当前位置:首页>文档>专练62_2025高中教辅(后续还会更新新习题试卷)_2025高中全科《微专题·小练习》_2025高中全科《微专题小练习》_2025版·微专题小练习·生物学·不定项

专练62_2025高中教辅(后续还会更新新习题试卷)_2025高中全科《微专题·小练习》_2025高中全科《微专题小练习》_2025版·微专题小练习·生物学·不定项

  • 2026-04-09 12:18:42 2026-02-02 04:57:05

文档预览

专练62_2025高中教辅(后续还会更新新习题试卷)_2025高中全科《微专题·小练习》_2025高中全科《微专题小练习》_2025版·微专题小练习·生物学·不定项
专练62_2025高中教辅(后续还会更新新习题试卷)_2025高中全科《微专题·小练习》_2025高中全科《微专题小练习》_2025版·微专题小练习·生物学·不定项
专练62_2025高中教辅(后续还会更新新习题试卷)_2025高中全科《微专题·小练习》_2025高中全科《微专题小练习》_2025版·微专题小练习·生物学·不定项
专练62_2025高中教辅(后续还会更新新习题试卷)_2025高中全科《微专题·小练习》_2025高中全科《微专题小练习》_2025版·微专题小练习·生物学·不定项
专练62_2025高中教辅(后续还会更新新习题试卷)_2025高中全科《微专题·小练习》_2025高中全科《微专题小练习》_2025版·微专题小练习·生物学·不定项
专练62_2025高中教辅(后续还会更新新习题试卷)_2025高中全科《微专题·小练习》_2025高中全科《微专题小练习》_2025版·微专题小练习·生物学·不定项
专练62_2025高中教辅(后续还会更新新习题试卷)_2025高中全科《微专题·小练习》_2025高中全科《微专题小练习》_2025版·微专题小练习·生物学·不定项
专练62_2025高中教辅(后续还会更新新习题试卷)_2025高中全科《微专题·小练习》_2025高中全科《微专题小练习》_2025版·微专题小练习·生物学·不定项
专练62_2025高中教辅(后续还会更新新习题试卷)_2025高中全科《微专题·小练习》_2025高中全科《微专题小练习》_2025版·微专题小练习·生物学·不定项
专练62_2025高中教辅(后续还会更新新习题试卷)_2025高中全科《微专题·小练习》_2025高中全科《微专题小练习》_2025版·微专题小练习·生物学·不定项

文档信息

文档格式
docx
文档大小
0.368 MB
文档页数
6 页
上传时间
2026-02-02 04:57:05

文档内容

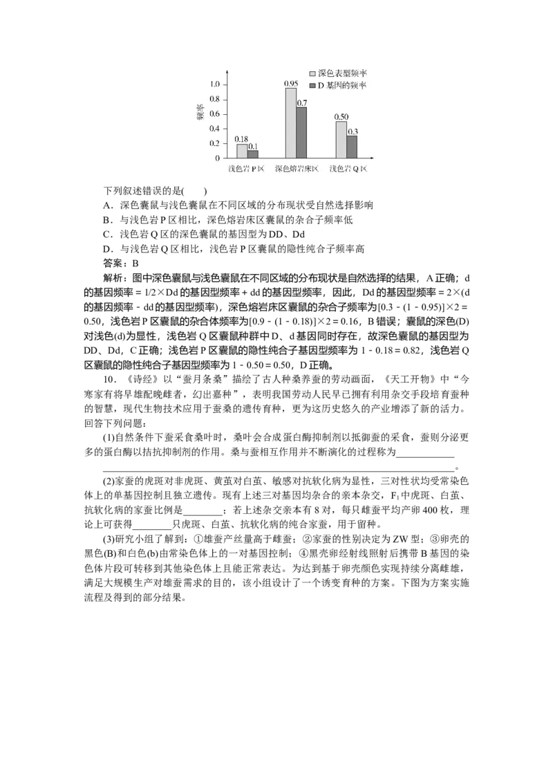
专练 62 生物的进化综合练 授课提示:对应学生用书77页 1.下列关于生物进化理论的叙述,错误的是( ) A.拉马克的进化学说认为生物进化的原因是用进废退和获得性遗传 B.达尔文的自然选择学说揭示了生物的多样性是变异的结果 C.现代生物进化理论认为生物进化的实质是在自然选择的作用下种群基因频率发生 定向改变 D.有关生物进化的原因目前仍存在不同观点 答案:B 解析:拉马克的进化学说认为生物进化的原因是用进废退和获得性遗传,A正确;达 尔文的自然选择学说揭示了生物的多样性是进化的结果,B错误;现代生物进化理论认为 生物进化的实质是在自然选择的作用下种群基因频率发生定向改变,C正确;有关生物进 化的原因目前仍存在不同观点,D正确。 2.(不定项)熊猫在分类上属于食肉目,长期进化后却以竹子为食﹐与其他哺乳动物前 肢有五根手指不同,大熊猫还有“第六指”,那就是在其手掌前端的一个增大的手腕部骨 骼——“桡侧籽骨”。下列关于大熊猫进化的叙述正确的是( ) A.桡侧籽骨让大熊猫的手掌得以形成对握,抓住竹子 B.早期“第六指”大熊猫化石是研究大熊猫进化的直接证据 C.大熊猫的进化和适应性特征的形成是自然选择的结果 D.大熊猫有肉食性、植食性,这体现了物种的多样性 答案:ABC 解析:据图可知,大熊猫桡侧籽骨让大熊猫的手掌得以形成对握,形成的抓握空间与 人类的抓握空间类似,能够抓住竹子,A正确;利用化石可以确定地球上曾经生活过的生 物的种类及其形态结构、行为等特征。因此,早期“第六指”大熊猫化石是研究大熊猫进 化的直接证据,B正确;自然选择决定生物进化的方向,大熊猫的进化和适应性特征的形 成是自然选择的结果,C正确;大熊猫有肉食性、植食性,但都属于大熊猫这一物种内部 的差异,体现的是遗传(基因)多样性,D错误。 3.[2024·河北唐山三模]夏威夷群岛距离大陆最近的地方也有几千千米。多种不同的蜜 旋木雀生活在这些由火山喷发形成的小岛上,它们的生活习性不同,尤其是喙的形态和大 小有很大区别。DNA检测技术发现,这些蜜旋木雀最初属于同一物种。下列关于蜜旋木雀 的叙述,错误的是 ( ) A.不同小岛上的现存蜜旋木雀仍可能朝着不同方向进化B.该群岛上所有蜜旋木雀所含有的全部基因组成基因库 C.在这些蜜旋木雀形成的过程中,小岛起着关键性作用 D.DNA检测技术可以为生物进化提供证据 答案:B 解析:由于自然选择的作用,不同小岛上的现存蜜旋木雀仍可能朝着不同方向进化, A正确;该群岛上所有蜜旋木雀分属于不同的种群,它们所含有的全部基因组成多个基因 库,B错误;小岛上的环境作为自然选择的因素在这些蜜旋木雀形成的过程中起着决定进 化方向的作用,C正确;DNA检测技术发现,这些蜜旋木雀最初属于同一物种,显然 DNA检测技术可以为生物进化提供分子生物学的证据,D正确。 4.[2023·湖北卷]现有甲、乙两种牵牛花,花冠的颜色由基因A、a控制。含A基因的 牵牛花开紫花,不含A基因的牵牛花开白花。甲开白花,释放的挥发物质多,主要靠蛾类 传粉;乙开紫花,释放的挥发物质少,主要靠蜂类传粉。若将A基因转入甲,其花颜色由 白变紫,其他性状不变,但对蛾类的吸引下降,对蜂类的吸引增强。根据上述材料,下列 叙述正确的是( ) A.甲、乙两种牵牛花传粉昆虫的差异,对维持两物种生殖隔离具有重要作用 B.在蛾类多而蜂类少的环境下,甲有选择优势,A基因突变加快 C.将A基因引入甲植物种群后,甲植物种群的基因库未发生改变 D.甲释放的挥发物是吸引蛾类传粉的决定性因素 答案:A 解析:甲、乙两种牵牛花传粉昆虫的差异,导致两物种之间不会交叉传粉,对维持两 物种生殖隔离具有重要作用,A正确;甲主要靠蛾类传粉,在蛾类多而蜂类少的环境下, 甲有选择优势,但并不会导致A基因突变加快,B错误;基因库是指一个种群内所有个体 的全部基因,将A基因引入甲植物种群(本身不含A基因)后,甲植物种群的基因库发生改 变,C错误;若将A基因转入甲,其花颜色由白变紫,其他性状不变(释放的挥发物质没有 改变),但对蛾类的吸引下降,对蜂类的吸引增强,推测花冠颜色为白色是吸引蛾类传粉的 决定性因素,而不是释放的挥发物,D错误。 5.如图所示是施用某种杀虫剂以后,昆虫种群所发生的改变。下列相关叙述错误的是 ( ) A.①类个体被淘汰的原因并不是该杀虫剂未能诱发其产生抗性基因 B.抗性基因的根本来源是可遗传的变异,②③类个体的抗性基因一定来源于遗传 C.若连续使用该杀虫剂,抗该杀虫剂的基因频率会越来越接近100% D.杀虫剂直接选择的对象是昆虫的抗药性或不抗药性的表型 答案:B 解析:杀虫剂只起选择作用,①类个体被淘汰的原因是其本身不含抗性基因,A正确; ②③类个体的抗性基因可能来源于遗传,也可能来源于自身基因突变,B错误;若连续使 用该杀虫剂,不含抗性基因的个体被淘汰,而含抗性基因的个体所占比例越来越高,故抗 该杀虫剂的基因频率会越来越接近100%,C正确;施用杀虫剂后,具有抗药性的个体生存 下来,不具有抗药性的个体被淘汰,故杀虫剂直接选择的对象是昆虫的抗药性或不抗药性 的表型,D正确。 6.某二倍体动物种群有100个个体,其常染色体上某基因有A 、A 、A 三个等位基 1 2 3因。对这些个体的基因A 、A 、A 进行PCR扩增,凝胶电泳及统计结果如图所示。该种 1 2 3 群中A 的基因频率是( ) 3 A.52% B.27% C.26% D.2% 答案:B 解析:分析电泳图,含A 基因的个体有2个AA ,15个AA ,35个AA ,所以A 3 3 3 1 3 2 3 3 的基因频率是:(2×2+15+35)÷(100×2)×100%=27%,B正确。 7.古书中多次提到鸟类形态结构与习性的关系,如“搏则利嘴”“物食喙长”“谷食 喙短”(注:“搏”指靠猎捕动物为食的鸟类,“物食”指在水上寻食的鸟类,“谷食”指 以种子为食的鸟类)。相关分析错误的是( ) A.为适应不同的环境,鸟类产生了“利嘴”“喙长”“喙短”等变异 B.“利嘴”“喙短”“喙长”鸟类的形成是自然选择的结果 C.“搏”与其所猎捕的动物之间存在协同进化的关系 D.不同喙型的鸟类之间可能存在生殖隔离 答案:A 解析:鸟类的“利嘴”“喙长”“喙短”等不同的变异类型在环境选择之前已经出现, A错误;自然选择决定生物进化的方向,“利嘴”“喙短”“喙长”鸟类的形成是自然选 择的结果,B正确;“搏”指靠猎捕动物为食的鸟类,“搏”与其所猎捕的动物之间存在 协同进化的关系,C正确;“物食喙长”“谷食喙短”,说明不同喙型的鸟类在食性上有 较大差异,可能属于不同物种,不同物种之间存在生殖隔离,D正确。 8.[2024·吉林卷]鲟类是最古老的鱼类之一,被誉为鱼类的“活化石”。我国学者新测 定了中华鲟、长江鲟等的线粒体基因组,结合已有信息将鲟科分为尖吻鲟类、大西洋鲟类 和太平洋鲟类三个类群。下列叙述错误的是( ) A.鲟类的形态结构和化石记录可为生物进化提供证据 B.地理隔离在不同水域分布的鲟类进化过程中起作用 C.鲟类稳定的形态结构能更好地适应不断变化的环境 D.研究鲟类进化关系时线粒体基因组数据有重要价值 答案:C 解析:化石为研究生物进化提供了直接的证据,比较解剖学给生物进化提供了有力的 支持,因此,鲟类的形态结构和化石记录可为生物进化提供证据,A正确;不同地理环境 下的食物和栖息条件互不相同,自然选择对不同种群基因频率的改变所起的作用就有差别 久而久之,这些种群的基因库就会形成明显的差异,并逐渐出现生殖隔离。因此,地理隔 离在不同水域分布的鲟类进化过程中起作用,B正确;鲟类稳定的形态结构不利于更好地 适应不断变化的环境,C错误;线粒体基因组数据对研究鲟类进化关系有重要价值,D正 确。 9.囊鼠的体毛深色(D)对浅色(d)为显性,若毛色与环境差异大则易被天敌捕食。调查 不同区域囊鼠深色表型频率,检测并计算基因频率,结果如图。下列叙述错误的是( ) A.深色囊鼠与浅色囊鼠在不同区域的分布现状受自然选择影响 B.与浅色岩P区相比,深色熔岩床区囊鼠的杂合子频率低 C.浅色岩Q区的深色囊鼠的基因型为DD、Dd D.与浅色岩Q区相比,浅色岩P区囊鼠的隐性纯合子频率高 答案:B 解析:图中深色囊鼠与浅色囊鼠在不同区域的分布现状是自然选择的结果,A正确;d 的基因频率=1/2×Dd的基因型频率+dd的基因型频率,因此,Dd的基因型频率=2×(d 的基因频率-dd的基因型频率),深色熔岩床区囊鼠的杂合子频率为[0.3-(1-0.95)]×2= 0.50,浅色岩P区囊鼠的杂合体频率为[0.9-(1-0.18)]×2=0.16,B错误;囊鼠的深色(D) 对浅色(d)为显性,浅色岩Q区囊鼠种群中D、d基因同时存在,故深色囊鼠的基因型为 DD、Dd,C正确;浅色岩P区囊鼠的隐性纯合子基因型频率为1-0.18=0.82,浅色岩Q 区囊鼠的隐性纯合子基因型频率为1-0.50=0.50,D正确。 10.《诗经》以“蚕月条桑”描绘了古人种桑养蚕的劳动画面,《天工开物》中“今 寒家有将早雄配晚雌者,幻出嘉种”,表明我国劳动人民早已拥有利用杂交手段培育蚕种 的智慧,现代生物技术应用于蚕桑的遗传育种,更为这历史悠久的产业增添了新的活力。 回答下列问题: (1)自然条件下蚕采食桑叶时,桑叶会合成蛋白酶抑制剂以抵御蚕的采食,蚕则分泌更 多的蛋白酶以拮抗抑制剂的作用。桑与蚕相互作用并不断演化的过程称为____________ ________________________________________________________________________。 (2)家蚕的虎斑对非虎斑、黄茧对白茧、敏感对抗软化病为显性,三对性状均受常染色 体上的单基因控制且独立遗传。现有上述三对基因均杂合的亲本杂交,F 中虎斑、白茧、 1 抗软化病的家蚕比例是________;若上述杂交亲本有8对,每只雌蚕平均产卵400枚,理 论上可获得________只虎斑、白茧、抗软化病的纯合家蚕,用于留种。 (3)研究小组了解到:①雄蚕产丝量高于雌蚕;②家蚕的性别决定为ZW型;③卵壳的 黑色(B)和白色(b)由常染色体上的一对基因控制;④黑壳卵经射线照射后携带B基因的染 色体片段可转移到其他染色体上且能正常表达。为达到基于卵壳颜色实现持续分离雌雄, 满足大规模生产对雄蚕需求的目的,该小组设计了一个诱变育种的方案。下图为方案实施 流程及得到的部分结果。统计多组实验结果后,发现大多数组别家蚕的性别比例与Ⅰ组相近,有两组(Ⅱ、Ⅲ) 的性别比例非常特殊。综合以上信息进行分析: ①Ⅰ组所得雌蚕的B基因位于____________________________染色体上。 ② 将 Ⅱ 组 所 得 雌 蚕 与 白 壳 卵 雄 蚕 (bb) 杂 交 , 子 代 中 雌 蚕 的 基 因 型 是 ________________(如存在基因缺失,亦用b表示)。这种杂交模式可持续应用于生产实践 中,其优势是可在卵期通过卵壳颜色筛选即可达到分离雌雄的目的。 ③尽管Ⅲ组所得黑壳卵全部发育成雄蚕,但其后代仍无法实现持续分离雌雄,不能满 足生产需求,请简要说明理由 ________________________________________________________________________ ________________________________________________________________________。 答案:(1)协同进化 (2)3/64 50 (3)常 ZbWB Ⅲ组所得黑壳卵雄蚕为杂合子(基 因型为ZBZb),与白壳卵雌蚕杂交,后代的黑壳卵和白壳卵中均既有雌性又有雄性,无法通 过卵壳颜色区分性别 解析:(1)不同物种之间、生物与无机环境之间在相互影响中不断进化和发展,这就是 协同进化。(2)由题意可知,三对性状均受常染色体上的单基因控制且独立遗传,即符合自 由组合定律,将三对基因均杂合的亲本杂交,可先将三对基因分别按照分离定律计算,再 将结果相乘,即F 各对性状中,虎斑个体占3/4,白茧个体占1/4,抗软化病个体占1/4, 1 相乘后F 中虎斑、白茧、抗软化病的家蚕比例是3/4×1/4×1/4=3/64。若上述杂交亲本有 1 8对,每只雌蚕平均产卵400枚,总产卵数为8×400=3 200枚,其中虎斑、白茧、抗软化 病的纯合家蚕占1/4×1/4×1/4=1/64,即3 200×1/64=50只。(3)分析题意和题图方案可知, 黑壳卵经射线照射后,携带B基因的染色体片段转移到其他染色体上,转移情况可分为三 种,即携带B基因的染色体片段可转移到常染色体上、转移到Z染色体上或转移到W染色 体上。将诱变孵化后挑选的雌蚕作为亲本与雄蚕(bb)杂交,统计子代的黑壳卵孵化后雌雄 家蚕的数目,结合题图的三组结果分析,Ⅰ组黑卵壳家蚕中雌雄比例接近1∶1,说明该性 状与性别无关,即携带B基因的染色体片段转移到了常染色体上;Ⅱ组黑卵壳家蚕全为雌性,说明携带B基因的染色体片段转移到了W染色体上;Ⅲ组黑卵壳家蚕全为雄性,说明 携带B基因的染色体片段转移到了Z染色体上。①由以上分析可知,Ⅰ组携带B基因的染 色体片段转移到了常染色体上,即所得雌蚕的B基因位于常染色体上。②由以上分析可知, Ⅱ组携带B基因的染色体片段转移到了W染色体上,亲本雌蚕的基因型为ZbWB,与白卵 壳雄蚕ZbZb杂交,子代雌蚕的基因型为ZbWB(黑卵壳),雄蚕的基因型为ZbZb(白卵壳),可 以通过卵壳颜色区分子代性别。将子代黑卵壳雌蚕继续杂交,后代类型保持不变,故这种 杂交模式可持续应用于生产实践中。③由以上分析可知,Ⅲ组携带B基因的染色体片段转 移到了Z染色体上,亲本雌蚕的基因型为ZBWb,与白卵壳雄蚕ZbZb杂交,子代雌蚕的基因 型为ZbWb(白卵壳),雄蚕的基因型为ZBZb(黑卵壳)。再将黑壳卵雄蚕(ZBZb)与白壳卵雌蚕 (ZbWb)杂交,子代为ZBZb、ZbZb、ZBWb、ZbWb,其后代的黑壳卵和白壳卵中均既有雌性又 有雄性,无法通过卵壳颜色区分性别,故不能满足生产需求。