当前位置:首页>文档>第33课时 统计2025年中考数学一轮专题复习强化练习(含答案)_2数学总复习_2025中考复习资料_2025年中考数学一轮专题复习强化练习(含答案)

第33课时 统计2025年中考数学一轮专题复习强化练习(含答案)_2数学总复习_2025中考复习资料_2025年中考数学一轮专题复习强化练习(含答案)

  • 2026-04-06 05:48:15 2026-02-06 02:32:04

文档预览

第33课时 统计2025年中考数学一轮专题复习强化练习(含答案)_2数学总复习_2025中考复习资料_2025年中考数学一轮专题复习强化练习(含答案)
第33课时 统计2025年中考数学一轮专题复习强化练习(含答案)_2数学总复习_2025中考复习资料_2025年中考数学一轮专题复习强化练习(含答案)
第33课时 统计2025年中考数学一轮专题复习强化练习(含答案)_2数学总复习_2025中考复习资料_2025年中考数学一轮专题复习强化练习(含答案)
第33课时 统计2025年中考数学一轮专题复习强化练习(含答案)_2数学总复习_2025中考复习资料_2025年中考数学一轮专题复习强化练习(含答案)
第33课时 统计2025年中考数学一轮专题复习强化练习(含答案)_2数学总复习_2025中考复习资料_2025年中考数学一轮专题复习强化练习(含答案)
第33课时 统计2025年中考数学一轮专题复习强化练习(含答案)_2数学总复习_2025中考复习资料_2025年中考数学一轮专题复习强化练习(含答案)
第33课时 统计2025年中考数学一轮专题复习强化练习(含答案)_2数学总复习_2025中考复习资料_2025年中考数学一轮专题复习强化练习(含答案)
第33课时 统计2025年中考数学一轮专题复习强化练习(含答案)_2数学总复习_2025中考复习资料_2025年中考数学一轮专题复习强化练习(含答案)
第33课时 统计2025年中考数学一轮专题复习强化练习(含答案)_2数学总复习_2025中考复习资料_2025年中考数学一轮专题复习强化练习(含答案)
第33课时 统计2025年中考数学一轮专题复习强化练习(含答案)_2数学总复习_2025中考复习资料_2025年中考数学一轮专题复习强化练习(含答案)
第33课时 统计2025年中考数学一轮专题复习强化练习(含答案)_2数学总复习_2025中考复习资料_2025年中考数学一轮专题复习强化练习(含答案)
第33课时 统计2025年中考数学一轮专题复习强化练习(含答案)_2数学总复习_2025中考复习资料_2025年中考数学一轮专题复习强化练习(含答案)

文档信息

文档格式
docx
文档大小
0.268 MB
文档页数
8 页
上传时间
2026-02-06 02:32:04

文档内容

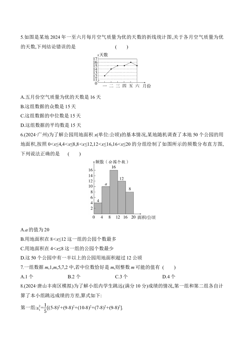
第33课时 统计 1.(2024·廊坊广阳区二模)下列调查中,适宜采用抽样调查方式的是 ( ) A.调查某批次汽车的抗撞击能力 B.选出某班短跑最快的学生参加运动会 C.企业招聘,对应聘人员进行面试 D.地铁站工作人员对乘客进行安全检查 2.(2024·乐山)为了解学生上学的交通方式,刘老师在九年级800名学生中随机抽取了60名进行问 卷调查,并将调查结果制作成如下统计表,估计该年级学生乘坐公交车上学的人数为 ( ) 交通方式 公交车 自行车 步行 私家车 其他 人数/人 30 5 15 8 2 A.100 B.200 C.300 D.400 3.(2024·济宁)为了解全班同学对新闻、体育、动画、娱乐、戏曲五类节目的喜爱情况,班主任对 全班50名同学进行了问卷调查(每名同学只选其中的一类),依据50份问卷调查结果绘制了全班 同学喜爱节目情况扇形统计图(如图所示).下列说法正确的是 ( ) A.班主任采用的是抽样调查 B.喜爱动画节目的同学最多 C.喜爱戏曲节目的同学有6名 D.“体育”对应扇形的圆心角为72° 4.(2024·河北模拟)在一个不透明的口袋中,放置4个红球,2个白球和n个黄球.这些小球除颜色外 其余均相同,数学小组每次摸出一个球记下颜色后再放回,统计黄球出现的频率如图所示,则n的 值可能是 ( ) A.4 B.6 C.8 D.105.如图是某地2024年一至六月每月空气质量为优的天数的折线统计图,关于各月空气质量为优 的天数,下列结论错误的是 ( ) A.五月份空气质量为优的天数是16天 B.这组数据的众数是15天 C.这组数据的中位数是15天 D.这组数据的平均数是15天 6.(2024·广州)为了解公园用地面积x(单位:公顷)的基本情况,某地随机调查了本地50个公园的用 地面积,按照036.5,所以乙队员表现更好. 能力提升 1.A 解析:A.假设选出的数字没有1,则选出的数字为2,3,5,6时,方差最大, 此时x=(2+3+5+6)÷4=4, 1 方差为s2= [(2-4)2+(3-4)2+(5-4)2+(6-4)2]=2.5, 4 当数字为1,2,5,6时,x=(1+2+5+6)÷4=3.5, 1 s2= [(1-3.5)2+(2-3.5)2+(5-3.5)2+(6-3.5)2]=4.25,故该选项符合题意; 4 B.当该同学选出的四个数字为2,3,5,6时, x=(2+3+5+6)÷4=4,1 s2= [(2-4)2+(3-4)2+(5-4)2+(6-4)2]=2.5, 4 故该选项不符合题意; C.当该同学选出的四个数字为2,3,4,5时, x=(2+3+4+5)÷4=3.5,故该选项不符合题意; D.当选出的数字为2,4,5,6或2,3,4,6时,极差也是4,故该选项不符合题意. 故选A. 2.解:(1)2 > s2 s2 1 2 1+2+2+3+3+3+2+1+2+1 (2)小海的平均数= =2.所以b的值为2. 10 (3)情况①从操作规范性来分析,小青和小海的平均得分相等,但是小海的方差小于小青的方差,所以小海在物理 实验操作中发挥较稳定; 或:情况②从书写准确性来分析,小海的平均得分比小青的平均得分高,所以小海在物理实验中书写更准确; 或:情况③从两个方面综合分析,小海的操作更稳定,并且书写的准确性更高,所以小海的综合成绩更好. (4)情况①熟悉实验方案和操作流程.或:情况②注意仔细观察实验现象和结果. 或:情况③平稳心态,沉稳应对. 备注:第(3)(4)题答案不唯一,言之有理即可,至少列出一条.