文档
办公文件
生活文档
学习资料
当前位置:
首页
>
文档
>2023年南京大学匡亚明学院+&+天文学拔尖班二次选拔考试数学试题+答案(1)_2023年9月_029月合集_2023年南京大学计算机拔尖班二次选拔考试
2023年南京大学匡亚明学院+&+天文学拔尖班二次选拔考试数学试题+答案(1)_2023年9月_029月合集_2023年南京大学计算机拔尖班二次选拔考试
2026-03-22 15:41:33
2026-02-12 11:17:20
文档预览
文档信息
文档格式
pdf
文档大小
0.380 MB
文档页数
7 页
上传时间
2026-02-12 11:17:20
下载文档
文档内容
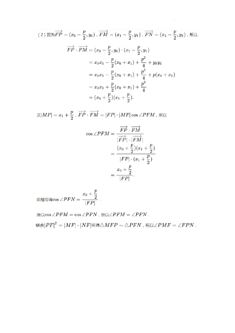
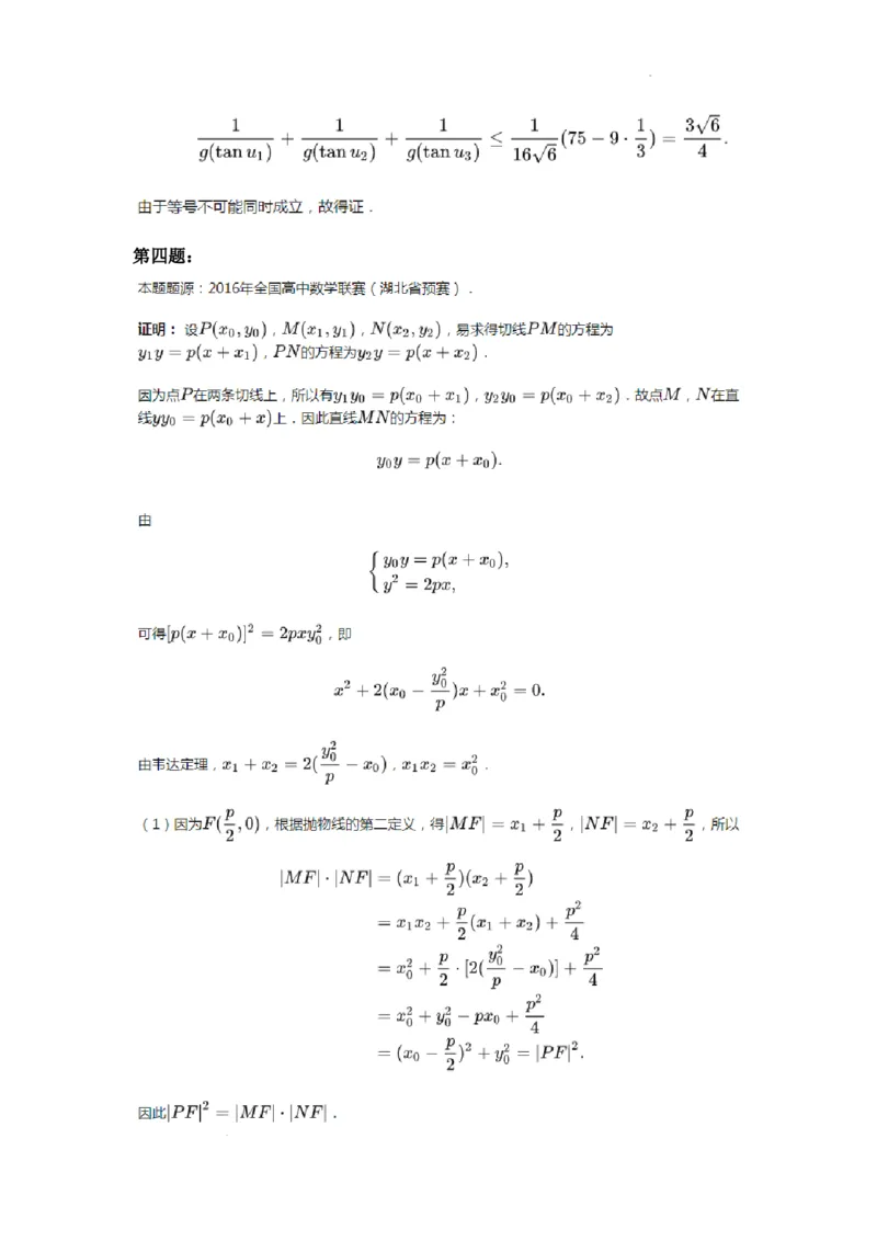
2023 年南京大学【匡亚明学院】 & 【天文学拔尖班】 二次选拔考试数学试题 学科网(北京)股份有限公司2023 年南京大学【匡亚明学院】 & 【天文学拔尖班】 二次选拔考试数学试题解析 第一题: 学科网(北京)股份有限公司学科网(北京)股份有限公司第二题: 学科网(北京)股份有限公司第三题: 学科网(北京)股份有限公司第四题: 学科网(北京)股份有限公司学科网(北京)股份有限公司
本文档来自网络内容,如有侵犯您的权益请联系我们删除,联系邮箱:wyl860211@qq.com。
上一篇
2023年下学期高三第二次月考化学试题_2023年8月_01每日更新_18号_2024届湖南省常德市第一中学高三上学期第二次月考_湖南省常德市第一中学2024届高三上学期第二次月考化学
下一篇
2013年高考英语试卷(广东)(解析卷)_英语历年高考真题_新·PDF版2008-2025·高考英语真题_英语(按年份分类)2008-2025_2013·高考英语真题
最新文档
A-学习任务单_26春四年级上下册人教版_四上英语合集人教版PEP英语四年级上册新教材(教学视频+课件+动画+音频+练习+教案)_17练习资料_小学英语(预习复习资料大礼包)_Unit5_191
26在太空中也思念的美食、第一部太空电影、疫情期间的忘年之交(原卷版)_02中考总复习(2026版更新中)_03-英语-中考总复习_2024年中考复习资料_专项复习资料
A-学习任务单_26春四年级上下册人教版_四上英语合集人教版PEP英语四年级上册新教材(教学视频+课件+动画+音频+练习+教案)_17练习资料_小学英语(预习复习资料大礼包)_Unit5
26.“两种电荷”-2024年中考物理重难点突破与题型归类总复习_02中考总复习(2026版更新中)_04-物理-中考总复习_2024年中考复习资料_专项复习资料_2024年中考物理复习辅导系列
25文明养犬新规、五岁男孩走完阿巴拉契亚小径、新闻两则(原卷版)_02中考总复习(2026版更新中)_03-英语-中考总复习_2024年中考复习资料_专项复习资料
A-学习任务单_26春四年级上下册人教版_四上英语合集人教版PEP英语四年级上册新教材(教学视频+课件+动画+音频+练习+教案)_17练习资料_小学英语(预习复习资料大礼包)_Unit4_686
A-学习任务单_26春四年级上下册人教版_四上英语合集人教版PEP英语四年级上册新教材(教学视频+课件+动画+音频+练习+教案)_17练习资料_小学英语(预习复习资料大礼包)_Unit4_573
25.“比热容、热值和热机综合”-2024年中考物理重难点突破与题型归类总复习_02中考总复习(2026版更新中)_04-物理-中考总复习_2024年中考复习资料_专项复习资料_重难点突破及题型归类
A-学习任务单_26春四年级上下册人教版_四上英语合集人教版PEP英语四年级上册新教材(教学视频+课件+动画+音频+练习+教案)_17练习资料_小学英语(预习复习资料大礼包)_Unit4_519
25+八年级下册1-3单元古诗文默写强化训练-2025年中考语文古诗文默写背诵与强化训练+_02中考总复习(2026版更新中)_01-语文-中考总复习_2025年中考资料_中考文言文专项
热门文档
A-学习任务单_26春四年级上下册人教版_四上英语合集人教版PEP英语四年级上册新教材(教学视频+课件+动画+音频+练习+教案)_17练习资料_小学英语(预习复习资料大礼包)_Unit4_361
专题27与圆有关的位置关系(原卷版)_中考数学一轮复习word_原卷版
A-学习任务单_26春四年级上下册人教版_四上英语合集人教版PEP英语四年级上册新教材(教学视频+课件+动画+音频+练习+教案)_17练习资料_小学英语(预习复习资料大礼包)_Unit4_293
A-学习任务单_26春四年级上下册人教版_四上英语合集人教版PEP英语四年级上册新教材(教学视频+课件+动画+音频+练习+教案)_17练习资料_小学英语(预习复习资料大礼包)_Unit4_286
A-学习任务单_26春四年级上下册人教版_四上英语合集人教版PEP英语四年级上册新教材(教学视频+课件+动画+音频+练习+教案)_17练习资料_小学英语(预习复习资料大礼包)_Unit4_139
24脑岛的新角色、智能窗户清洁机器人Ozmo、海边的“教室”(解析版)_02中考总复习(2026版更新中)_03-英语-中考总复习_2024年中考复习资料_专项复习资料_答案解析版
A-学习任务单_26春四年级上下册人教版_四上英语合集人教版PEP英语四年级上册新教材(教学视频+课件+动画+音频+练习+教案)_17练习资料_小学英语(预习复习资料大礼包)_Unit4
24脑岛的新角色、智能窗户清洁机器人Ozmo、海边的“教室”(原卷版)_02中考总复习(2026版更新中)_03-英语-中考总复习_2024年中考复习资料_专项复习资料
A-学习任务单_26春四年级上下册人教版_四上英语合集人教版PEP英语四年级上册新教材(教学视频+课件+动画+音频+练习+教案)_17练习资料_小学英语(预习复习资料大礼包)_Unit3_565
A-学习任务单_26春四年级上下册人教版_四上英语合集人教版PEP英语四年级上册新教材(教学视频+课件+动画+音频+练习+教案)_17练习资料_小学英语(预习复习资料大礼包)_Unit3_488
随机文档
24.第24天主题:托物言志类《生长的力量》(2025年暑假读写摘抄逆袭宝典)-备战2026年中考语文作文常见十大母题写作技巧与策略(全国通用)_02中考总复习(2026版更新中)
A-学习任务单_26春四年级上下册人教版_四上英语合集人教版PEP英语四年级上册新教材(教学视频+课件+动画+音频+练习+教案)_17练习资料_小学英语(预习复习资料大礼包)_Unit3_328
A-学习任务单_26春四年级上下册人教版_四上英语合集人教版PEP英语四年级上册新教材(教学视频+课件+动画+音频+练习+教案)_17练习资料_小学英语(预习复习资料大礼包)_Unit3_3
A-学习任务单_26春四年级上下册人教版_四上英语合集人教版PEP英语四年级上册新教材(教学视频+课件+动画+音频+练习+教案)_17练习资料_小学英语(预习复习资料大礼包)_Unit3_232
24.4第1课时弧长和扇形面积4_初中数学_九年级数学上册(人教版)_教案多套_9上数教案选择3
A-学习任务单_26春四年级上下册人教版_四上英语合集人教版PEP英语四年级上册新教材(教学视频+课件+动画+音频+练习+教案)_17练习资料_小学英语(预习复习资料大礼包)_Unit3_151
A-学习任务单_26春四年级上下册人教版_四上英语合集人教版PEP英语四年级上册新教材(教学视频+课件+动画+音频+练习+教案)_17练习资料_小学英语(预习复习资料大礼包)_Unit3_139
A-学习任务单_26春四年级上下册人教版_四上英语合集人教版PEP英语四年级上册新教材(教学视频+课件+动画+音频+练习+教案)_17练习资料_小学英语(预习复习资料大礼包)_Unit3
A-学习任务单_26春四年级上下册人教版_四上英语合集人教版PEP英语四年级上册新教材(教学视频+课件+动画+音频+练习+教案)_17练习资料_小学英语(预习复习资料大礼包)_Unit3
A-学习任务单_26春四年级上下册人教版_四上英语合集人教版PEP英语四年级上册新教材(教学视频+课件+动画+音频+练习+教案)_17练习资料_小学英语(预习复习资料大礼包)_Unit2_634