当前位置:首页>文档>25届4月江西高三联考·数学答案_2025年5月_05022025届江西省上进联考高三年级4月联考检测(全科)_4月江西高三答案

25届4月江西高三联考·数学答案_2025年5月_05022025届江西省上进联考高三年级4月联考检测(全科)_4月江西高三答案

  • 2026-04-09 06:55:00 2026-02-10 21:17:04

文档预览

25届4月江西高三联考·数学答案_2025年5月_05022025届江西省上进联考高三年级4月联考检测(全科)_4月江西高三答案
25届4月江西高三联考·数学答案_2025年5月_05022025届江西省上进联考高三年级4月联考检测(全科)_4月江西高三答案
25届4月江西高三联考·数学答案_2025年5月_05022025届江西省上进联考高三年级4月联考检测(全科)_4月江西高三答案
25届4月江西高三联考·数学答案_2025年5月_05022025届江西省上进联考高三年级4月联考检测(全科)_4月江西高三答案
25届4月江西高三联考·数学答案_2025年5月_05022025届江西省上进联考高三年级4月联考检测(全科)_4月江西高三答案
25届4月江西高三联考·数学答案_2025年5月_05022025届江西省上进联考高三年级4月联考检测(全科)_4月江西高三答案
25届4月江西高三联考·数学答案_2025年5月_05022025届江西省上进联考高三年级4月联考检测(全科)_4月江西高三答案
25届4月江西高三联考·数学答案_2025年5月_05022025届江西省上进联考高三年级4月联考检测(全科)_4月江西高三答案
25届4月江西高三联考·数学答案_2025年5月_05022025届江西省上进联考高三年级4月联考检测(全科)_4月江西高三答案
25届4月江西高三联考·数学答案_2025年5月_05022025届江西省上进联考高三年级4月联考检测(全科)_4月江西高三答案
25届4月江西高三联考·数学答案_2025年5月_05022025届江西省上进联考高三年级4月联考检测(全科)_4月江西高三答案
25届4月江西高三联考·数学答案_2025年5月_05022025届江西省上进联考高三年级4月联考检测(全科)_4月江西高三答案
25届4月江西高三联考·数学答案_2025年5月_05022025届江西省上进联考高三年级4月联考检测(全科)_4月江西高三答案

文档信息

文档格式
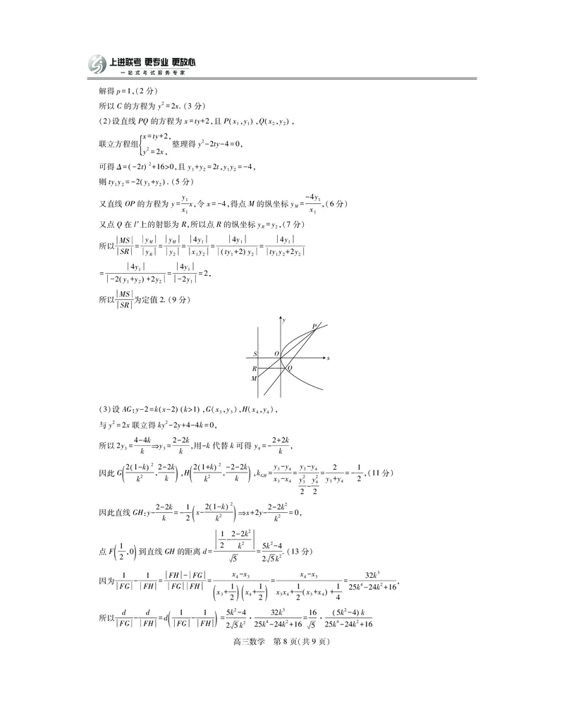
pdf
文档大小
1.318 MB
文档页数
9 页
上传时间
2026-02-10 21:17:04

文档内容

2025()*+!",- 4./012 !"#$%&’()*+,- 1.【34】B z-i1-2i(1-2i)i z-i 【56】78z=1-i,9: = = =-2-i,9: = -2-i=槡4+1=槡5.;<B. i i i2 i 2.【34】A → → 【56】78=>AB?@AC,9:AB∥BC,9:4(2t-1)-4t=0,5Bt=1.;<A. 3.【34】C 3 【56】78 ∈ZCx∈Z,9:2x-1=1D2x-1=-1D2x-1=3D2x-1=-3,5B x=1D x=0D x=2D 2x-1 x=-1,9:A={-1,0,1,2},Elogx<2,B0<x<22=4,9:B={x|0<x<4},9:A∩B={1,2}.;<C. 2 4.【34】D 【56】FGHIBy= x-aJKL[2026,+!)MNOPQ,9:a≤2026.;<D. 5.【34】A x2 y2 【56】RSTC: + =1UVAJyW,X0<m<6-m,5B0<m<3.;<A. m 6-m 6.【34】B [ π ] ( π ) ( π) ( π π) 【56】YZ S(n2)8[\#,9: sinα+ -π·S(n2)=sinα+ -π =-sinα+ =-sin +α- = 6 6 6 2 3 ( π) 3 -cosα- =- .;<B. 3 5 7.【34】C 【56】78]^ABC⊥]^PAC,]^ABC∩]^PAC=AC,AB⊥AC,9:AB⊥]^PAC,78PC]^PAC, BC 9:AB⊥PC,_PC⊥PA,9:PC⊥]^PAB,9:∠CPB=90°,; BC8‘ OU=a,;‘ OUba R= = 2 槡AC2+AB2 4πR3 1000槡2π =5槡2,9:‘OUcd8V= = .;<C. 2 3 3 # " ! $ 8.【34】D 【56】ef(x)=0,Bxeax+a(1-e)x-(e-1)lnx-1=0,f eax+lnx+(1-e)(lnx+ax) -1=0,e ax+lnx=t,X et+ (1-e)t-1=0,e h(x)=ex+(1-e) x-1,X h′(x)=ex+1-e.e h′(x)>0x>ln(e-1) h(x)JKL (ln(e-1),+!)MNOPQ;eh′(x)<0x<ln(e-1) h(x)JKL(-!,ln(e-1)) MNOPg,_ 0<ln(e-1) < 1,h(0) =h(1) =0,Xh(x)=0hCihjkF,lm80,1.na≥0o,p#f(x)qh2krAstuy=ax+lnxU !"#$ % 1&(’9&) 书书书1 vwx=>y=0yy=1’h2kzA.ep(x)=lnx+ax,Xp′(x)= +a,p′(x)>0,Xp(x)JKL(0,+!)MN x OPQ,_x→0,p(x)→-!,x→+!,p(x)→+!,fp(x)∈R,Xy=ax+lnxUvwx=> y=0y y=1{h1k zA,|}HI.na<0o,p#f(x)qh2krA,stup#y=lnxUvwx=>y=-ax,y=1-axUvw’ h2kzA,~(cid:127)(cid:128)(cid:129)8j(cid:130)=>lmx y=lnxUvw(cid:131)(cid:132).(cid:133)v1,n y=-axx y=lnx(cid:131)(cid:132),(cid:134)(cid:135)(cid:136)(cid:132)A8 {lnx-1=0, 3 1 1 1 (x 3 ,y 3 ),78(lnx)′= x ,y 3 =lnx 3 ,X(cid:131)(cid:136)(cid:132)>(cid:137)(cid:138)8 y= x (x-x 3 ) +lnx 3 = x x+lnx 3 -1=-ax 1 =-a  3 3 x 3 1 1 1 a=- ;(cid:133)v2,ny=1-axxy=lnx(cid:131)(cid:132),(cid:134)(cid:135)(cid:136)(cid:132)A8(x,y),X(cid:131)(cid:136)(cid:132)>(cid:137)(cid:138)8 y= (x-x) +lnx= x+ e 4 4 x 4 4 x 4 4 {lnx-1=1, 4 1 ( 1 1) ( 1 1) lnx 4 -1=1-ax 1 =-a a=- e2 ,Xa∈ - e ,- e2 .(cid:139)M a∈ - e ,- e2 ∪[0,+!).;<D. x 4 ! !’#$%& ! !’#$%& !"$%& !"$%& !"!"# & & ( ( !"!"# v1 v2 9.【34】ACD((cid:140)<(cid:135)1kB2l) 【56】E10×(0.010×2+0.015+a+0.035) =1,Ba=0.030,;A[(cid:141);E(cid:142)(cid:143)l(cid:144)=(cid:137)vZ,(cid:140)(cid:145)U(cid:142)(cid:143)(cid:146)(cid:147)8 0.10,0.15,0.35,0.30,0.10,;(cid:148) 100k(cid:149)(cid:150)(cid:151)aU](cid:152)# x珋=55×0.10+65×0.15+75×0.35+85×0.30+95× 0.10=76.5,;B(cid:153)(cid:154);(cid:155)"(cid:145)U(cid:142)(cid:143)y80.10+0.15+0.35=0.6,7(cid:156)(cid:148)100k(cid:149)(cid:150)(cid:151)aU%60(cid:157)l(cid:158)#8 80,;C[(cid:141);(cid:151)a(cid:159)(cid:160)u80mmU(cid:142)(cid:143)80.30+0.10=0.40,;(cid:148)100k(cid:149)(cid:150)¡(cid:151)a(cid:159)(cid:160)u80mmUk#8 100×0.40=40,;D[(cid:141).;<ACD. 10.【34】AC((cid:140)<(cid:135)1kB3l) ( 3π 5π) 【56】¢£ CUvw,Ev⁄Z A[(cid:141),B(cid:153)(cid:154);=> x=a- ≤a≤ ¥ CƒU§¤8 cosa-sina= 4 4 ( π) 3π π 槡2cosa+ ≤槡2,;C[(cid:141);n- ≤x≤ o,(cid:133)v,4k'“«l^d(cid:131)s,K‹②U^d(cid:160)uK‹①U 4 4 4 [ 3π π] π ^d,K‹③U^d(cid:160)uK‹④U^d.›fifl(cid:176)–Z†>CJ - , M‡·Uv(cid:181)U^d(cid:160)u: 8¶、 4 4 2 28!U•(cid:181)ABCDU^dπ,f†>C‡·Uv(cid:181)U^d(cid:160)u2π,;D(cid:153)(cid:154).;<AC. " %% $ ! " (! # # "! ! ! ! ! ! ! ! # $ # ’ # $ & ’ !& !"#$ % 2&(’9&)11.【34】BCD((cid:140)<(cid:135)1kB2l) 1 【56】E2S-1=S (n≥2),BS=1-(S-S )(n≥2),fS=1-a(n≥2),_ a=S= ‚„”M»,9: n n-1 n n n-1 n n 1 1 2 1 S=1-a(n∈N),nn≥2o,ES+a=1,BS +a =1,;a+a-a =0,fa= a ,9:#…{a}8s n n n n n-1 n-1 n n n-1 n 2 n-1 n 1 1 1 1 1 ‰#…,(cid:190)¿a= ,(cid:192)‰ q= ,; a= ,; S=1-a=1- ,; A(cid:153)(cid:154);E T(1)=S=1- ,T(2)= 1 2 2 n 2n n n 2n n n 2n n n 1 ( 1)2 ( 1) n ( 1) n n 1 ∑T(1)=T(1)+T(1)+…+T(1)=1- +1- +…+1- =n-1+ ,T(3)=∑T(2)=0+ +1+ i=1 i 1 2 n 2 2 2 2 n i=1 i 2 ( 1)2 ( 1) n (0+n-1)n 1 n2-n+2 1 +…+n-1+ = +1- = - ,9:2n·T(3)=2n-1(n2-n+2)-1,; B[(cid:141);n m=1 2 2 2 2n 2 2n n n2-n A2 A2 Ak+1 o,T(3)-T(1)= = n > n ,`(cid:134)n m=ko,T(k+2)-T(k)= n+k-1 =Ck+1 ·´,n m=k+1o,E n n 2 2! 3! n n (k+1)! n+k-1 T(k)=T(k-1)+T(k-1)+…+T (k-1)+T(k-1)=T (k)+T(k-1),⁄B T(k+3)-T(k+1)=T (k+3)+ n 1 2 n-1 n n-1 n n n n-1 T(k+2)-[T (k+1)+T(k)]=T (k+3)-T (k+1)+T(k+2)-T(k)=T (k+3)-T (k+1)+Ck+1 ,X n n-1 n n-1 n-1 n n n-1 n-1 n+k-1 T (k+3)-T (k+1)=T (k+3)-T (k+1)+Ck+1 ,T (k+3)-T (k+1)=T (k+3)-T (k+1)+Ck+1 ,…, n-1 n-1 n-2 n-2 n+k-2 n-2 n-2 n-3 n-3 n+k-3 T(k+3)-T(k+1)=T(k+3)-T(k+1)+Ck+1,T(k+3)-T(k+1)=T(k+3)-T(k+1)+Ck+1,ˆM»(cid:131)˜⁄B 3 3 2 2 k+2 2 2 1 1 k+1 T(k+3)-T(k+1)=T(k+3)-T(k+1)+Ck+1+Ck+1+…+Ck+1 +Ck+1 ,_ T(k)=T(k-1)=T(1),X T(k+3)- n n 1 1 k+1 k+2 n+k-2 n+k-1 1 1 1 1 T(k+1)=0,;T(k+3)-T(k+1)=Ck+1+Ck+1+…+Ck+1 +Ck+1 =Ck+2+Ck+1+…+Ck+1 +Ck+1 =Ck+2+Ck+1+…+ 1 n n k+1 k+2 n+k-2 n+k-1 k+2 k+2 n+k-2 n+k-1 k+3 k+3 Ak+2 A(k+1)+1 Am+1 Am+1 Ck+1 +Ck+1 =Ck+2= n+k = n+(k+1)-1 ,fnm=k+1o‚·´,;T(m+2)-T(m)= n+m-1 > n+m-1 ,9 n+k-2 n+k-1 n+k (k+2)! [(k+1) +1]! n n (m+1)!(m+2)! Am+1 1 :T(m+2)>T(m)+ n+m-1 ,;C[(cid:141);n n=1o,E T(m)=T(1)=S= ,YB T(m+2)+T(m+1)= n n (m+2)! 1 1 1 2 1 1 C0 =1·´,nn≥2o,EC<¿ZT(m+2)-T(m)=Cm+1 =Cn-2 ,XT(m+1)-T(m-1)=Cm =Cn-2 , m+1 n n n+m-1 n+m-1 n n n+m-2 n+m-2 T(m)-T(m-2)=Cm-1 =Cn-2 ,…,T(4)-T(2)=C3 =Cn-2,T(3)-T(1)=C2=Cn-2,M»(cid:131)˜BT(m+2)+ n n n+m-3 n+m-3 n n n+1 n+1 n n n n n ( 1) n ( 1) n T(m+1)=T(2)+T(1)+Cn-2+Cn-2+…+Cn-2 +Cn-2 ,_EMZ,T(2)+T(1)=n-1+ +1- =n,X n n n n n+1 n+m-2 n+m-1 n n 2 2 T(m+2)+T(m+1)=n+Cn-2+Cn-2+…+Cn-2 +Cn-2 =Cn-1+Cn-2+Cn-2+…+Cn-2 +Cn-2 =Cn-1+Cn-2+…+Cn-2 + n n n n+1 n+m-2 n+m-1 n n n+1 n+m-2 n+m-1 n+1 n+1 n+m-2 Cn-2 =Cn-1,;D[(cid:141).;<BCD. n+m-1 n+m 12.【34】(-!,2)(¯·{x|x<2}‚[(cid:141)) 【56】YZf(x)=-2x-x5˘NOPgU\p#,;f(x-1)+f(5-3x)<0f(x-1)<f(3x-5)x-1>3x-5x<2. 13.【34】114 【56】˙0¨(cid:201)、˚J¸(cid:204)k˝˛Uˇ–:˙—"k˝˛¡<(cid:204)k˝˛(cid:209)ˇ(cid:210)(cid:211)(cid:212)(cid:201)、˚,h3(cid:213)l–,R(cid:214)(cid:215) "k(cid:210)(cid:211)(cid:212)l(cid:216)(cid:217)(cid:218)(cid:219)jk˝˛,h C2A2=6(cid:213)l–,R(cid:214)(cid:215)U"k(cid:210)(cid:211)(cid:212)l(cid:216)(cid:217)"k˝˛,h A3=6(cid:213)l–, 3 2 3 ;(cid:201)、˚J¸(cid:204)k˝˛U(cid:159)¸Ul(cid:216)(cid:137)–(cid:213)#83×(6+6)=36,9:(cid:201)、˚(cid:159)J¸(cid:204)k˝˛U(cid:159)¸l(cid:216)(cid:137)–(cid:213) C2C2 #8C3A3+5 3 ·A3-36=114. 5 3 A2 3 2 槡6 14.【34】 2 【56】5–(cid:204):(cid:134)CU(cid:220)VA8F′,(cid:133)v,E(cid:130)(cid:221)ZAF⊥BF.E(cid:135)(cid:222)(cid:223)Z,AF′= BF,(cid:134) AF=m,BF=n, !"#$ % 3&(’9&){m-n=2a, {m=(槡2+1)a, c 槡6 E(cid:130)(cid:221)B 1 5B 9:2c= FF′=槡m2+n2=槡6a,9:CU(cid:224)Æ(cid:143)8 = . m+n=4 槡 mn, n=(槡2-1)a. a 2 2 & # ! $ " $! % → → → → → 5–(cid:226):(cid:134)CU(cid:220)VA8F′,(cid:133)v,EAF·(AF-AB)=0,BAF·BF=0,9:∠AFB=90°,E(cid:135)(cid:222)(cid:223)⁄Zª(cid:228)(cid:181) AFBF′8•(cid:181),9:△AFBx△AFF′U^d(cid:131)s,CA A,B(cid:152)J: FF′8=aUT OM,9:T OUba8 c, {x2 y2 1-1=1, (cid:134)AA(x,y),X a2 b2 /´(cid:229)(cid:230)⁄B b2(c2-y2) -a2y2=a2b2,(cid:231)ŁB b2c2-a2b2=b2y2+a2y2,b4=c2y2,y= 1 1 1 1 1 1 1 1 x2+y2=c2, 1 1 b2 1 ,9:S=S = ×2c·y=b2,78 AF+BF =4槡S,9: AF+BF =4b,f AF+AF′=4b,9: c △AFF′ 2 1 { AF+AF′=4b, ⁄B AF=2b+a,AF′=2b-a,78 FF′8T OU=a,9: AF2+AF′2= FF′2,f AF-AF′=2a, c 槡6 (2b+a)2+(2b-a)2=4c2,(cid:231)ŁB2c2=3a2,9:(cid:224)Æ(cid:143)e= = . a 2 & # " ! $ $! % 15.(1)5:782asinBcos(B-A) =-bsin2A+2asinBcosC, 9:asinBcos(B-A) =-bsinAcosA+asinBcosC, E[§ØŁBabcos(B-A) =-abcosA+abcosC,(2l) 9:cos(B-A) =-cosA+cosC=-cosA-cos(A+B), 9:cos(B-A) +cos(A+B) =2cosAcosB=-cosA.(4l) 1 2π _78△ABC˘Œº"º(cid:181),9:cosA≠0,9:cosB=- ,fB= .(6l) 2 3 (2)(cid:236)(cid:237):E(cid:219)§ØŁB12=a2+c2+ac=(a+c)2-ac=16-ac, 9:ac=4,(8l) _a+c=4, 5Ba=c=2,(11l) 9:△ABC˘s(cid:238)"º(cid:181).(13l) !"#$ % 4&(’9&)【*+,-】 1.%(1)(cid:160)H(cid:239)(cid:240)(cid:237)cosA≠0,æ1l; 2.%(2)(cid:160)H(cid:242)(cid:243)ac=4=(cid:244)ı(cid:246)5£a,cU(cid:247),@(cid:138)ł(cid:151)ø(cid:154)(cid:159)æl. 1 16.(1)(cid:236)(cid:237):J△ABD¡,BD=槡AB2+AD2-2AB·ADcos∠DAB= 槡 1+4-2×1×2× =槡3, 2 9:AB2+BD2=AD2,9:∠CDB=∠DBA=90°. fBD⊥CD.(2l) 78DD⊥]^ABCD,BD]^ABCD, 1 9:BD⊥DD.(3l) 1 _DD∩CD=D,DD,CD]^CDDC, 1 1 1 1 9:BD⊥]^CDDC.(6l) 1 1 (2)5::D8œA,DB,DC,DD 9J=>lm8x,y,zWß´(cid:252)L=º(cid:253)(cid:254)(cid:255)(cid:133)v9!, 1 ) # ! ! ! " ! $ ! # ( ! % & ’ XD(0,0,0),B(槡3,0,0),A(槡3,-1,0),C(0,2,0),D(0,0,2),(7l) 1 ED → A= 1 D → A,BA ( 槡3 ,- 1 ,2 ) , 1 1 2 1 2 2 9:D → A 1 = ( 槡 2 3 ,- 2 1 ,2 ) ,D → B=( 槡3,0,0),C  D → 1 =(0,-2,2),(8l) (cid:134)]^ABDU–"#8n=(x,y,z), 1 { → 槡3 1 n·DA= x- y+2z=0, X 1 2 2 → n·DB=槡3x=0, ( 1) ey=2,Bn=0,2, ,(11l) 2 (cid:134)=>CD x]^ABD9·Uº8θ, 1 1 → -4+1 3槡34 Xsinθ= cos〈CD,n〉= = ,(14l) 1 1 34 槡4+4× 槡 4+ 4 3槡34 f=>CD x]^ABD9·ºU[§(cid:247)8 .(15l) 1 1 34 【*+,-】 1.%(1)(cid:160)HRfi"#–(cid:243)5,$(cid:128)%l,R(cid:239)(cid:240)(cid:237)BD⊥CD&=(cid:244)ß(cid:255)æ2l; 2.%(2)(cid:160)HRfi’(–(cid:243)5,$(cid:128)%l. !"#$ % 5&(’9&)17.5:(1)lm)(cid:201)、˚、*+,}-8.(cid:221)A,B,C, ( 2) ( 1) ( 1) 11 X(cid:201)、˚、*"(cid:212)¡/0h(cid:204)(cid:212)(cid:159)12(cid:176),U3(cid:143)P=1-P(珔AB珔C珔)=1-1- ×1- ×1- = .(4l) 3 2 2 12 (2)E4ZBμU56(cid:247)890,σU56(cid:247)83, 1 P(μ-σ≤Z≤μ+σ) 9:P(Z>93)=P(Z>μ+σ) = - ≈0.15865,(7l) 2 2 &2000×0.15865=317.3≈317, 9:78(cid:148)9:;¡·<=@93lU(cid:212)#8317.(9l) (3)XU9h⁄>?(cid:247)80,800,1600,2400, ( 1)3 1 P(X=0) =C0 = ,(10l) 3 4 64 3 ( 1)2 9 P(X=800) =C1 × = ,(11l) 34 4 64 ( 3)2 1 27 P(X=1600) =C2 × = ,(12l) 3 4 4 64 ( 3)3 27 P(X=2400) =C3 = ,(13l) 3 4 64 9:XUl(cid:144)…8 X 0 800 1600 2400 (14l) 1 9 27 27 P 64 64 64 64 1 9 27 27 EX=0× +800× +1600× +2400× =1800.(15l) 64 64 64 64 【*+,-】 %(2)(cid:160)H@(cid:138)ø(cid:154),@34¯·318æ(cid:204)l. 18.(1)5:f′(x)=aex-e,(1l) na≤0o,f′(x)<0,f(x)NOPg;(2l) na>0o,ef′(x)>0,Bx>1-lna,(cid:156)of(x)NOPQ; ef′(x)<0,Bx<1-lna,(cid:156)of(x)NOPg.(4l) (cid:139)M9A,na≤0o,f(x)JRMNOPg,na>0o,f(x)JKL(-!,1-lna)MNOPg,JKL(1-lna,+!)M NOPQ.(5l) lnx+1 (2)5:(cid:159)s»f(x)≥lnx-ex+1,stuaex-lnx-1≥0,stua≥ , ex 1 -lnx-1 lnx+1 x 5–(cid:204):(cid:134)g(x)= ,Xg′(x)= .(6l) ex ex 1 78h(x)= -lnx-1JKL(0,+!)MNOPg,Ch(1)=0, x 9:nx∈(0,1)o,h(x)>0,fg′(x)>0; nx∈(1,+!)o,h(x)<0,fg′(x)<0, !"#$ % 6&(’9&)9:g(x)JKL(0,1)MNOPQ,JKL(1,+!)MNOPg,(8l) 1 9:g(x) =g(1)= .(10l) max e 1 [ 1 ) 9:a≥ ,faU?(cid:247)B‡8 ,+! .(11l) e e 5–(cid:226):˙(cid:236)(cid:237)jk(cid:159)s»:ex≥exylnx+1≤x, E(1)Z,na=1o,f(x)JKL(-!,1)MNOPg,JKL(1,+!)MNOPQ, 9:f(x)=ex-ex≥f(1)=0,fex≥ex.(7l) 1-x (cid:134)m(x)=lnx-x+1,m′(x)= ,x>0, x Xnx>1o,m′(x)<0,m(x)NOPg, n0<x<1o,m′(x)>0,m(x)NOPQ, ;m(x)≤m(1) =0,;lnx+1≤x,(9l) Eulnx+1≤x,ex≥ex,CC˘nCDnx=1osE·´, lnx+1 x 1 X ≤ = ,(10l) ex ex e 1 9:a≥ , e [ 1 ) faU?(cid:247)B‡8 ,+! .(11l) e 1 (3)(cid:236)(cid:237):E(2)Za= o,x>0,f(x)≥lnx-ex+1, e fex-1≥lnx+1, 9:ex≥ln(x+1) +1,nCDnx=0osE·´,(13l) 2 2 ex= ,n∈N,9:e2n-1>ln(2n+1)-ln(2n-1)+1,(15l) 2n-1 n 2 2 2 2 9:∑e2i-1=e2+e3+e5+…+e2n-1>[(ln3-ln1) +(ln5-ln3) +…+ln(2n+1)-ln(2n-1)] +(1+1+…+1) =n+ i=1 ln(2n+1),n∈N. n 2 f∑e2i-1-n>ln(2n+1).(17l) i=1 【*+,-】 1.%(1)(cid:160)HNOKL¯·FKL(cid:159)æl; 2.%(2)(cid:160)H34[(cid:141),@¯·G}D(cid:159)s»U(cid:181)»,(cid:159)æl; 3.(cid:218)H5–$(cid:128)%l. ( p ) (p-23) 19.5:(1)E4ZBF ,0,X>IFF′U¡A8 , , 2 4 4 JKL¡AJ=>l:y=x+1M, 3 p-2 9: = +1, 4 4 !"#$ % 7&(’9&)5Bp=1,(2l) 9:CU(cid:137)(cid:138)8y2=2x.(3l) (2)(cid:134)=>PQU(cid:137)(cid:138)8x=ty+2,CP(x,y),Q(x,y), 1 1 2 2 {x=ty+2, /´(cid:137)(cid:138)(cid:145) (cid:231)ŁBy2-2ty-4=0, y2=2x, ⁄BΔ=(-2t)2+16>0,Cy+y=2t,yy=-4, 1 2 12 Xtyy=-2(y+y).(5l) 12 1 2 y -4y _=>OPU(cid:137)(cid:138)8y=1 x,ex=-4,BAMUM(cid:253)(cid:254)y= 1 ,(6l) x M x 1 1 _AQJl′MUN“8R,9:ARUM(cid:253)(cid:254)y=y,(7l) R 2 MS y y 4y 4y 4y 9: = M = M = 1 = 1 = 1 SR y y xy (ty+2)y tyy+2y R 2 12 1 2 12 2 4y 4y = 1 = 1 =2, -2(y+y) +2y -2y 1 2 2 1 MS 9: 8Ø(cid:247)2.(9l) SR ’ ( & ! # % " $ (3)(cid:134)AG:y-2=k(x-2)(k>1),G(x,y),H(x,y), 3 3 4 4 xy2=2x/´Bky2-2y+4-4k=0, 4-4k 2-2k 2+2k 9:2y= y= ,fi-kıOk⁄By=- , 3 k 3 k 4 k (2(1-k)2 2-2k) (2(1+k)2 -2-2k) y-y y-y 2 1 7(cid:156)G , ,H , ,k =3 4= 3 4= =- ,(11l) k2 k k2 k GH x-x y2 y2 y+y 2 3 4 3-4 3 4 2 2 2-2k 1( 2(1-k)2) 2-2k2 7(cid:156)=>GH:y- =- x- x+2y- =0, k 2 k2 k2 1 2-2k2 - ( 1 ) 2 k2 5k2-4 AF ,0(cid:217)=>GHUP(cid:224)d= = .(13l) 2 槡5 2槡5k2 1 1 FH-FG x-x x-x 32k3 78 - = = 4 3 = 4 3 = , FG FH FG FH ( 1)( 1) 1 1 25k4-24k2+16 x+ x+ xx+ (x+x) + 3 2 4 2 34 2 3 4 4 d d ( 1 1 ) 5k2-4 32k3 16 (5k2-4)k 9: - =d - = · = · FG FH FG FH 2槡5k2 25k4-24k2+16 槡5 25k4-24k2+16 !"#$ % 8&(’9&)4 4 5k- 5k- 16 k 16 k = · = · ,(15l) 槡5 25k2-24+ 16 槡5 ( 5k- 4)2 +16 k2 k 4 em=5k- ,Ek>1Bm>1, k d d 16 m 16 1 16 1 2槡5 9: - = · = · ≤ × = , FG FH 槡5 m2+16 槡5 m+ 16 槡5 2槡16 5 m 2+2槡6 nCDnm=4,fk= o?sE. 5 d d 2槡5 9: - UQR(cid:247)8 .(17l) FG FH 5 【*+,-】 1.%(2)(cid:160)H(cid:239)SOΔ=(-2t)2+16>0,(cid:159)æl; 2.%(3)(cid:160)H(cid:239)SO?sEU(cid:130)(cid:221),æ1l; 3.(cid:218)H5–$(cid:128)%l. !"#$ % 9&(’9&)