当前位置:首页>文档>数学答案_2025年5月_250522湖北省武汉市2025届高中毕业生五月模拟训练试题_0522湖北省武汉市2025届高三五月模拟训练试题及答案

数学答案_2025年5月_250522湖北省武汉市2025届高中毕业生五月模拟训练试题_0522湖北省武汉市2025届高三五月模拟训练试题及答案

  • 2026-03-18 05:34:15 2026-02-11 09:22:48

文档预览

数学答案_2025年5月_250522湖北省武汉市2025届高中毕业生五月模拟训练试题_0522湖北省武汉市2025届高三五月模拟训练试题及答案
数学答案_2025年5月_250522湖北省武汉市2025届高中毕业生五月模拟训练试题_0522湖北省武汉市2025届高三五月模拟训练试题及答案
数学答案_2025年5月_250522湖北省武汉市2025届高中毕业生五月模拟训练试题_0522湖北省武汉市2025届高三五月模拟训练试题及答案
数学答案_2025年5月_250522湖北省武汉市2025届高中毕业生五月模拟训练试题_0522湖北省武汉市2025届高三五月模拟训练试题及答案
数学答案_2025年5月_250522湖北省武汉市2025届高中毕业生五月模拟训练试题_0522湖北省武汉市2025届高三五月模拟训练试题及答案
数学答案_2025年5月_250522湖北省武汉市2025届高中毕业生五月模拟训练试题_0522湖北省武汉市2025届高三五月模拟训练试题及答案
数学答案_2025年5月_250522湖北省武汉市2025届高中毕业生五月模拟训练试题_0522湖北省武汉市2025届高三五月模拟训练试题及答案
数学答案_2025年5月_250522湖北省武汉市2025届高中毕业生五月模拟训练试题_0522湖北省武汉市2025届高三五月模拟训练试题及答案

文档信息

文档格式
pdf
文档大小
0.273 MB
文档页数
4 页
上传时间
2026-02-11 09:22:48

文档内容

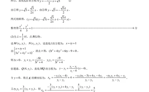
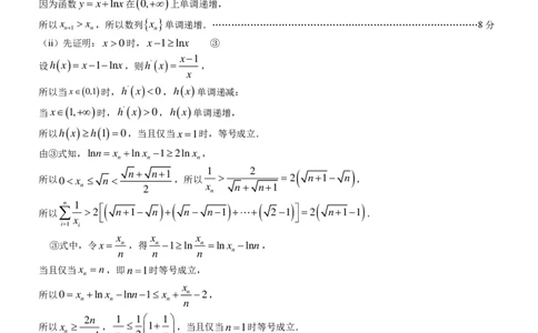
武汉市 2025 届高三年级五月模拟训练试题参考答案 题号 1 2 3 4 5 6 7 8 9 10 11 答案 D A A B A C B C BD ACD ACD 12.0 13. − 1 14. 4 3 2 15.解:(1)由 b c o s A 2 − a s i n B = 0 及正弦定理得 s i n B c o s A 2 − s i n A s i n B = 0 , 又 s i n B  0 A A A ,所以cos −2sin cos =0, 2 2 2 因为 A ( 0 , )   ,所以 A 2 0 , 2     ,所以 c o s A 2  0 A 1 ,sin = , 2 2 所以 A 2 6  = , A 3  = …………………………………………………………………………………………………6分 (2)因为 A E = 2 E B , S  A C E = 3 2 3 , 所以 S  A B C = 3 2 S  A C E = 9 4 3 ,则 S A B C 1 2 b c s i n 3 9 4 3   = = ,所以 b c = 9 , 又由余弦定理得 b 2 + c 2 − a 2 = b c ,可得 b 2 + c 2 = 1 8 ,所以 b = c = 3 , CF CA 3 由角平线定理得 = = ……………………………………………………………………………………13分 FE AE 2 16. (1)证明:记AB=a, A D = b , A A 1 = c ,则 a = b = 3 , c = 4 , a , b = b , c = a , c = 6 0 , 1 3 方法一:由题意,AE =a+ c,AF =b+ c, 4 4 A C 1 = a + b + c , 所以 A C 1 = A E + A F ,所以 A C 1 , A E , A F 共面且 A 为公共点,所以A,E,C ,F四点共面……………………6分 1 方法二:由题意, A E = a + 1 4 c , F C 1 = F D 1 + D 1 C 1 = a + 1 4 c , 所以 A E = F C 1 ,所以四边形AEC F 为平行四边形,A,E,C ,F四点共面……………………………………6分 1 1 (2)解:如图,取AF 中点 M ,连 D M , E M , E F , 在ADF 中, D F = 3 = A D ,所以DM ⊥ AF, 1 2 2 1 2 1 因为AE =a+ c,所以 AE = a + c + a c cos60 =13, 4 4 2 从而 A E = 1 3 , 1 EF = AF −AE =−a+b+ c,同理 2 E F = 1 3 = A E , 因此在等腰  A E F 中,EM ⊥ AF , 所以EMD即为平面AEC F 与平面 1 A 1 A D D 1 的夹角或其补角, 1 1 3 1 1 1 由MD=MA+ AD=− AF + AD= b− c,ME =MA+ AE =− AF + AD=a− b− c, 2 2 8 2 2 8 设平面AEC F 与平面AADD 的夹角为, 1 1 1则 c o s c o s M D , M E M M D D M M E E 3 2 3 4 5 2 1 5  = =  = −  = , 所以平面 A E C 1 F 与平面AADD 夹角的余弦值为 1 1 1 5 ……………………………………15分(其他方法酌情给分) 17.解:(1)依题意, E ( 0 , − 3 ) , F ( 2 , 0 ) ,由 O R O F  = 得 R ( 2 , 0 )  , 当0时,直线 E R 3 的方程为y = x− 3 ① 2 又 G ( 0 , 3 ) , C ( 2 , 3 ) ,由 C S C F  = 得 S ( 2 , 3 3 )  − + , 所以,直线 G S 的方程为 y 3 2 x 3  = − + ② 3 3 由①得y+ 3 = x,由②得y− 3 =− x, 2 2 3 3 两式相乘得,(y+ 3)(y− 3)= x(− x), 2 2 整理得 x 4 2 + y 3 2 = 1 ……………………………………………………………………………………………………6分 (2)当 1 2  = 时,点 R (1 , 0 ) , 设M(x ,y ),N(x ,y ),设直线 1 1 2 2 l 的方程为: x = t y + 1 x=ty+1 由 ,消去 3x2 +4y2 =12 x 得: ( 3 t 2 + 4 ) y 2 + 6 t y − 9 = 0 , 则0, y 1 + y 2 = 3 − 2 t 6 + t 4 −9 ,y y = , 1 2 3t2 +4 依题意, Q ( 4 , y 2 ) ,直线MQ的方程为: y − y 2 = y 1x 1 − − y 4 2 ( x − 4 ) , 令y=0,得点 K −y (x −4) 的横坐标为:x = 2 1 +4 K y − y 1 2 = − y 2 ( t y 1 − y 3 1 ) − + y 4 2 y 1 − 4 y 2 = − t y 1 y 2y + 1 − 4 y 1 y 2 − y 2 , 3 又ty y = (y + y ),则 1 2 2 1 2 x K = − 3 2 ( y 1 + y y 1 2 − ) + y 2 4 y 1 − y 2 = 5 2 ( y y 1 1 − − y y 2 2 ) = 5 2 因此直线MQ过定点 K ( 5 2 , 0 ) , 所以 S  K M R = 1 2 R K y M = 1 2  3 2 y M  3 4 3 ,当且仅当 y M = 3 时等号成立, 所以  K M R 的面积最大值为 3 4 3 …………………………………………………………………………………15分 18.(1)经过1次换球后,甲口袋中2白1黑,乙口袋中2黑1白,记“2次换球后,甲口袋中恰有3个白球” 为事件A,则 1 1 1 P(A)=  = ……………………………………………………………………………………………………4分 3 3 9(2)解法一: n 次换球后,记“甲口袋中恰有3个白球”的概率为a ,“甲口袋中恰有2白1黑”的概率为 n b n , “甲口袋中恰有1白2黑”的概率为 c n ,“甲口袋中恰有3个黑球”的概率为d . n 由题意可知, a 1 = 0 , b 1 = 1 , c 1 = 0 , d 1 = 0 ,  a a b c d n n n n n + = = = = b n 1 9 a n 4 9 1 9 + c + n b n − 1 4 + − 1 9 b + n − 1 c n − 1 b 4 9 d n n − 1 c n = + − 1 1 4 9 + c d n n − 1 − 1 ,所以 b n + c n = a n − 1 + 8 9 b n − 1 + 8 9 c n − 1 + d n − 1 = 1 − 1 9 ( b n − 1 + c n − 1 ) , 则 b n + c n − 1 9 0 = − 1 9  b n − 1 + c n − 1 − 1 9 0  ,由 b 1 + c 1 = 1 ,得 b n + c n = 1 9 0 − 1 9 0  − 1 9  n 所以 n 次换球后,甲口袋中3个球颜色仍相同的概率为 a n + d n = 1 1 0 + 1 9 0   − 1 9  n ……………………………10分 解法二:在解法一的基础上,调整对事件划分的分类, n 次换球后,记“甲口袋中3个球颜色相同”的概率为 p n , 则 p 1 = 0 , p n = 1 9 ( 1 − p n − 1 ) , 所以 p n − 1 1 0 = − 1 9  p n − 1 − 1 1 0  n 1 9  1 ,得 p = +   −  ………………………………………………………10分 n 10 10  9 (3) n 次换球后,记“甲口袋中3个球编号分别为1,2,3”的概率为q , n 1 1 4 则q = ,q = q + (1−q ), 1 3 n 3 n−1 9 n−1 所以 q n − 2 5 = − 1 9  q n − 1 − 2 5  , q n = 2 5 + 3 5   − 1 9  n 当n为奇数时, q n = 2 5 + 3 5   − 1 9  n = 2 5 − 3 5   1 9  n  2 5 当n为偶数时, q n = 2 5 + 3 5   − 1 9  n = 2 5 + 3 5   1 9  n  q 2 = 1 2 1 7 所以当 n = 2 11 时,q 取得最大值,最大值为 ……………………………………………………………………17分 n 27 19.解:(1)令 f (x)= xex−1−a=0,即a= xex−1,设g(x)= xex−1 因为g'(x)=(x+1)ex−1,所以当x(−,−1)时, g  ( x )  0 , g ( x ) 单调递减: 当 x  ( − 1 , +  ) 时,g(x)0,g(x) 单调递增, 1 当x0时,g(x)0,g(x) = g(−1)=− ,g(0)=0 min e2 1 所以当− a0时, f (x) 在 (−,0) 上有两个零点; e2当 a = − 1 e 2 或 a  0 时, f ( x ) 有唯一零点; 1 当a− 时, e2 f ( x ) 无零点.……………………………………………………………………………………4分 (2)(i)由(1)知,当 a  0 时, f ( x ) 有唯一零点 x n ,则 x n e x n − 1 = n 且 x n  0 , 两边取自然对数,得 x n − 1 + l n x n = l n n , ① 所以 x n + 1 − 1 + l n x n + 1 = l n ( n + 1 ) , ② ①②两式相减,得 x n + 1 − x n + l n x n + 1 − l n x n = l n n + n 1  0 , 所以 x n + 1 + l n x n + 1  x n + l n x n . 因为函数 y = x + l n x 在 (0,+) 上单调递增, 所以x  x ,所以数列 x  单调递增.…………………………………………………………………………8分 n+1 n n (ii)先证明: x  0 时, x − 1  l n x ③ 设 h ( x ) = x − 1 − l n x x−1 ,则h'(x)= , x 所以当 x  ( 0 ,1 ) 时, h ' ( x )  0 , h ( x ) 单调递减: 当 x  ( 1 , +  ) 时,h'(x)0, h ( x ) 单调递增, 所以 h ( x )  h ( 1 ) = 0 ,当且仅当 x = 1 时,等号成立. 由③式知, l n n = x n + l n x n − 1  2 l n x n , n+ n+1 所以0 x  n  ,所以 n 2 1 x n  n + 2 n + 1 = 2 ( n + 1 − n ) , 所以 n i= 1 1 x i  2  ( n + 1 − n ) + ( n − n − 1 ) + + ( 2 − 1 )  = 2 ( n + 1 − 1 ) . ③式中,令 x = x n n ,得 x n n − 1  l n x n n = l n x n − l n n , 当且仅当 x n = n ,即 n = 1 时等号成立, x 所以0= x +lnx −lnn−1 x + n −2, n n n n 所以 x n  n 2 n + 1 , 1 x n  1 2  1 + 1 n  ,当且仅当 n = 1 时等号成立. 当n2时,在③式中,令 x = n − n 1 1 ,得 lnn−ln(n−1), n n 1 n 1 n−1 1 n 1 所以n2时,  =1+ 1+ +  x x 2 2 k i=1 k i=2 k i=2 n+1 1 n+1+lnn  + (ln2−ln1)+ + ( lnn−ln(n−1))= .   2 2 2 n 1 n+1+lnn 当n=1时,   成立. x 2 i=1 i ( ) n 1 n+1+lnn 所以2 n+1−1   ,得证……………………………………………………………17分 x 2 i=1 i 在