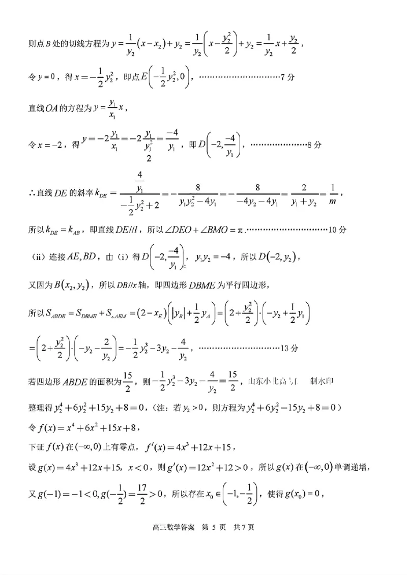
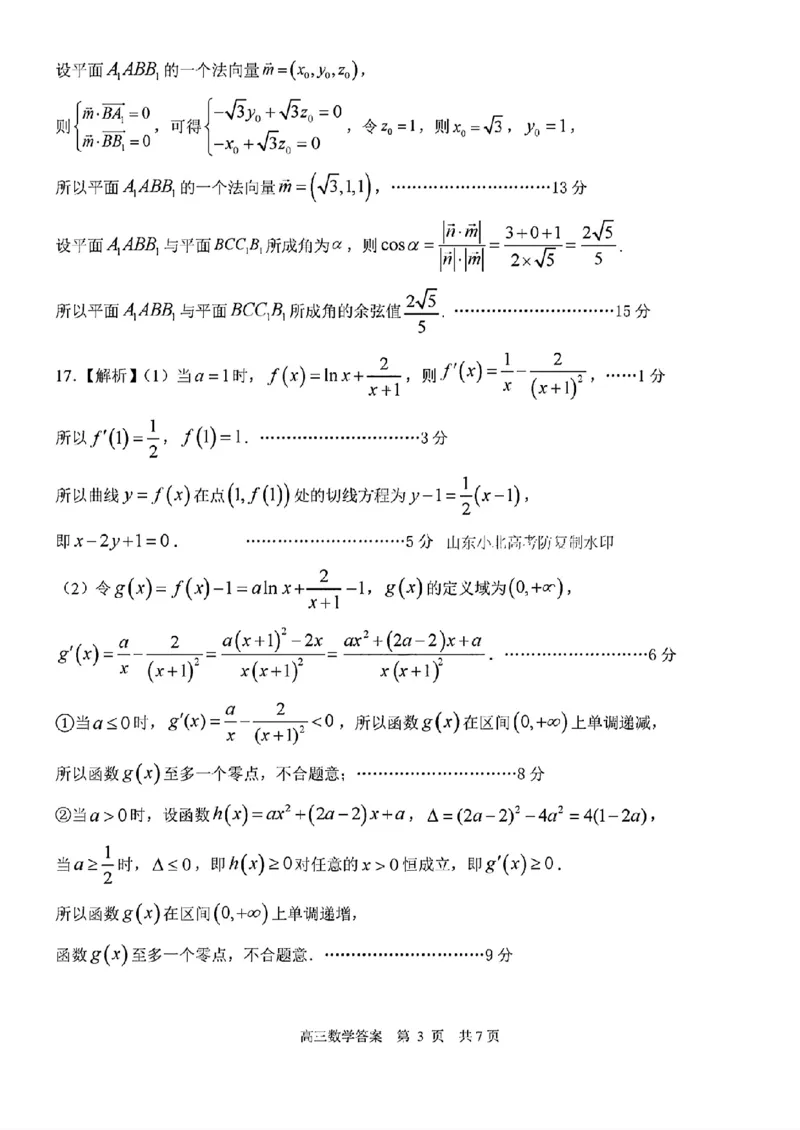
文档
办公文件
生活文档
学习资料
当前位置:
首页
>
文档
>数学答案_2025年4月_2504262025山东省日照市4月高三校际联合考试(日照二模)(全科)
数学答案_2025年4月_2504262025山东省日照市4月高三校际联合考试(日照二模)(全科)
2026-03-09 19:43:19
2026-02-11 06:50:10
文档预览
文档信息
文档格式
pdf
文档大小
2.281 MB
文档页数
7 页
上传时间
2026-02-11 06:50:10
下载文档
本文档来自网络内容,如有侵犯您的权益请联系我们删除,联系邮箱:wyl860211@qq.com。
上一篇
广东省广州市2025届高三下学期考前冲刺训练(一)英语答案_2025年5月_2505172025届广州市普通高中毕业班冲刺题(一)(二)(三)
下一篇
四海2025下半年时政考前冲刺-补充材料_2026考公资料_(01)花生十三_时政2026四海国考时政考前冲刺_讲义&资料
最新文档
烟台期末-英语答案_3.2025英语总复习_2023年新高考资料_3英语高考模拟题_新高考_山东烟台高三2022-2023学年度第一学期期末学业水平诊断英语
潍坊期末考-英语试题_3.2025英语总复习_2023年新高考资料_3英语高考模拟题_新高考_2023届山东省潍坊高三期末联考英语_2023届山东省潍坊高三期末联考英语
潍坊期末考-英语答案_3.2025英语总复习_2023年新高考资料_3英语高考模拟题_新高考_2023届山东省潍坊高三期末联考英语_2023届山东省潍坊高三期末联考英语
湖南省长沙市明德中学2022-2023学年高三上学期入学检测英语试卷_3.2025英语总复习_2023年新高考资料_3英语高考模拟题_新高考_湖南省长沙市明德中学23届高三上学期入学检测英语含答案
湖南省湖南师范大学附属中学2022-2023学年高三上学期入学考试英语试题_3.2025英语总复习_2023年新高考资料_3英语高考模拟题_新高考
湖南省永州市第一中学2022-2023学年高三上学期元月考试英语试题_3.2025英语总复习_英语高考模拟题_新高考_2023年_湖南省永州市第一中学2022-2023学年高三上学期元月考试英语
2023年高考地理一轮复习(全国版)区域地理第2章第1讲课时76 中国自然地理特征_9.2025地理总复习_赠品通用版(老高考)复习资料_一轮复习
湖南省永州市第一中学2022-2023学年高三上学期元月考试英语答案_3.2025英语总复习_2023年新高考资料_3英语高考模拟题_新高考_湖南省永州市第一中学2022-2023学年高三上学期元月考试英语
湖南省永州市2023届高三第二次适应性考试(二模)英语试题_3.2025英语总复习_英语高考模拟题_新高考_2023年_2023湖南省永州市高三第二次适应性考试(二模)英语
2023届高三地理二轮专题复习学案专题十二环境问题与国家安全_9.2025地理总复习_赠品通用版(老高考)复习资料_二轮复习_通用版2023届高三地理二轮专题复习学案(含解析)
热门文档
25.《搭车要注意》教案+说课稿+试讲稿_教资初高中_教资面试2025教资面试备考资料合集_教资面试资料合集_2025教资面试资料_25上教资面试中学合集_教资面试逐字稿
24高中数学试讲稿《数与代数》_教资初高中_教资面试2025教资面试备考资料合集_教资面试资料合集_2025教资面试资料_25上教资面试中学合集_教资面试逐字稿_高中数学面试逐字稿合集
24送东阳马生(1)_教资初高中_教资面试2025教资面试备考资料合集_教资面试资料合集_2025教资面试资料_25上教资面试-小学资料包_19教案:合集_初中学科全册教案_初中语文教案
24诗经两首(1)_教资初高中_教资面试2025教资面试备考资料合集_教资面试资料合集_2025教资面试资料_25上教资面试-小学资料包_19教案:合集_初中学科全册教案_初中语文教案
24最小公倍数_教资初高中_教资面试2025教资面试备考资料合集_教资面试资料合集_2025教资面试资料_25上教资面试中学合集_教资面试逐字稿_小学数学面试试讲稿180篇
24幼儿园试讲稿健康领域《保护眼睛》_教资初高中_教资面试2025教资面试备考资料合集_教资面试资料合集_2025教资面试资料_25上教资面试中学合集_教资面试逐字稿_试讲稿1
24小学数学试讲稿《平移与旋转》_教资初高中_教资面试2025教资面试备考资料合集_教资面试资料合集_2025教资面试资料_25上教资面试中学合集_教资面试逐字稿_小学数学面试试讲稿180篇_218
24小学数学试讲稿《平移与旋转》_教资初高中_教资面试2025教资面试备考资料合集_教资面试资料合集_2025教资面试资料_25上教资面试中学合集_教资面试逐字稿_小学数学面试试讲稿180篇
24大道之行也(1)_教资初高中_教资面试2025教资面试备考资料合集_教资面试资料合集_2025教资面试资料_25上教资面试-小学资料包_19教案:合集_初中学科全册教案_初中语文教案
24出师表(1)_教资初高中_教资面试2025教资面试备考资料合集_教资面试资料合集_2025教资面试资料_25上教资面试-小学资料包_19教案:合集_初中学科全册教案_初中语文教案
随机文档
湖南省怀化市2022-2023学年高三上学期期末考试英语试题_3.2025英语总复习_2023年新高考资料_3英语高考模拟题_新高考
湖北省黄冈市2022-2023学年高三上学期9月调研考试英语试题答案_3.2025英语总复习_英语高考模拟题_新高考_2023年_湖北省黄冈市23届高三上学期9月调研考试英语含答案
24上时政必背20题_教资初高中_教资面试2025教资面试备考资料合集_教资面试资料合集_3、教资面试资料包大全_45大圣中小幼面试资料包_初中_体育
24上时政_教资初高中_教资面试2025教资面试备考资料合集_教资面试资料合集_3、教资面试资料包大全_51时政资料_22上-24上
24上教资面试-试讲题目汇总-第三版_教资初高中_教资面试2025教资面试备考资料合集_教资面试资料合集_2025教资面试资料_04面试真题汇总-含各学科试讲真题(含24下)
24.《莲与藕》教案设计+试讲稿+说课稿_教资初高中_教资面试2025教资面试备考资料合集_教资面试资料合集_2025教资面试资料_25上教资面试中学合集_教资面试逐字稿
23高中数学试讲稿《概率与统计》_教资初高中_教资面试2025教资面试备考资料合集_教资面试资料合集_2025教资面试资料_25上教资面试中学合集_教资面试逐字稿_高中数学面试逐字稿合集
23马说(1)_教资初高中_教资面试2025教资面试备考资料合集_教资面试资料合集_2025教资面试资料_25上教资面试-小学资料包_19教案:合集_初中学科全册教案_初中语文教案
23轴对称_教资初高中_教资面试2025教资面试备考资料合集_教资面试资料合集_2025教资面试资料_25上教资面试中学合集_教资面试逐字稿_小学数学面试试讲稿180篇
23核舟记(1)_教资初高中_教资面试2025教资面试备考资料合集_教资面试资料合集_2025教资面试资料_25上教资面试-小学资料包_19教案:合集_初中学科全册教案_初中语文教案