当前位置:首页>文档>精品解析:2022年湖北省宜昌市中考地理真题(解析版)_中考真题_9.地理中考真题2015-2024年_2022中考地理真题98份18

精品解析:2022年湖北省宜昌市中考地理真题(解析版)_中考真题_9.地理中考真题2015-2024年_2022中考地理真题98份18

  • 2026-03-22 03:53:39 2026-02-09 07:53:03

文档预览

精品解析:2022年湖北省宜昌市中考地理真题(解析版)_中考真题_9.地理中考真题2015-2024年_2022中考地理真题98份18
精品解析:2022年湖北省宜昌市中考地理真题(解析版)_中考真题_9.地理中考真题2015-2024年_2022中考地理真题98份18
精品解析:2022年湖北省宜昌市中考地理真题(解析版)_中考真题_9.地理中考真题2015-2024年_2022中考地理真题98份18
精品解析:2022年湖北省宜昌市中考地理真题(解析版)_中考真题_9.地理中考真题2015-2024年_2022中考地理真题98份18
精品解析:2022年湖北省宜昌市中考地理真题(解析版)_中考真题_9.地理中考真题2015-2024年_2022中考地理真题98份18
精品解析:2022年湖北省宜昌市中考地理真题(解析版)_中考真题_9.地理中考真题2015-2024年_2022中考地理真题98份18
精品解析:2022年湖北省宜昌市中考地理真题(解析版)_中考真题_9.地理中考真题2015-2024年_2022中考地理真题98份18
精品解析:2022年湖北省宜昌市中考地理真题(解析版)_中考真题_9.地理中考真题2015-2024年_2022中考地理真题98份18
精品解析:2022年湖北省宜昌市中考地理真题(解析版)_中考真题_9.地理中考真题2015-2024年_2022中考地理真题98份18
精品解析:2022年湖北省宜昌市中考地理真题(解析版)_中考真题_9.地理中考真题2015-2024年_2022中考地理真题98份18
精品解析:2022年湖北省宜昌市中考地理真题(解析版)_中考真题_9.地理中考真题2015-2024年_2022中考地理真题98份18
精品解析:2022年湖北省宜昌市中考地理真题(解析版)_中考真题_9.地理中考真题2015-2024年_2022中考地理真题98份18
精品解析:2022年湖北省宜昌市中考地理真题(解析版)_中考真题_9.地理中考真题2015-2024年_2022中考地理真题98份18
精品解析:2022年湖北省宜昌市中考地理真题(解析版)_中考真题_9.地理中考真题2015-2024年_2022中考地理真题98份18
精品解析:2022年湖北省宜昌市中考地理真题(解析版)_中考真题_9.地理中考真题2015-2024年_2022中考地理真题98份18
精品解析:2022年湖北省宜昌市中考地理真题(解析版)_中考真题_9.地理中考真题2015-2024年_2022中考地理真题98份18
精品解析:2022年湖北省宜昌市中考地理真题(解析版)_中考真题_9.地理中考真题2015-2024年_2022中考地理真题98份18
精品解析:2022年湖北省宜昌市中考地理真题(解析版)_中考真题_9.地理中考真题2015-2024年_2022中考地理真题98份18
精品解析:2022年湖北省宜昌市中考地理真题(解析版)_中考真题_9.地理中考真题2015-2024年_2022中考地理真题98份18

文档信息

文档格式
docx
文档大小
0.838 MB
文档页数
15 页
上传时间
2026-02-09 07:53:03

文档内容

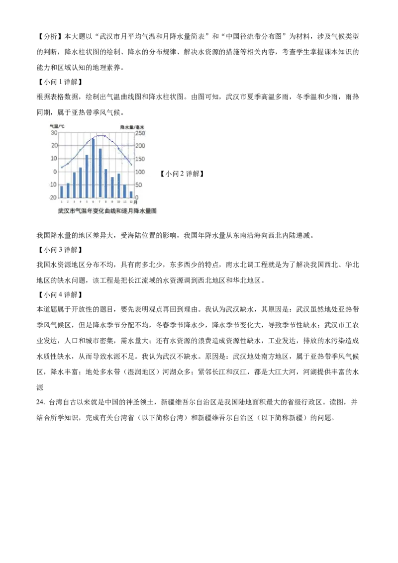
2021 年湖北省宜昌市初中学业水平考试 地理试题 注意事项: 本试卷分试题卷和答题卡两部分,请将答案写在答题卡上每题对应的答题区域内,写在试题 卷上无效。 考试结束,请将本试题卷和答题卡一并上交。 一、选择题(下列各题中,只有一个选项最符合题意。1~20题为地理选择题) 我们的征途是星辰大海!2022年4月16日,神舟十三号载人飞船返回舱带着翟志刚、王亚平、叶光 富3名航天员在东风着陆场成功着陆。2022年6月5日10时44分,神舟十四号载人飞船在酒泉发射中心 成功发射,陈冬、刘洋、蔡旭哲3名航天员开启了为期6个月的中国空间站建造之旅。读图1、图2完成下 面小题 1. “摘星星的妈妈”王亚平走出太空舱,看到地球呈蔚蓝色,这是因为( ) A. 地球外部被蓝色的大气包围 B. 宇航员在太空中的视觉错觉 C. 地球表面陆地面积占大部分 D. 地球表面海洋面积占大部分 2. 神舟十三号载人飞船着陆时,地球在公转轨道上的位置位于图2中的( ) A. 甲——乙间 B. 乙——丙间 C. 丙——丁间 D. 丁——甲间 3. 神舟十四号载人飞船发射时,塞尔维亚首都贝尔格莱德(东一区)的区时是( ) . A 6月5日10时44分 B. 6月5日17时44分 C. 6月5日3时44分 D. 6月6日3时44分 4. 我国取得火箭发射和空间探测等领域的伟大成就,主要得益于( ) ①生活水平的提高 ②科学技术的进步 ③劳动力的增加 ④综合国力的提升 A. ①② B. ②④ C. ③④ D. ①④ 【答案】1. D 2. A 3. C 4. B 【解析】 【1题详解】在太空看地球呈蔚蓝色,这是因为地球表面海陆比例约为7:3,海洋面积占大部分,故D正确。故排除 ABC,故选D。 【2题详解】 由材料可知,神舟十三号载人飞船着陆时,为2022年4月16日,为北半球的春分日(3月21日前后)与 夏至日(6月22日前后)之间。由图可知,地球运行在公转轨道上的位置位于图2中的甲——乙间,故A 正确;图2中的乙——丙间为夏至日(6月22日前后)至秋分日(9月23日前后), 丙——丁间为秋分 日(9月23日前后)至冬至日(12月22日前后), 丁——甲间为冬至日(12月22日前后)至春分日(3 月21日前后),故BCD错误。故选A。 【3题详解】 神舟十四号载人飞船发射时(6月5日10时44分),我国 是北京时间,北京位于东八区,塞尔维亚首都 贝尔格莱德(东一区)比北京晚7个小时,区时是6月5日3时44分,故C正确。故排除ABD,故选C。 【4题详解】 航天工业属于高新科技产业,我国取得火箭发射和空间探测等领域的伟大成就,主要得益于科学技术的进 步和综合国力的提升,故②④正确,故B正确;发展高新科技主要依赖的是的是科研人才和科技技术,我 国航天事业的发展与生活水平和普通劳动力的关系不大,故①③错误。故排除ACD,故选B。 【点睛】高新技术产业的特点:(1)从业人员中,科研和技术人员所占比例大;(2)成本中用于研究与 开发的费用所占份额大;(3)产品的科技含量高,更新换代快;(4)能源和原材料消耗少,环境污染小, 产品的附加值高。 1519年9月,麦哲伦率领船队从西班牙出发开始人类首次环球航行,1522年9月船队返回西班牙。读 图完成下面小题 5. 麦哲伦船队先后经过的大洋是( ) A. 印度洋—太平洋—大西洋—印度洋 B. 大西洋—太平洋—印度洋—大西洋 C. 大西洋—印度洋—太平洋—大西洋 D. 太平洋—大西洋—印度洋—太平洋 6. 为了促进海洋运输业的发展,人们在图中的①、②处开凿了运河,它们依次是( ) A. 巴拿马运河,苏伊士运河 B. 苏伊士运河,巴拿马运河 C. 京杭大运河,苏伊士运河 D. 巴拿马运河,京杭大运河【答案】5. B 6. A 【解析】 【5题详解】 读图可知,麦哲伦船队从西班牙出发,先后经过的大洋是大西洋—太平洋—印度洋—大西洋,B正确, ACD错误,故选B。 【6题详解】 为了促进海洋运输业的发展,人们在图中的①、②处开凿了运河,它们依次是巴拿马运河,苏伊士运河。 苏伊士运河是亚洲和非洲的分界线,沟通了红海和地中海;巴拿马运河是北美洲和南美洲的分界线,沟通 了太平洋和大西洋,都重要的国际航道。A正确,BCD错误,故选A。 【点睛】太平洋是世界面积最大的洋,覆盖着地球约46%的水面以及约32.5%的总面积;大西洋是世界第 二大洋,占地球表面积的近20%,大西洋呈"S"型;印度洋是热带大洋,北冰洋是世界纬度最高、气温最低、 水深最浅、面积最小的洋。 2022年4月26日,“雪龙”号极地科学考察船远航归来。这标志着历时174天的中国第38次南极科 考圆满收官。读图完成下面小题 7. 图中虚线指的是( ) A. 北回归线 B. 南回归线 C. 北极圈 D. 南极圈 8. 中国在南极建立科学考察站一般都选择在2月份,原因是( ) A. 企鹅、海豹等动物冬眠,对人类威胁小 B. 正值南极地区极昼,气温略高 C. 地面冰雪全部融化,便于开展科考活动 D. 降水丰富,淡水资源充足 【答案】7. D 8. B 【解析】 【7题详解】 由图可知,图为南极地区示意图,南极主要位于南极圈内,图中虚线与纬结平行,为南极圈,故D正确。 故排除ABC,故选D。 【8题详解】 中国在南极建立科学考察站一般都选择在2月份,原因是正值南极的暖季,南极地区极昼,气温略高,故B正确;企鹅海豹不会冬眠,故A错误;南极终年严寒,南极冰雪不会全部融化,故C错误;南极寒冷干 燥,降水少,但冰原覆盖,淡水资源充足,故D错误。故选B。 【点睛】极地地区的环境保护受到全世界的重视。(1)南极地区的保护。针对南极地区的和平利用、科 学考察、环境保护等,1959年12月,澳大利亚、阿根廷等12个国家签订了《南极条约》。我国于1983年 正式加入《南极条约》;(2)北极地区的保护。国际上非常正视北极地区的环境保护问题,于1991年制 定了《北极环境保护战略》。 读2022年我国“某地连续7天天气信息图”。完成下面小题 9. 这7天中,气温日较差最小的是( ) A. 6月4日 B. 6月5日 C. 6月6日 D. 6月10日 10. 6月6日是二十四节气中的芒种,该地这天的天气状况为( ) A. 大雨 B. 多云 C. 晴天 D. 阴天 【答案】9. A 10. C 【解析】 【9题详解】 由图可知,6月4日气温日较差为5℃,6月5日气温日较差为7℃,6月6日气温日较差为9℃,6月10日 气温日较差为6℃,故日温差最小的是6月4日,排除BCD,故选A。 【10题详解】 为 由天气符号示意图可知,6月6日这一天 晴天,排除ABD,故选C。 【点睛】日温差指的是一天当中最高气温和最低气温的差值。 读“中国地势阶梯状分布示意图(36°N)”,完成下面小题 11. 下列关于我国地势特征的说法,正确的是( ) A. 华北平原位于第一级阶梯 B. 太行山是我国地势第一、二级阶梯分界线 C. 我国地势东高西低,向海洋倾斜 D. 我国地势西高东低,呈阶梯状分布 12. 这一地势特征对我国经济发展的有利影响是( ) A. 中西部的降水丰富,为农业的发展提供有利条件 B. 许多河流在阶梯交界处水流湍急,水能资源丰富C. 东部地区地势低平,为畜牧业发展提供有利条件 D. 西部地区地势较高,为运输业发展提供有利条件 【答案】11. D 12. B 【解析】 【11题详解】 由图可知,华北平原位于我国第三级阶梯,A错误。太行山是我国第二三级阶梯的分界线,B错误。我国 地势西高东低,向海洋倾斜,C错误。我国总体地势西高东低,呈三级阶梯状分布,D正确。故选D。 【12题详解】 我国地势西高东低,呈三级阶梯状分布,东部降水丰富,为农业的发展提供有利条件,A错误。许多河流 在阶梯交界处地势落差大,水流湍急,水能资源丰富,B正确。东部地区地势低平,为种植业发展提供有 利条件,C错误。东部地势低平,为运输业发展提供有利条件,D错误。根据题意故选B。 【点睛】我国总体地势西高东低,呈三级阶梯状分布,该特征有利于来自海洋的水汽深入内陆,阶梯交界 处地势落差大,河流水流湍急,水能资源丰富。 自新中国成立以来,我国开展了七次人口普查。读图完成下面小题 13. 图中反映出我国人口增长速度最快的时段是( ) A. 1953年~1964年 B. 1964年~1982年 C. 1982年~1990年 D. 1990年~2000年 14. 下列关于我国人口的说法,正确的是( ) A. 一直以来,我国人口的增长与社会经济发展是相适应的 B. 经历过人口的快速增长以后,我国人口数量呈下降趋势 C. 面对当前人口老龄化现象,我国实行全面放开的生育政策 D. 实行计划生育,是我国一项长期的基本国策 【答案】13. B 14. D 【解析】 【13题详解】 由图可知,1953年~1964年人口增长了1.21亿人,1964年~1982年人口增长了3.09亿人,1982年~1990年 人口增长了1.28亿人,1990年~2000年人口增长了1.35亿人,故人口增长速度最快的时间段是1964年~1982年,排除ACD,故选B。 【14题详解】 由题可知,我国前期人口增长速度过快,没有与社会经济发展相适应,A错误。我国人口到目前为止总人 数一直处在上升阶段,B错误。面对当前人口老龄化现象,我国实行开放三胎政策,C错误。实行计划生 育,是我国一项长期的基本国策,D正确。故选D。 【点睛】科学的人口增长观应该是人口的增长应该与资源环境相协调,与社会经济发展相适应。 我国地形复杂多样,开发利用中要注重因地制宜。读表、下图完成下面小题 某地地形类型比例及农作物分布表 地形类型 占土地面积 海拔 粮食作物 平原 20% <200米 水稻 丘陵 60% 200—500米 水稻、小麦 山地 20% >500米 小麦、马铃薯 15. 该地区的地形( ) A. 以山地为主 B. 以丘陵为主 C. 以平原为主 D. 以高原为主 16. 从可持续发展角度出发,目前该地区农业发展中不宜采取的措施是( ) A. 发展绿色农业,改善生态环境 B. 发展立体农业,充分利用土地和气候资源 C. 重点发展水稻种植业,解决人多地少的矛盾 D. 调整农业产业结构,积极发展多种经营 【答案】15. B 16. C 【解析】 【15题详解】 由图可知,此地占地面积最大的地形是丘陵,占比60%,故B正确;山地占比20%,平原占比20%,没有 高原,故ACD错误。故选B。 【16题详解】 从可持续发展角度出发,目前该地区以丘陵为主,农业发展宜采取的措施是发展绿色农业,改善生态环境; 适宜发展立体农业,充分利用土地和气候资源;适宜调整农业产业结构,积极发展多种经营。ABD叙述正确;该地区平原面积较少,丘陵地带不适宜重点发展水稻种植业,C错误。故C符合题意,故选C。 【点睛】发展农业的原则——因地制宜。(1)“宜林则林”:地形陡峭,水土容易流失的地方适合发展 林业,既可增加收入,又可保持水土;(2)“宜粮则粮”:地形平坦、土壤肥沃、水源丰富,利于耕作 的地方适合发展种植业;(3)“宜牧则牧”:降水较少,但是牧草生长良好的地方适合发展畜牧业; (4)“宜渔则渔”:河湖较多和沿海地区适合发展渔业。 人们出行或运送货物,要根据各种交通运输方式的特点,以及路途的远近和具体的要求,来选择最佳 的交通运输方式。据此完成下面小题 的 17. 仅从运输成本考虑,下列运输方式中价格最低 是( ) A. 水运 B. 铁路 C. 公路 D. 航空 18. 秭归脐橙享誉全国,5吨脐橙由宜昌运往武汉,选择的最佳运输方式是( ) A. 水运 B. 铁路 C. 公路 D. 航空 【答案】17. A 18. C 【解析】 【17题详解】 水路运输速度最慢,运价最低,A正确。铁路速度较快,适合长途运输,运价较低;公路适合短途运输, 机动灵活,速度较快,运价较高;航空运输速度最快,运价最高,排除BCD,故选A。 【18题详解】 5吨脐橙由宜昌运往武汉,运量较小,且运输距离较近,脐橙属于鲜货,要求运输速度较快,因此选择公 路运输,C正确。水运速度最慢,运量大,运价低,适合大宗笨重货物,A错误。铁路适合长途运输,运 量大,B错误。航空适合紧急、贵重,运输路线较远的货物,D错误。故选C、 【点睛】水路运输速度最慢,运价最低,适合大宗笨重货物;铁路速度较快,适合长途运输,运价较低; 公路适合短途运输,机动灵活,速度较快,运价较高;航空运输速度最快,运价最高,适合紧急、贵重的 货物。 中国幅员辽阔,主要按照秦岭—淮河线、400毫米年等降水量线和青藏高原边缘线把中国划分为四大 地理区域。读图完成下面小题 19. 与北方地区和南方地区的分界线大致一致的是( ) A. 400毫米年等降水量线B. 1月平均气温10℃等温线 C. 青藏高原边缘线 D. 水田、旱地集中分布区的分界线 20. 我们的家乡宜昌在中国四大地理区域中( ) A. 最大的能源产区 B. 落叶阔叶林广泛分布的地区 C. “风吹草低见牛羊”描述的地区 D. “后皇嘉树,橘徕服兮”颂扬的地区 【答案】19. D 20. D 【解析】 【19题详解】 与北方地区和南方地区的分界线大致以秦岭--淮河一线为界,跟本条线一致的是:800毫米年等降水量线、 1月平均气温0℃等温线、水田、旱地集中分布区的分界线,青藏高原边缘线是指昆仑山--祁连线--横断山, D正确,ABC错误,故选D。 【20题详解】 湖北宜昌在南方地区。北方地区是我国最大的能源产区,矿产资源丰富,尤其是以煤炭、石油为代表的能 源资源极其丰富,A错误。落叶阔叶林广泛分布的地区分布在我国北方地区,B错误。“风吹草低见牛 羊”描述的是西北地区,C错误。“后皇嘉树,橘徕服兮”颂扬的是南方地区,D正确。故选D。 【点睛】根据区域特征的不同,综合地理位置、自然地理、人文地理的特点,可以把我国划分为四大地理 区域,即北方地区、南方地区、西北地区和青藏地区。其中,秦岭、淮河一线是北方地区和南方地区的分 界线。大兴安岭-阴山-贺兰山为北方地区和西北地区的分界线。我国青藏地区和西北地区,北方地区,南 方地区的分界线,大致以第一级阶梯和第二级阶梯的分界线。 二、综合题(第44—47题为地理部分) 21. 读“宜昌某地等高线示意图”并结合材料完成下列问题。 材料:湖北省宜昌市某县有一个名叫“雨水荒”的小村落。如同它的名字,“饮水难”成为当地百姓 的一块心病。2018年初,宜昌市水利部门与当地政府共同研究,启动引水工程。年底,一股清泉水“爬 到”了“雨水荒”。 (1)写出图中虚线①、②表示的地形部位名称。①______,②______。 (2)引水工程拟在A、B、C三处中,选取一处配套修建供给全村生产生活用水的蓄水池。你认为选在何处 更合理?请说明理由。______。 (3)从M到N的直线距离只有约______千米,而当地“村村通”公路修建得弯弯曲曲,公路里程远大于 MN 间的直线距离,请说明这样修建的理由。______。 (4)“雨水荒”村及周边自然环境优美,有村民想在D处修建旅游民宿,满足人们夏季避暑的需求,你认 为可行吗?为什么?______。 【答案】(1) ①. 山脊 ②. 山谷 (2)C处更合理,C处海拔高于所有村庄,水可以自流。 (3) ①. 0.95-1 ②. 降低坡度行车更安全,道路沿等高线延伸,使里程变长:连接各居民点,方便居民出行 (4)可行。D处海拔范围在 1000-1100米之间,海拔较高,气温相对较低,可满足避暑的需求;临近公路, 交通便利;等高线稀疏,坡度较缓,适合建造民宿。##不可行。修建民宿会破坏当地生态环境。 【解析】 【分析】本题以宜昌某地等高线示意图为材料,涉及等高线地形图的判读、地图的三要素等知识点,考查 学生的读图能力和理解能力。 【小问1详解】 由图可知,①处等高线向海拔变低的方向弯曲,为山脊。②等高线向海拔变高的方向弯曲,为山谷。 【小问2详解】 要配套修建供给全村生产生活用水的蓄水池,需要修建在河流的上游,海拔高于村落,这样蓄水池里的水 可以自流,给全村供水,节约修建成本,顾故选择C点。 【小问3详解】 由图可知,MN的图上距离大概是1.9-2厘米,该图的比例尺为1:50000,图上1厘米等于实地距离0.5千米, 故MN的实地距离大概是0.95-1千米。当地地形崎岖,公路修建得弯弯曲曲,大致与等高线平行,是为了 减缓坡度,确保安全,同时尽量连接各个居民点,方便居民出行。 【小问4详解】 在D处修建旅游民宿,满足人们夏季避暑的需求具有两面性。该方案可行的原因是D处海拔较高,大约在 1000米左右,气温相对较低,适合避暑;该地区等高线稀疏,坡度较缓,靠近公路,交通便利。该方案不 可行的原因是修建民宿会破坏当地的生态平衡,大量的游客破坏自然环境。 22. 读“巴西地形略图”“亚马孙平原、巴西高原气温年变化曲线和逐月降水量图”,完成下列问题。(1)巴西的地形特征为______。 (2)亚马孙河流域分布着世界上面积最大的______,由于人们的砍伐,这里的森林面积不断缩小,引起 了国际社会的广泛关注。请从环境保护和经济发展的角度谈谈你的观点。______。 (3)亚马孙河是世界上流量最大的河流,请分析其形成原因。______ 。 (4)1960年巴西首都由里约热内卢迁往巴西利亚,巴西政府迁都的原因是______。 【答案】(1)以平原和高原为主 (2) ①. 热带雨林 ②. 加强对热带雨林的保护;禁止乱砍滥伐;要科学的、有计划的合理开采, 同时可采用砍后补种等措施,修复被破坏的热带雨林。 (3)气候:地处热带雨林气候区,全年降水丰沛;地形:地处亚马孙平原,南北西三侧均为高山高原, 流域面积广大 (4)加快内地开发建设;气候相对温和 【解析】 【分析】本题以巴西为材料,涉及到巴西的地形特征、亚马孙河流域的气候、热带雨林的开发与保护、巴 西迁都的原因等相关知识点,考查学生对巴西这一知识点的理解与掌握程度。 【小问1详解】 由巴西地形图可以看出,巴西的地形以平原和高原为主,分布着世界上面积最大的亚马孙平原和巴西高原。 【小问2详解】 图中①代表的河流名称为亚马孙河,该河流域分布着世界上面积最大的植被即热带雨林,这里动植物种类 繁多,有“地球之肺”之称。但由于人们的砍伐,森林资源受到严重破坏,热带雨林具有强大的环境调节 作用,要加强对热带雨林的保护、禁止乱砍滥伐;要科学、合理、有序地开采;为满足经济发展的需要, 适当开采,但开采完后要及时补种。 【小问3详解】 亚马孙河是世界上水量最大的河流,主要是由于该河流域热带雨林气候区,终年高温多雨;加上北、西、 南面高,东面低,三面的水汇集于中部,支流多、流域面积广。 【小问4详解】 1960年巴西政府将首都由里约热内卢迁到④巴西利亚,主要原因是为了加快内地的开发建设。加上巴西 高原地处高原,气候凉爽、还未进行开发,环境质量好。23. 读“武汉市月平均气温和月降水量简表”和“中国径流带分布图”,结合所学知识,完成下列问题。 武汉市月平均气温和月降水量简表(数据来源:中国天气网) 月份 1 2 3 4 5 6 7 8 9 10 11 12 气温(℃) 3.7 5.8 10.1 16.8 21.9 25.6 28.7 28.2 23.4 17.7 11.4 6.0 . 降水量(毫 48.4 58.7 950 131.1 164.2 225.0 190.3 111.7 79.7 92.0 51.8 26.0 米) (1)请运用表格数据在右图中补全“武汉市气温年变化曲线和逐月降水量图” ______。根据图表信息可 判断,武汉市的气候类型是______,其气候特征是______。 (2)我国降水量的地区差异大,年降水量从______向______递减。 (3)我国水资源地区分布不均,具有______的特点,南水北调工程就是为了解决我国______、华北地区 的缺水问题。 (4)有人认为武汉市不缺水,而有人认为武汉市缺水,你同意哪种说法,请说明理由______。 【答案】(1) ①. ②. 亚热带季风气候 ③. 夏季炎热多雨, 冬季温和少雨。 (2) ①. 东南##东南沿海 ②. 西北##西北内陆 (3) ①. 南多北少,东多西少; ②. 西北 (4)不缺水,武汉地处亚热带季风气候区,降水丰富;地处多水带(湿润地区);紧邻长江,河湖提供 丰富水源##缺水,地处亚热带季风气候区,冬春季节降水少,降水季节变化大,导致季节性缺水;武汉市 人口稠密,工农业发达,需水量大;水资源的浪费和污染造成水源不足 【解析】【分析】本大题以“武汉市月平均气温和月降水量简表”和“中国径流带分布图”为材料,涉及气候类型 的判断,降水柱状图的绘制、降水的分布规律、解决水资源的措施等相关内容,考查学生掌握课本知识的 能力和区域认知的地理素养。 【小问1详解】 根据表格数据,绘制出气温曲线图和降水柱状图。由图可知,武汉市夏季高温多雨,冬季温和少雨,雨热 同期,属于亚热带季风气候。 【小问2详解】 我国降水量的地区差异大,受海陆位置的影响,我国年降水量从东南沿海向西北内陆递减。 【小问3详解】 我国水资源地区分布不均,具有南多北少,东多西少的特点,南水北调工程就是为了解决我国西北、华北 地区的缺水问题,该工程是把长江流域的水资源调到西北地区和华北地区。 【小问4详解】 本道题属于开放性的题目,要先表明观点再回到理由。我认为武汉缺水,其原因是:武汉虽然地处亚热带 季风气候区,但是降水季节分配不均,冬春季节降水少,降水季节变化大,导致季节性缺水;武汉市工农 业发达,人口和城市密集,需水量大;还有水资源的浪费造成资源性缺水,工业发达,排放的水污染造成 水质性缺水,从而导致水源不足。我认为武汉不缺水。原因是:武汉地处南方地区,属于亚热带季风气候 区,降水丰富;地处多水带(湿润地区)河湖众多;紧邻长江和汉江,都是大江大河,河湖提供丰富的水 源 24. 台湾自古以来就是中国的神圣领土,新疆维吾尔自治区是我国陆地面积最大的省级行政区。读图,并 结合所学知识,完成有关台湾省(以下简称台湾)和新疆维吾尔自治区(以下简称新疆)的问题。(1)写出地理事物的名称。A______海峡,B______沙漠。 (2)分别写出台湾和新疆在中国的位置。台湾______,新疆______。 (3)台湾、新疆地形差异较大,台湾岛地形以______为主,新疆地形以山地和______为主。 (4)台湾、新疆气候差异显著,台湾岛气候类型是______和______季风气候,而新疆气候明显具有 ______的特征。在地理位置、地形、气候等的影响下,台湾岛河流数量______、长度______。新疆绝大部 分河流为______ (内流河、外流河),河流补给水源主要是______和山地降水。 (5)请列举出两地著名农产品(各写一种)台湾______,新疆______。 【答案】(1) ①. 台湾 ②. 塔克拉玛干 (2) ①. 位于我国东南沿海 ②. 位于我国西北边陲 (3) ①. 山地 ②. 盆地 (4) ①. 热带 ②. 亚热带 ③. 干旱 ④. 多##大 ⑤. 短##小 ⑥. 内流河 ⑦. 高 山冰雪融水 (5) ①. 水稻##香蕉##菠萝##甘蔗##茶叶 ②. 长绒棉##葡萄##哈密瓜##杏##桃##梨##巴旦木##苹 果 【解析】 【分析】本题以新疆地形图和台湾地形图为材料,涉及新疆和台湾的地理位置、气候、河流和地形特征、 农业特征等知识点,考查学生的理解能力。 【小问1详解】 台湾东临太平洋,西隔A台湾海峡和福建省相望。新疆南部是我国最大的盆地塔里木盆地,里面有中国最 大的沙漠塔克拉玛干沙漠。 【小问2详解】 由图可知,台湾位于我国的东南沿海地区,新疆位于我国西北内陆地区。 【小问3详解】 由图可知,台湾地形以山地为主,主要分布在东部和中部。新疆地形以山地和盆地为主,形成“三山夹两 盆”的格局。 【小问4详解】台湾位于我国东部沿海,属于热带季风气候和亚热带季风气候,新疆深居内陆,以温带大陆性气候为主, 气候干旱。台湾岛的河流数量多,但长度短,河流湍急水量大,水能资源丰富。新疆大部分河流是内流河, 河流补给水源主要是高山冰雪融水和山地降水。 【小问5详解】 台湾气候湿热,主要农产品有水稻、甘蔗、橡胶、菠萝等热带经济作物,新疆位于我国西北地区,盛产长 绒棉,瓜果等,如哈密瓜、葡萄、香梨等。