当前位置:首页>文档>云学联盟2025-2026学年高三上学期12月月考物理答案_2025年12月_251220湖北省云学联盟2025-2026学年高三上学期12月月考(全科)

云学联盟2025-2026学年高三上学期12月月考物理答案_2025年12月_251220湖北省云学联盟2025-2026学年高三上学期12月月考(全科)

  • 2026-04-07 03:13:17 2026-02-08 13:08:57

文档预览

云学联盟2025-2026学年高三上学期12月月考物理答案_2025年12月_251220湖北省云学联盟2025-2026学年高三上学期12月月考(全科)
云学联盟2025-2026学年高三上学期12月月考物理答案_2025年12月_251220湖北省云学联盟2025-2026学年高三上学期12月月考(全科)
云学联盟2025-2026学年高三上学期12月月考物理答案_2025年12月_251220湖北省云学联盟2025-2026学年高三上学期12月月考(全科)
云学联盟2025-2026学年高三上学期12月月考物理答案_2025年12月_251220湖北省云学联盟2025-2026学年高三上学期12月月考(全科)
云学联盟2025-2026学年高三上学期12月月考物理答案_2025年12月_251220湖北省云学联盟2025-2026学年高三上学期12月月考(全科)
云学联盟2025-2026学年高三上学期12月月考物理答案_2025年12月_251220湖北省云学联盟2025-2026学年高三上学期12月月考(全科)
云学联盟2025-2026学年高三上学期12月月考物理答案_2025年12月_251220湖北省云学联盟2025-2026学年高三上学期12月月考(全科)
云学联盟2025-2026学年高三上学期12月月考物理答案_2025年12月_251220湖北省云学联盟2025-2026学年高三上学期12月月考(全科)
云学联盟2025-2026学年高三上学期12月月考物理答案_2025年12月_251220湖北省云学联盟2025-2026学年高三上学期12月月考(全科)

文档信息

文档格式
pdf
文档大小
1.367 MB
文档页数
5 页
上传时间
2026-02-08 13:08:57

文档内容

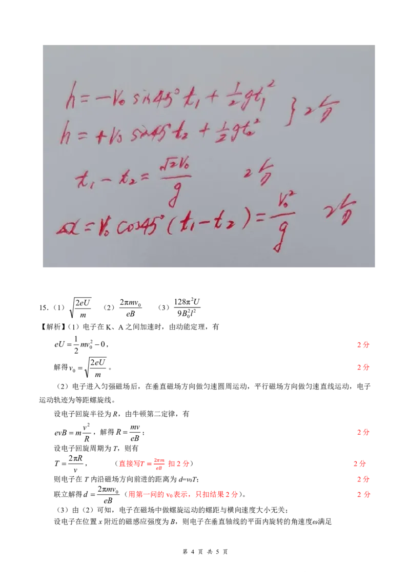
物理评分细则 一、选择题(4×10=40) 题号 1 2 3 4 5 6 7 8 9 10 答案 A B C B A B A CD AC AD 1.A【解析】A:Th原子具有放射性,A正确;BD:根据电荷数守恒和质量数守恒可以得到衰变产生的 是 0e,属于β衰变,B错误;图1的核反应232Th+1n→233Th,D错误;C:233U的中子数是141,232Th −1 90 0 90 92 90 的中子数是142,则C错误。 2.B【解析】同种电荷相互排斥,因此,a、b靠近的过程中(或c、d靠近的过程中),电荷之间的排斥 力做负功,系统电势能增加,故“c、d”系统电势能为正值;异种电荷相互吸引,a、c靠近的过程中, 电荷之间的吸引力做正功,系统电势能减少,故“a、c”系统电势能为负值;“a、b、c、d”系统电势 能可能为零,但也可能为正值或者负值。 3.C【解析】由图c可知,电流c的周期、频率不是电流a、b的周期、频率之和;由题意和题图可知, 电流a、b的瞬时值之和为电流c的瞬时值;由图c可知,电流c的最大值不等于电流a、b的最大值 之和。 4.B【解析】由波形图,波源的起振方向相反,x=0离两波源距离相同,因此x=0是振动减弱点,振幅 为2cm,通过0.2s质点开始振动,波形图波长4m,可以知道波传播速度20m/s,则质点振动周期0.2s, 则B选项正确。 M Mm 5.A【解析】伴星的轨道半径为r  L,M增加,故r增加;黑洞与伴星间的万有引力为F G , 2 M m L2 L3 M>m,且M+m保持不变,由数学知识可知,随着m的减小,F减小;双星系统的周期为T 2π , G(M m) 系统总质量不变,两者间距不变,故这段时间内,系统周期不变;系统的总动能为 1 1 1 1 1 Mm E  Mv2  mv2  M2r2  m2r2  2L2 ,由数学知识可知,E减小。 2 1 2 2 2 1 2 2 2 M m 6.B【解析】A:释放时,小球受到两个弹簧弹力则受到的回复力大小为2kx ,则A错误;C:根据能 0 量守恒,小球回到平衡位置弹性势能全部转化为小球的动能,此时速度最大:1 mv2=2× 1 kx2解得 2 2 0 v=x 2k x ,C错误。BD:当偏离平衡位置距离为x时,受到的回复力大小为2kx,则比例系数为2k, 0 0 m 因此小球振动周期为2π m,振动方程为x x cos( 2k t),B正确、D错误。 2k 0 m 7.A【解析】F  F 时,设1绳与竖直方向的夹角为α,对整体,有F F 2mgtan,设2绳与竖 1 2 1 2 直方向的夹角为β,对乙球,有F mgtan;当F 2F 时,α<β,故A正确;当F 3F 时,α=β, 2 1 2 1 2 故BC错误。F  F 时,设1绳与竖直方向的夹角为α,对整体,有F F 2mgtan,设2绳与 1 2 2 1 竖直方向的夹角为β,对乙球,有F mgtan,易知α<β,D错误。 2 F 8.CD【解析】刚开始运动时,金属棒的加速度为a  ,并非无穷大,故图线的切线并不竖直,不是 0 m 纵轴;拉力F对金属棒做正功,安培力对金属棒做负功,总功等于金属棒的动能变化,故F做的功大 BLv 于金属棒动能的增加量;v-t图像与横轴所围的面积为对应时间内的位移,对金属棒,t时刻,有I  、 R 第 1 页 共 5 页BLv F ILB ma,0~t时间内,由动量定理,有FtILBt mv0,其中I  、xvt ,解得 R F B2L2v FRtB2L2x a   、v 。 m mR mR 9.AC 【解析】A:由几何关系得OA'= 5 R,则折射角sinα= OA = 2,因此单色光在该材料中的折射率为 2 OA' 5 n= sinθ =2,则A正确;B:从A'点射入光在材料中的传 sinα 播时间t= OA'−R = 1.5R = 3R,则B错误;C:单色光在材料 c v c 2 中发生全反射的临界角为sinC= 1 = 1,即临界角为30°; n 2 如图所示,根据光路图的对称性,圆弧AO'F上上有光 射出的区域相对O点张开的角度为60°,则C正确;D: 从 O'射出的光可类比于平行玻璃砖,因此一定不会在 O'点发生全反射,D错误。 10.AD【解析】对B,由平衡条件易知,绳中张力大小保持F =15N不变;对A,由牛顿第二定律,有 T F F m2r , 其 中 5N F 5N , 解 得 A 不 滑 动 时 允 许 的 角 速 度 范 围 为 T f1 1 1 f1 5rad/s 50rad/s;同理可得C不滑动时允许的角速度范围为 30rad/s 70rad/s;故要 使两者均不相对转盘滑动, 30rad/s 50rad/s;当 37.5rad/s,A所受摩擦力为0,当  50rad/s,C所受摩擦力为0,故可知,角速度在 30rad/s 50rad/s内缓慢增加时,A 所受摩擦力向向外减小后向内增大,C所受摩擦力一直向内减小。 2g 2g 11.(1) (填 不扣分) (2)7.950 大于 (每空2分) d2 d2 1 d 1 2g 2g 1 【解析】(1)由机械能守恒定律,有mg(h h) m( )2,解得  h  h,可知“ h” P 2 t t2 d2 P d2 t2 2g 图线的斜率为k  ; d2 (2)螺旋测微器读数为d(7.545.00.01)mm7.950mm,小于摆锤截面的标称直径,由 2g 1 k  可知,根据d'作的“ h”图线的斜率大于依据标称直径计算结果所绘制图线的斜率。 d2 t2 aL 12.(1)大于 (2)低 (3)0.26 0.96 面积 (每空2分) U 【解析】(1)若金属导体中的载流子是束缚粒子,则所加电压赋予粒子的能量需要超过粒子的束缚能, 才能使粒子脱离束缚而运动起来;即在导体中的引起电流需要的电压的阈值为不等于零的有限值。 (2)金属导体向右做减速运动,电子由于惯性将相对金属晶格向右运动,向导体右端聚集,使得导 体右端带负电,左端带正电,其在导体内部激发的静电场向右,电子受到静电力向左,稳定后,设导体内 电场强度为E,则有E=U/L,电子随导体一起减速,有eE=ma,联立可得e/m=aL/U。 (3)R=U/I=1.50/1.56=0.96(Ω),由实验数据可知,R∝1/d2,金属丝的电阻与截面面积成反比,金属 丝中的电流是体积传导的。 13.(1) (2) 0 64 【解析8】(1)对被 0压缩的气体,有 第 2 页 共 5 页p V =8p V , 3分 0 0 0 1 解得V =; 2分 1 (2)设需要打气n次,则对储气罐原来的气体和新打入的气体整体,有 np V +8p ×16V=12p ×16V, 3分 0 0 0 0 解得 。 2分 64 = 0 1 v2 14.(1) mv2 (2) 0 4 0 g 【解析】(1)由斜抛运动规律可知,炮弹在最高点的速度为 v v cos45 2分 x 0 设两块碎片的初速度分别为v 、v ,则由动量守恒定律,有 1 2 m m 0 v sin45 v sin45 2分 2 1 2 2 m m mv cos45 vcos45 v cos45 2分 0 2 1 2 2 解得 v v v ; 1 2 0 故炮弹爆炸前后系统增加的机械能为 1 1 1 E  mv2  m(v cos45)2  mv2。 2分 2 0 2 0 4 0 v1 d v2 v0 d (2)斜上抛的碎片比斜下抛的碎片多运动的水平位移,就是斜上抛的碎片落回爆炸时所在高度时的 水平位移,有 d v cos45t, 2分 0 v sin45v sin45gt 2分 0 0 解得 v2 d  0 。 2分 g [说明]第(2)问若用竖直速度的变化来计算两碎片的时间差,也很方便:设两碎片落地竖直速度为 v ,则有v v sin45gt ,v v sin45gt ,d v cos45(t t )。 y y 0 1 y 0 2 0 1 2 补充解法(下图): 第 3 页 共 5 页2eU 2πmv 128π2U 15.(1) (2) 0 (3) m eB 9B2l2 0 【解析】(1)电子在K、A之间加速时,由动能定理,有 1 eU  mv2 0, 2分 2 0 2eU 解得v  。 2分 0 m (2)电子进入匀强磁场后,在垂直磁场方向做匀速圆周运动,平行磁场方向做匀速直线运动,电子 运动轨迹为等距螺旋线。 设电子回旋半径为R,由牛顿第二定律,有 v2 mv evB m ,解得R  ; 2分 R eB 设电子回旋周期为T,则有 2πR T  , (直接写 扣2分) 2分 v 2 则电子在T内沿磁场方向前 进=的距 离为d=v 0 T; 2分 2πmv 联立解得d  0 (用第一问的v 表示,只扣结果2分)。 2 分 0 eB (3)由(2)可知,电子在磁场中做螺旋运动的螺距与横向速度大小无关; 设电子在位置x附近的磁感应强度为B,则电子在垂直轴线的平面内旋转的角速度ω满足 第 4 页 共 5 页v2 v evB m , , 1分 R R x 电子沿轴线方向向右运动x距离经历的时间t  ,则t内电子在垂直轴线的平面内偏转的角度 v 0 eB 为t,联立解得 x 1分 mv 0 l B 4B 在0 x 内,由图丙,有B  0 x 0 x, 4 l/4 l 故在此范围内,电子在垂直轴线的平面内转过的角度为 2 4eB 4eB 1 l    0 xx 0    ; 1分 1 lmv lmv 24 0 0 l 3l eB l 在  x 内,电子在垂直轴线的平面内转过的角度为  0  ; 1分 4 4 2 mv 2 0 3l 在  xl内,电子在垂直轴线的平面内转过的角度为 ; 3 1 4 电子汇聚处满足   n2π, 1分 1 2 3 B 从零逐渐增大到B 时,荧光屏上光斑面积第一次达到最小,有n=1; m 0 e 128π2U 联立解得  。 1分 m 9B2l2 0 [说明]第(3)问在磁场变化区域用平均磁感应强度计算,得到正确结果的也给分。 第 5 页 共 5 页