当前位置:首页>文档>THUSSAT2024年1月诊断性测试理科综合物理答案_2024届THUSSAT中学生标准学术能力诊断性测试2024年1月测试全科_THUSSAT中学生标准学术能力诊断性测试2024年1月测试理综

THUSSAT2024年1月诊断性测试理科综合物理答案_2024届THUSSAT中学生标准学术能力诊断性测试2024年1月测试全科_THUSSAT中学生标准学术能力诊断性测试2024年1月测试理综

  • 2026-04-04 08:35:40 2026-02-09 03:25:26

文档预览

THUSSAT2024年1月诊断性测试理科综合物理答案_2024届THUSSAT中学生标准学术能力诊断性测试2024年1月测试全科_THUSSAT中学生标准学术能力诊断性测试2024年1月测试理综
THUSSAT2024年1月诊断性测试理科综合物理答案_2024届THUSSAT中学生标准学术能力诊断性测试2024年1月测试全科_THUSSAT中学生标准学术能力诊断性测试2024年1月测试理综
THUSSAT2024年1月诊断性测试理科综合物理答案_2024届THUSSAT中学生标准学术能力诊断性测试2024年1月测试全科_THUSSAT中学生标准学术能力诊断性测试2024年1月测试理综
THUSSAT2024年1月诊断性测试理科综合物理答案_2024届THUSSAT中学生标准学术能力诊断性测试2024年1月测试全科_THUSSAT中学生标准学术能力诊断性测试2024年1月测试理综
THUSSAT2024年1月诊断性测试理科综合物理答案_2024届THUSSAT中学生标准学术能力诊断性测试2024年1月测试全科_THUSSAT中学生标准学术能力诊断性测试2024年1月测试理综
THUSSAT2024年1月诊断性测试理科综合物理答案_2024届THUSSAT中学生标准学术能力诊断性测试2024年1月测试全科_THUSSAT中学生标准学术能力诊断性测试2024年1月测试理综
THUSSAT2024年1月诊断性测试理科综合物理答案_2024届THUSSAT中学生标准学术能力诊断性测试2024年1月测试全科_THUSSAT中学生标准学术能力诊断性测试2024年1月测试理综
THUSSAT2024年1月诊断性测试理科综合物理答案_2024届THUSSAT中学生标准学术能力诊断性测试2024年1月测试全科_THUSSAT中学生标准学术能力诊断性测试2024年1月测试理综
THUSSAT2024年1月诊断性测试理科综合物理答案_2024届THUSSAT中学生标准学术能力诊断性测试2024年1月测试全科_THUSSAT中学生标准学术能力诊断性测试2024年1月测试理综

文档信息

文档格式
pdf
文档大小
0.366 MB
文档页数
5 页
上传时间
2026-02-09 03:25:26

文档内容

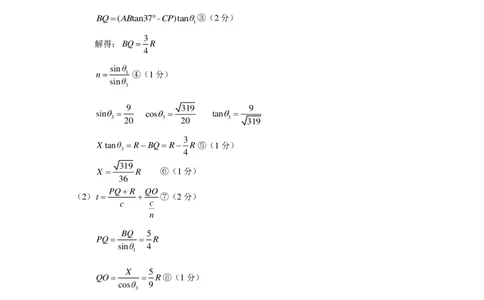
中学生标准学术能力诊断性测试 2024 年 1 月测试 理科综合试卷 物理参考答案 二、选择题:本题共8小题,每小题6分,共48分。在每小题给出的四个选项中,第14~ 18题只有一项符合题目要求,第19~21题有多项符合题目要求。全部选对的得 6分, 选对但不全的得3分,有选错的得0分。 14 15 16 17 18 19 20 21 D B D C D AD AD BC 三、非选择题:共62分。 22.(6分) 答案: 第1页 共5页 1 . 0 (2分) 1.7(2分) 0 .2 0 (2分) 注:若答案中带上f,也可给分。 23.(9分) 答案: (1)20(1分) 180(1分) (2)12(1分) 1000(1分) 10(1分) (3)最左端(1分) b(1分) (4)大于(2分) 24.(12分) 解析: 光路图如图所示: {#{QQABYYSEogCgABJAARhCAQ0qCkEQkBCCACoGREAAsAAAwQNABCA=}#}(1)一单色光由P点平行于AC所在侧面射入a由题意可知入射角 第2页 共5页 1 3 7  =  sinθ n= 2 ①(2分) sinθ 1 得 s i n 2 4 5  = ②(1分) 2 5 3  =  由几何关系可知光传播到AB面的入射角为 1 B Q = ( A B t a n 3 7  - C P ) t a n θ 1 ③(2分) 3 解得:BQ= R 4 n = s s i n i n θ θ 1 3 ④(1分) s i n 3 9 2 0  = c o s 3 3 2 1 0 9  = 9 tan = 3 319 X t a n θ 3 = R − B Q = R − 3 4 R ⑤(1分) X = 3 3 1 6 9 R ⑥(1分) (2) t = P Q c + R + Q O c n ⑦(2分) P Q = s B i n Q θ 1 = 5 4 R X 5 QO= = R⑧(1分) cosθ 9 3 323R t= ⑨(1分) 108c 25.(15分) 解析: (1)设两物块碰撞前P的速度为v ,P的质量为m ,Q的质量为m ,碰撞结束时P的速 1 1 2 度为v ',Q的速度为v ',设倾斜轨道与水平面的夹角为。 1 2 由动量守恒定律得mv =mv '+mv ' ① (1分) 1 1 1 1 2 2 {#{QQABYYSEogCgABJAARhCAQ0qCkEQkBCCACoGREAAsAAAwQNABCA=}#}由能量守恒有 第3页 共5页 1 2 m 1 v 21 = 1 2 m 1 v 21 + 1 2 m 2 v 22 ②(1分) 由①②解得 v 2 ' = 2 m / s , m 2 = 1 .5 k g ③(1分) g s i n θ − μ g c o s θ = 4 m / s 2 ④(1分) g s i n θ + μ g c o s θ = 5 m / s 2 ⑤(1分) 由④⑤得 s i n θ = 9 2 0 ⑥(1分) 3 3 1 1 9 9  = ⑦(1分) (2)设P与Q碰撞后P在倾斜轨道上停止运动时的位置距水平面高度为 H ' , P与斜面之 间因摩擦而产生的热量 H H Q= μmgcosθ +μmgcosθ ⑧(1分) 1 sinθ 1 sinθ 由图乙可知 s H i n θ = 2 m ⑨(1分) s H i n  θ = 0 .4 m ⑩ (1分) 解得 Q = 0 .6 J ○ 11 (1分) (3)设物块与轨道间改变后的动摩擦因数为 '  ,Q在水平面上滑行的距离为 x B m 2 g x B 0 1 2 m 2 v 2 2  − = −  ○ 12 (1分) m 1 g H m 1 g c o s s H i n m 1 g x B 0      −    −  = ○ 13 (1分) m 2 g x B m 2 g H m 2 g c o s s H i n 0 1 2 m 2 v 23     −  −  −    = − ○ 14 (1分) 由⑥⑩○ 12 ○ 13 ○ 14 得 v 3 = 6 5 5 m / s ○ 15 (1分) 26.(20分) 解析: (1)粒子的运动轨迹如图所示,粒子转过的圆心角为53° {#{QQABYYSEogCgABJAARhCAQ0qCkEQkBCCACoGREAAsAAAwQNABCA=}#}假设粒子的质量为m,电荷量为q,在磁场中做匀速圆周运动的半径为r 由几何关系可知 第4页 共5页 c o s 5 3  = r − r d ①(1分) 解得:r=0.5m v2 在磁场中,洛伦兹力提供向心力,由牛顿第二定律可得qvB=m ②(1分) r 粒子进入匀强电场后做斜上抛运动,在轨迹的最高点时,竖直分速度为 0,由动能定 理可得: − E q d = 1 2 m ( v c o s 5 3  ) 2 − 1 2 m v 2 ③(2分) 联立①②③式,解得 E B = 4 m / s ④(1分) (2)若发射粒子的速度变为v =8m/s,由牛顿第二定律可得 1 q v 1 B = m 2 v 1r1 ⑤(1分) 联立①②⑤式,解得r =0.8m 1 假设粒子通过y轴时,与O点的距离为L,转过的圆心角为θ,由几何关系可得: r1 s i n r s i n 5 3  =  ⑥(1分) d L r1 (1 c o s )  − = − ⑦(1分) 2 3−3 解得:θ=30°,L= m 5 粒子通过y轴后在第四象限中做匀速直线运动,设粒子的运动轨迹与 x 轴的交点到O 点的距离为x ,由几何关系可得: 1 t a n L x 1  = ⑧(1分) 解得: x 1 = 6 − 3 5 3 m  0 .1 6 m ⑨(1分) 由于0≤x ≤0.4m,故发射粒子的速度变为v =8m/s时,粒子能进入电场(1分) 1 1 (3)粒子通过O点进入电场后,设粒子在电场中的加速度大小为a 竖直方向做匀减速运动 ( v s i n 5 3  ) 2 = 2 a d ⑩(1分) 解得:a=40m/s2 粒子的水平位移 x = v c o s 5 3  t ○ 11 (1分) 1 粒子的竖直位移y=vsin53t− at2○ 12 (1分) 2 20 4 联立○ 11 ○ 12 消去t可得:y=− x2 + x(0≤x≤0.4m)○ 13 (2分) 9 3 {#{QQABYYSEogCgABJAARhCAQ0qCkEQkBCCACoGREAAsAAAwQNABCA=}#}粒子射出电场时,竖直分速度 第5页 共5页 v y = v s i n 5 3  − a t ○ 14 (1分) 联立○○可解得 11 14 v y = − 4 3 m / s 设粒子的速度与水平方向的夹角为α t a n v c v y o s 5 3  =  ○ 15 (1分) 48 则粒子在电场中的速度偏转角的正切值为tan(53+)= ○ 16 (2分) 11 {#{QQABYYSEogCgABJAARhCAQ0qCkEQkBCCACoGREAAsAAAwQNABCA=}#}