当前位置:首页>文档>高三化学答案_2024届辽宁省葫芦岛市高三上学期期末学业质量监测_辽宁省葫芦岛市2024届高三上学期期末学业质量监测化学

高三化学答案_2024届辽宁省葫芦岛市高三上学期期末学业质量监测_辽宁省葫芦岛市2024届高三上学期期末学业质量监测化学

  • 2026-04-22 15:39:50 2026-02-10 01:27:54

文档预览

高三化学答案_2024届辽宁省葫芦岛市高三上学期期末学业质量监测_辽宁省葫芦岛市2024届高三上学期期末学业质量监测化学
高三化学答案_2024届辽宁省葫芦岛市高三上学期期末学业质量监测_辽宁省葫芦岛市2024届高三上学期期末学业质量监测化学
高三化学答案_2024届辽宁省葫芦岛市高三上学期期末学业质量监测_辽宁省葫芦岛市2024届高三上学期期末学业质量监测化学
高三化学答案_2024届辽宁省葫芦岛市高三上学期期末学业质量监测_辽宁省葫芦岛市2024届高三上学期期末学业质量监测化学

文档信息

文档格式
docx
文档大小
0.071 MB
文档页数
2 页
上传时间
2026-02-10 01:27:54

文档内容

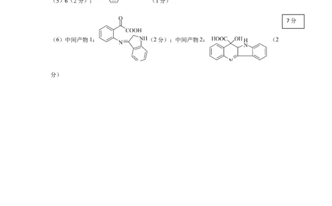
葫芦岛市普通高中2023~2024学年第一学期学业质量监测考试 高三化学参考答案及评分标准 一、选择题(每小题3分,共45分) 1.C 2.B 3.A 4.C 5.A 6.C 7.A 8.D 9.A 10.B 11.D 12.C 13.B 14.D 15.B 二、非选择题(共55分) 16.(14分)(1)ZnS+MnO +4H+ =Zn2+ + Mn2+ + S + 2HO (2分) 2 2 8分 (2)SiO (1分)、 S(1分);D(2分) 2 (3)3d104s2 (2分) (4) 7.5 (2分)。 Mn2+ 沉淀导致 Mn2+ 产率降低;收集的Zn(OH) 不纯;含Mn2+溶液 2 中混有[Zn(NH )]2+(2分) 3 4 6分 (5)过滤、洗涤、蒸发浓缩、冷却结晶(2分,每对1个0.5分,顺序错误0分) 17.(14分) (1)①深蓝色溶液中含[Cu(NH )]2+,是无色溶液中的[Cu(NH )]+被O 氧化的产物,说明 3 4 3 2 2 浓氨水溶解出了白色沉淀中的Cu+(2分) ② (2分) 8分 (2)加入足量盐酸,滴加BaCl 溶液,出现白色沉淀(2分) 2 (3)Cu>SO>CuCl(2分) 2 (4)棕色溶液滴入蒸馏水后离子浓度减小,使 的Q>K c 反应逆向移动,析出CuCl沉淀(2分) 6分 (5) (2分) (6)Cl-与Cu+结合成[CuCl ]2-,提高Cu还原性,使Cu能够被SO 氧化(2分) 3 2 18.(14分) (1) -115.1 ( 2分) 6分 (2) ① 增大压强(或压缩体积) (2分) ;② BC (2分) (3) ① 甲 (1分);ac (2分) ② 温度升高,催化剂甲的活性降低 (催化剂失活、活性减弱) (2分) 8分 (4) 0.2mol (1分);6(2分) 学科网(北京)股份有限公司19.(13分)(1)甲苯(1分) (2)ac(1分) (3) (2分) 6分 (4) (2分) (5)6(2分); (1分) 7分 (6)中间产物1: (2分);中间产物2: (2 分) 学科网(北京)股份有限公司