当前位置:首页>文档>高三12月联考数学评分细则_2025年12月_251220湖北省衡水金卷2026届高三年级上学期12月阶段性测试(全科)_湖北省衡水金卷2026届高三上学期12月阶段性测试数学试卷(含答案)

高三12月联考数学评分细则_2025年12月_251220湖北省衡水金卷2026届高三年级上学期12月阶段性测试(全科)_湖北省衡水金卷2026届高三上学期12月阶段性测试数学试卷(含答案)

  • 2026-04-09 22:25:31 2026-02-09 05:20:06

文档预览

高三12月联考数学评分细则_2025年12月_251220湖北省衡水金卷2026届高三年级上学期12月阶段性测试(全科)_湖北省衡水金卷2026届高三上学期12月阶段性测试数学试卷(含答案)
高三12月联考数学评分细则_2025年12月_251220湖北省衡水金卷2026届高三年级上学期12月阶段性测试(全科)_湖北省衡水金卷2026届高三上学期12月阶段性测试数学试卷(含答案)
高三12月联考数学评分细则_2025年12月_251220湖北省衡水金卷2026届高三年级上学期12月阶段性测试(全科)_湖北省衡水金卷2026届高三上学期12月阶段性测试数学试卷(含答案)
高三12月联考数学评分细则_2025年12月_251220湖北省衡水金卷2026届高三年级上学期12月阶段性测试(全科)_湖北省衡水金卷2026届高三上学期12月阶段性测试数学试卷(含答案)
高三12月联考数学评分细则_2025年12月_251220湖北省衡水金卷2026届高三年级上学期12月阶段性测试(全科)_湖北省衡水金卷2026届高三上学期12月阶段性测试数学试卷(含答案)
高三12月联考数学评分细则_2025年12月_251220湖北省衡水金卷2026届高三年级上学期12月阶段性测试(全科)_湖北省衡水金卷2026届高三上学期12月阶段性测试数学试卷(含答案)
高三12月联考数学评分细则_2025年12月_251220湖北省衡水金卷2026届高三年级上学期12月阶段性测试(全科)_湖北省衡水金卷2026届高三上学期12月阶段性测试数学试卷(含答案)
高三12月联考数学评分细则_2025年12月_251220湖北省衡水金卷2026届高三年级上学期12月阶段性测试(全科)_湖北省衡水金卷2026届高三上学期12月阶段性测试数学试卷(含答案)
高三12月联考数学评分细则_2025年12月_251220湖北省衡水金卷2026届高三年级上学期12月阶段性测试(全科)_湖北省衡水金卷2026届高三上学期12月阶段性测试数学试卷(含答案)
高三12月联考数学评分细则_2025年12月_251220湖北省衡水金卷2026届高三年级上学期12月阶段性测试(全科)_湖北省衡水金卷2026届高三上学期12月阶段性测试数学试卷(含答案)
高三12月联考数学评分细则_2025年12月_251220湖北省衡水金卷2026届高三年级上学期12月阶段性测试(全科)_湖北省衡水金卷2026届高三上学期12月阶段性测试数学试卷(含答案)
高三12月联考数学评分细则_2025年12月_251220湖北省衡水金卷2026届高三年级上学期12月阶段性测试(全科)_湖北省衡水金卷2026届高三上学期12月阶段性测试数学试卷(含答案)
高三12月联考数学评分细则_2025年12月_251220湖北省衡水金卷2026届高三年级上学期12月阶段性测试(全科)_湖北省衡水金卷2026届高三上学期12月阶段性测试数学试卷(含答案)

文档信息

文档格式
docx
文档大小
0.970 MB
文档页数
9 页
上传时间
2026-02-09 05:20:06

文档内容

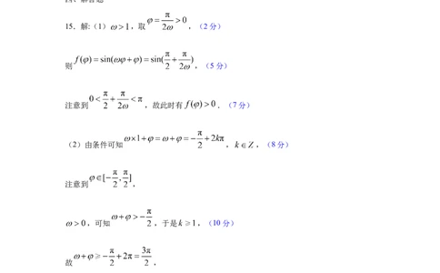
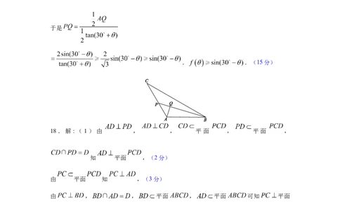
高三年级 12 月阶段性测试 数学参考答案及解析 三、填空题 12. 【解析】设圆锥的底面半径为r,母线长为l,高为h,由母线与底面所成角是 知 , ,所以体积 ,故 ,化简可得 ,所以 .故答案为 . 13. 【解析】如图所示,注意到 为图象中的失去一组对边的实心矩形, 即圆心坐标为 ,半径为 的圆或点 ,当 时显然题设不成立,由题意知圆必 与矩形有无穷个公共点,故应有 ,易知 , ,故由 解得 .故答案为 . 14.3【解析】由 ,得 ,取倒数得: ,所以 , 所 以 , 又,所以数列 单调递增,由 ,可得: , , , , , 显然 ,所以不超过 的最大整数是3.故答案为3. 四、解答题 15.解:(1) ,取 ,(2分) 则 ,(5分) 注意到 ,故此时有 .(7分) (2)由条件可知 , ,(8分) 注意到 , ,可知 ,于是 ,(10分) 故 , 于是 ,当且仅当 时,等号成立,(12分) 故 的最小值为 .(13分) 16.解:(1)1,1,2,2,4,2.(6分) 绘制如图.(7分)(2)设 为素数,则不超过 且与 不互质的正整数只有 的倍数.所以互质的数的数 目为 .(12分) 故 ,故数列 为公比为 的等比数列.(15 分) 17 . 解 : ( 1 ) 由 中 点 性 质 可 知 , 由 余 弦 定 理 得 ,(4分) 即 .(5分) ( 2 ) 方 法 一 : 显 然 , 而 , 由 正 弦 定 理 得 ,即 ,(7分) 于是 ,(11分) 而 ,故 .(14分) 由 知 , 故 . 即.(15分) 方法二:注意到 ,于是 ,(9分) 而 ,(11分) 故 ,而 ,(12分) 于是 . .(15分) 18.解:(1)由 , , 平面 , 平面 , 知 平面 ,(2分) 由 平面 知 ,(3分) 由 , , 平面 , 平面 可知 平面 ,(4分) 而 ,由 , 是 , 的方向向量得 ,(6分) 由 , , 平面 , 平面 ,可得 平面.(7分) (2)(i)以 为坐标原点, 的方向为 轴正方向, 的方向为 轴正方向, 的 方向为 轴正方向,建立空间直角坐标系 ,(8分) 则 , , , , , .设 ,由 得 ,解得 ,(11分) 于是 ,显然 ,可得 , , 三点共线.(12分) 【注:若用几何法则该问满分4分,最后一问进行建系得1分,剩余分值不变.】 (ii)注意到 , ,显然平面 的一个法向量为 ,(13分) 记平面 的一个法向量为 ,,即 ,可取 .(15分) 记平面 与平面 的夹角为 ,则 .(17 分) 19 . 解 : ( 1 ) 函 数 的 定 义 域 为 , . 方 程 的判别式 .当 时,若 ,则 ,函数无 极值点;若 ,则 ,且二次项系数 ,故 恒成立,即 ,函数无极值点.(1分) 当 时, ,且 ,故方程有一正一负两根.由于定义域为 ,仅有 一个正根 .当 时, ;当 时, .故 为极大值点. 此时有1个极值点.(2分) 当 时, ,且两根之和 ,两根之积 ,方程有两个不相等 的正实根 ,此时有2个极值点.(3分) 综上所述,当 时,极值点个数为0;当 时,极值点个数为1;当 时,极 值点个数为2.故 的取值范围为 .(4分) (2)由于 ,故 恒为函数的一个零点.(5分) 当 时,函数有两个极值点 .设 ,则 ,且 ,故. 在 上单调递增.又 且 ,所以 是该区 间唯一零点.此时 .当 时,有 且 ,又 ,故 恒成立,故当 时,函数只有1个零点.(7分) 当 时,函数有唯一的极大值点 .若 ,则 .此时 满足 , 即 .当 时,极大值点即为零点,函数只有1个零点.(8分) 若 ,则极大值 . 在 单调递增,在 单调递减,当 时 , , 即 , 取 , 且 ,由于 ,故 .又 ,所以 .易知 ,则 ,即 .因为 ,故 .若 ,则 落在 或 .在 上 ,与 矛盾; 在 上 ,但 ,矛盾.故 .故根据零点存在性定理,在区间 内存在一个零点.即 时存在2个零点.(9分) 当 时, .即 ,取 . ,令 , 则 . 此 时 , , . 设 ( ) , . 当 时 , . 故 在 单 调 递 减 , ,即 .设 ,且 是的唯一正根.因为 ,抛物线开口向下, ,故当 时 . ,由 且 ,可知 .故根据零点存在性定理,在 区间 内存在一个零点.(10分) 综上,当 或 时,有1个零点;当 且 时,有2个零点. (3)不妨记所有零点之和为 ,所有极值点之和为 .当 时,零点仅有 ,故 .极值点为 ,由韦达定理 ,故 .此时 ,即 . (11分) 当 时,零点仅有 ,故 .极值点为 ,故 .此时 ,即 .(12分) 当 且 时, 有两个零点 (设 ),其中一个为1,另一个记为 ,则 . 极 值 点 仅 有 , 故 . 由 单 调 性 知 , 且 满 足 ,即 .设 . , 将 代入得 . 因为 ,所以 恒成立, 在 上单调递增,又 ,即 .(15分) 显然 ,取较小的零点 , ,因为 ,且 ,所以 ,又 与 均在区间 上,且在此区间上 单调递减,故 ,即 ,即 . 综上,当 时,所有零点之和等于所有极值点之和的2倍;当 时,所有零点之和 小于所有极值点之和的2倍;当 且 时,所有零点之和大于所有极值点之和的 2 倍.(17分)