效应的片剂是
A : 泡腾片
B : 缓释片
C : 舌下片
D : 分散片
E : 溶液片
79 、 单选题
洛美沙星结构式为
A :
B :
C :
D :
E :
80 、 单选题
栓剂水溶性基质A : 蜂蜡
B : 羊毛脂
C : 甘油明胶
D : 半合成脂肪酸甘油酯
E : 凡士林
81 、 多选题
关于药物稳定性的酸碱催化叙述正确的是
A :
B : 在pH很低时,主要是碱催化
C : 在pH较高时,主要由酸催化
D : 在pH-速度曲线图最低点所对应的横座标,即为最稳定pH
E :
82 、 多选题
经皮吸收制剂常用的压敏胶有
A : 聚异丁烯
B : 聚乙烯醇
C : 聚丙烯酸酯
D : 聚硅氧烷
E : 聚乙二醇
83 、 多选题
硫酸庆大霉素中C组分的测定
A : 采用反相高效液相色谱法测定各组分含量
B : 采用比色法测定各组分含量
C : 采用标准曲线法测定各组分含量
D : 使用了庆大霉素和小诺霉素标准品
E : 使用蒸发光散射检测器
84 、 多选题
抗精神失常药物按结构分类包括
A : 吩噻嗪类
B : 丁酰苯类
C : 苯二氮革类
D : 巴比妥类E : 二苯环庚烯类
85 、 多选题
可治疗开角型青光眼的β受体阻滞药是
A : 毛果芸香碱
B : 普萘洛尔
C : 毒扁豆碱
D : 噻吗洛尔
E : 新斯的明
86 、 多选题
三硅酸镁具有下列哪些特点
A : 抗酸作用较弱而慢,但持久
B : 有便秘作用
C : 可与氢氧化铝组成复方制剂
D : 有导泻作用
E : 在胃内生成胶状二氧化硅对溃疡面有保护作用
87 、 多选题
下列叙述中正确的为
A : 二价皂和三价皂是形成W/O型乳剂基质的乳化剂
B : 软膏用于大面积烧伤,用时应进行灭菌
C : 软膏剂主要起保护、润滑作用
D : 凡士林化学性质稳定,无刺激性,适用于遇水不稳定的药物
E : 固体石蜡和蜂蜡为类脂类基质,用于增加软膏稠度
88 、 多选题
采用比色法测定醋酸地塞米松注射液的含量,使用的试剂有
A : 亚硝基铁氰化钠
B : 硫酸
C : 氯化三苯四氮唑
D : 氢氧化四甲基铵
E : 二甲苯
89 、 多选题
药物杂质限量计算式L=C×V/S中各符号的含义为
A : C为样品溶液的浓度
B : C为杂质标准溶液的浓度
C : V为样品溶液的体积
D : V为杂质标准溶液的体积E : S为标准品的量
90 、 多选题
巴比妥类药物急性中毒的解救措施包括
A : 保持呼吸道通畅,吸氧
B : 必要时进行人工呼吸
C : 应用中枢兴奋药
D : 静脉滴注碳酸氢钠
E : 透析治疗
91 、 多选题
主要以原形经肾排出的药物
A : 阿昔洛韦
B : 氟康唑
C : 阿糖腺苷
D : 利巴韦林
E : 金刚烷胺
92 、 多选题
有关地西泮的体内过程描述,正确的是
A : 肌注比口服吸收慢且不规则
B : 代谢产物去甲地西泮仍有活性
C : 肝功能障碍时半衰期延长
D : 血浆蛋白结合率低
E : 可经乳汁排泄
93 、 多选题
下列关于凝胶剂叙述正确的是
A : 凝胶剂是指药物与适宜辅料制成的均一、混悬或乳剂的乳胶稠厚液体或半固体制剂
B : 凝胶剂只有单相分散系统
C : 氢氧化铝凝胶为单相凝胶系统
D : 卡波姆在水中分散即形成凝胶
E : 卡波姆在水中分散形成混浊的酸性溶液必须加入NaOH中和,才形成凝胶剂
94 、 多选题
通过阻滞钠通道发挥抗心律失常作用的药物是
A : 维拉帕米
B : 奎尼丁
C : 盐酸胺碘酮
D : 盐酸利多卡因E : 盐酸普鲁卡因胺
95 、 多选题
下列哪些是水溶性维生素
A : 维生素B 6
B : 维生素B 1
C : 维生素B 2
D : 维生素C
E : 维生素E
96 、 多选题
肝脏首过效应较大,可选用适宜的剂型是
A : 肠溶片剂
B : 舌下片剂
C : 口服乳剂
D : 透皮给药系统
E : 气雾剂
97 、 多选题
缩宫素对子宫作用的特点有
A : 大剂量可使子宫平滑肌发生强直性收缩
B : 小剂量可使子宫收缩的作用与正常分娩相似
C : 对子宫血管有收缩作用
D : 作用与体内雌激素和孕激素水平有关
E : 作用强度与子宫生理状态和用药剂量有关
98 、 多选题
与盐酸赛庚性质啶相符的是
A : 在三氯甲烷中有乳化现象
B : 化学结构中含有氮甲基哌啶
C : 可以治疗消化性溃疡病
D : 为H1受体拮抗剂
E : 在水中微溶,水溶液呈酸性反应
99 、 多选题
奥美拉唑临床可用于治疗
A : 良性胃溃疡
B : 恶性胃溃疡
C : 十二指肠溃疡
D : 反流性食管炎E : 术后溃疡
100 、 多选题
蛋白质类药物吸收促进的方法有
A : 提高吸收屏障的通透性
B : 降低吸收部位和吸收途径肽酶的活性
C : 使用吸收促进剂
D : 延长作用时间
E : 通过离子导入技术