当前位置:首页>文档>精品解析:2022年辽宁省沈阳市中考化学真题(原卷版)_中考真题_5.化学中考真题2015-2024年_2022年中考化学真题(127份)14

精品解析:2022年辽宁省沈阳市中考化学真题(原卷版)_中考真题_5.化学中考真题2015-2024年_2022年中考化学真题(127份)14

  • 2026-04-06 16:56:01 2026-02-09 12:32:57

文档预览

精品解析:2022年辽宁省沈阳市中考化学真题(原卷版)_中考真题_5.化学中考真题2015-2024年_2022年中考化学真题(127份)14
精品解析:2022年辽宁省沈阳市中考化学真题(原卷版)_中考真题_5.化学中考真题2015-2024年_2022年中考化学真题(127份)14
精品解析:2022年辽宁省沈阳市中考化学真题(原卷版)_中考真题_5.化学中考真题2015-2024年_2022年中考化学真题(127份)14
精品解析:2022年辽宁省沈阳市中考化学真题(原卷版)_中考真题_5.化学中考真题2015-2024年_2022年中考化学真题(127份)14
精品解析:2022年辽宁省沈阳市中考化学真题(原卷版)_中考真题_5.化学中考真题2015-2024年_2022年中考化学真题(127份)14
精品解析:2022年辽宁省沈阳市中考化学真题(原卷版)_中考真题_5.化学中考真题2015-2024年_2022年中考化学真题(127份)14
精品解析:2022年辽宁省沈阳市中考化学真题(原卷版)_中考真题_5.化学中考真题2015-2024年_2022年中考化学真题(127份)14
精品解析:2022年辽宁省沈阳市中考化学真题(原卷版)_中考真题_5.化学中考真题2015-2024年_2022年中考化学真题(127份)14
精品解析:2022年辽宁省沈阳市中考化学真题(原卷版)_中考真题_5.化学中考真题2015-2024年_2022年中考化学真题(127份)14
精品解析:2022年辽宁省沈阳市中考化学真题(原卷版)_中考真题_5.化学中考真题2015-2024年_2022年中考化学真题(127份)14
精品解析:2022年辽宁省沈阳市中考化学真题(原卷版)_中考真题_5.化学中考真题2015-2024年_2022年中考化学真题(127份)14
精品解析:2022年辽宁省沈阳市中考化学真题(原卷版)_中考真题_5.化学中考真题2015-2024年_2022年中考化学真题(127份)14
精品解析:2022年辽宁省沈阳市中考化学真题(原卷版)_中考真题_5.化学中考真题2015-2024年_2022年中考化学真题(127份)14

文档信息

文档格式
docx
文档大小
0.642 MB
文档页数
9 页
上传时间
2026-02-09 12:32:57

文档内容

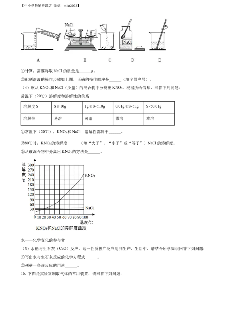
【中小学教辅资源店 微信:mlxt2022】 沈阳市 2022 年初中学业水平考试 化学试题 第一部分 选择题(共15分) (本部分包括13道小题,1~11小题每题1分,12、13小题每题2分,共15分。每小题只有 一个最符合题目要求的选项。) 1. 下列变化属于化学变化的是 A. 酒精挥发 B. 石蜡熔化 C. 食物腐败 D. 镁带弯折 2. 化学元素与人体健康密切相关。为了预防骨质疏松应适当摄入的元素是 A. 硒 B. 碘 C. 锰 D. 钙 3. 下列实验操作正确的是 A. 蒸发溶液 B. 加热液体 C. 滴加液体 D. CO 验满 2 4. 适当补充蛋白质有助于提高人体免疫力。下列食物中富含蛋白质的是 A. 米饭 B. 黄瓜 C. 牛肉 D. 苹果 5. 化学肥料对促进农作物增产,解决粮食问题起了重要作用。下列物质能用作钾肥的是 . A NH HCO B. KSO C. CaSO D. NaPO 4 3 2 4 4 3 4 6. 下列符号表示氯离子的是 A. Cl B. Cl- C. 2Cl D. Cl 2 7. 垃圾分类回收可以减少污染,节约资源。下列为“物品回收标志”的是【中小学教辅资源店 微信:mlxt2022】 A. B. C. D. 8. 强化安全意识,提升安全素养。下列做法不正确的是 A. 熄灭酒精灯——用嘴吹灭 B. 加油站、面粉厂——杜绝一切火种 C. 油锅着火——用锅盖盖灭 D. 火灾中逃生——用湿毛巾捂住口鼻 9. 下列物质属于纯净物的是 A. 不锈钢 B. 汽水 C. 氧化镁 D. 煤炭 10. 为了防止钢铁制品锈蚀,下列做法不正确的是 A. 用洗涤剂除去铁制品表面的油膜 B. 在车船的表面喷涂油漆 C. 在铁制品表面镀上一层其他金属 D. 将使用后的菜刀用布擦干 的 11. 下列为测得 某些物质的pH,其中呈碱性的是 A. 柠檬汁(pH=2.5) B. 雨水(pH=5.8) C. 肥皂水(pH=10.2) D. 食醋(pH=3.5) 12. 液化石油气的主要成分是丙烷(C H),下列关于丙烷的说法不正确的是 3 8 A. 丙烷属于有机化合物 B. 丙烷由两种元素组成 C. 丙烷的相对分子质量为44 D. 丙烷中碳、氢元素的质量比为3:8 13. 下列实验方法能达到预期目的的是 选项 实验目的 实验方法 A 检验土豆中含有淀粉 滴加碘酒 B 除去粗盐中的泥沙 溶解、蒸发 C 鉴别小苏打和面粉 观察颜色 D 检验羊毛中含有蛋白质 闻气味 A. A B. B C. C D. D 第二部分 非选择题(共50分) (本部分包括6道小题,除19题(2)和(5)每空2分,其余每空1分,共50分。) 14. 化学促进科技发展,推动社会进步 。【中小学教辅资源店 微信:mlxt2022】 (1)中国提出在2030年前实现碳达峰,2060年前实现碳中和,彰显了大国责任与担当。 ①如图是碳元素在元素周期表中的部分信息。碳元素的质子数是______,属于______(填“金属”或“非 金属”)元素。 ②减少CO 排放,可以减缓______效应。 2 ③自然界中消耗CO 的主要途径是______。 2 ④为实现碳达峰、碳中和的目标,请写出你的做法______(一条即可)。 (2)2022年6月5日神舟十四号载人飞船成功发射,沈阳航天新光集团有限公司承制生产的连接分离机 构再次为发射任务保驾护航。 ①载人飞船的制造使用了大量合金,合金的硬度一般比各成分金属______。 ②航天员穿着的航天服使用了多种合成纤维,合成纤维属于______(填字母序号)。 A.无机材料 B.合成材料 C.复合材料 15. 水是人类宝贵的自然资源。 水——生命的源泉 (1)如图为自制简易污水净化装置,该装置中活性炭主要起到______作用。 (2)长期饮用硬水对人体健康不利,生活中常用______方法降低水的硬度。 水——重要的溶剂 (3)生理盐水是溶质质量分数为0.9%的NaCl溶液。现需配制500g生理盐水,请回答下列问题:【中小学教辅资源店 微信:mlxt2022】 ①计算:需要称取NaCl的质量是______g。 ②配制溶液的操作步骤如上图,正确的操作顺序是______(填字母序号)。 (4)欲从KNO 和NaCl(少量)的混合物中分离出KNO。根据所给信息,回答下列问题: 3 3 常温下(20℃)溶解度和溶解性的关系 溶解度S S≥10g 1g≤S<10g 0.01g≤S<1g S<0.01g 溶解性 易溶 可溶 微溶 难溶 的 ①常温下(20℃),KNO 和NaCl 溶解性都属于______。 3 ②80℃时,KNO 的溶解度______(填“大于”、“小于”或“等于”)NaCl的溶解度。 3 ③从该混合物中分离出KNO 的方法是______。 3 水——化学变化的参与者 (5)水能与生石灰(CaO)反应,这一性质被广泛应用到生产、生活中、请结合所学知识回答下列问题: ①写出水与生石灰反应的化学方程式______。 ②列举一条该反应的用途______。 16. 下图是实验室制取气体的常用装置,请回答下列问题:【中小学教辅资源店 微信:mlxt2022】 (1)写出标号仪器的名称:①______,②______。 (2)实验室用高锰酸钾制取氧气,写出该反应的化学方程式:______,可选用的发生装置是______(填 字母序号)。用F装置收集氧气,停止实验时,应先______,再熄灭酒精灯。 (3)实验室用锌粒和稀硫酸制取氢气,可选用C装置作为发生装置,该装置的优点是______,锌粒应该 放在______。 (4)通常情况下,甲烷是一种无色、无味的气体,密度比空气小,难溶于水。实验室制取甲烷可选用的 收集装置是______(填字母序号,写一种即可)。 17. 化学是一门以实验为基础的自然科学 (一)实验帮助我们研究物质的组成 如图是测定空气中氧气体积分数的实验装置,请回答下列问题: (1)红磷在空气中燃烧的现象是______,发生反应的化学方程式为:______。 (2)实验结论:氧气约占空气总体积的______。 (二)实验帮助我们研究物质的性质 (3)图1实验中,食用油溶解于______中,该实验表明影响物质溶解性的因素是______。 (4)图2试管B中发生反应的化学方程式为:______。【中小学教辅资源店 微信:mlxt2022】 (5)为了探究Zn、Fe、Cu的金属活动性顺序,图2试管C中需要补全的一组试剂是______。 (三)实验帮助我们研究物质的制法 实验室模拟炼铁原理的装置如下图所示,请回答下列问题: (6)写出A装置玻璃管中发生反应的化学方程式:______,该反应前后碳元素化合价发生的变化是 ______。 (7)B装置中的现象是______。 (8)实验中需要进行尾气处理的原因是______。 18. 从宏观、微观、符号相结合的视角探究物质及其变化规律是化学独特的研究方法。根据所给信息,回 答下列问题: 宏观辨识 (1)通过科学探究可以认识化学反应中各物质质量之间的关系,如图实验中,将NaOH溶液滴入锥形瓶 中,反应结束用,再次称量,观家到托盘天平的指针______(填“向左”“向右”或“不”)偏转。 微观探析 (2)下图是氢气在空气中燃烧的微观示意图,该反应的基本反应类型为______反应。从微观角度分析, 过程I表示分子分解成______的过程。【中小学教辅资源店 微信:mlxt2022】 符号表征 (3)氢化镁(MgH )是一种很有发展前景的贮氢材料,能与水反应生成氢氧化镁和一种常见的气体,反 2 应的化学方程式为: ______↑。请补全该反应的化学方程式并写出补全依据。 依据一:化学反应前后原子的种类和______不变。 依据二:______。 19. 在化学实验中,经常需要对药品用量进行估算。既能确保实验成功,又能养成节约和环保的习惯。某 化学兴趣小组为了体验估算方法,进行了如下实验: 【实验目的】对选定实验中所需药品用量进行估算并验证估算用量足够。 (1)【实验活动一】估算稀盐酸用量 ①写出碳酸钙与稀盐酸反应的化学方程式:______。 ②取2g石灰石样品进行实验(样品中除碳酸钙外,其余成分既不与盐酸反应,也不溶解于水),请估算, 至少需要溶质质量分数为7.3%的稀盐酸______g。 (2)【实验活动二】验证估算的稀盐酸用量足够 方案一: 实验过程如下图所示: ①将石灰石研细的目的是______。 ②若图中试剂X为紫色石蕊试液,观察到的现象是______,说明估算的稀盐酸用量足够。 ③为达到与②相同的实验目的,试剂X还可以选择下列试剂中的______(填字母序号)。 A FeCl 溶液 B Na CO 溶液 C AgNO 溶液 D CuO 3 2 3 3 方案二: ④只用以下两种规定用量的药品:2g石灰石样品和估算用量的稀盐酸,设计实验进行验证,请简述实验方【中小学教辅资源店 微信:mlxt2022】 案。(实验仪器任选) 实验操作 实验现象 实验结论 ______ ______ 估算 的稀盐酸用量足够 【拓展延伸】药品用量的估算方法及估算结果受很多因素的影响,实验中需要结合具体的情况合理运用。【中小学教辅资源店 微信:mlxt2022】