当前位置:首页>文档>2023年南京大学计算机拔尖班二次选拔考试数学试题+答案(1)_2023年9月_029月合集_2023年南京大学计算机拔尖班二次选拔考试

2023年南京大学计算机拔尖班二次选拔考试数学试题+答案(1)_2023年9月_029月合集_2023年南京大学计算机拔尖班二次选拔考试

  • 2026-04-17 07:41:49 2026-02-12 11:17:32

文档预览

2023年南京大学计算机拔尖班二次选拔考试数学试题+答案(1)_2023年9月_029月合集_2023年南京大学计算机拔尖班二次选拔考试
2023年南京大学计算机拔尖班二次选拔考试数学试题+答案(1)_2023年9月_029月合集_2023年南京大学计算机拔尖班二次选拔考试
2023年南京大学计算机拔尖班二次选拔考试数学试题+答案(1)_2023年9月_029月合集_2023年南京大学计算机拔尖班二次选拔考试
2023年南京大学计算机拔尖班二次选拔考试数学试题+答案(1)_2023年9月_029月合集_2023年南京大学计算机拔尖班二次选拔考试
2023年南京大学计算机拔尖班二次选拔考试数学试题+答案(1)_2023年9月_029月合集_2023年南京大学计算机拔尖班二次选拔考试
2023年南京大学计算机拔尖班二次选拔考试数学试题+答案(1)_2023年9月_029月合集_2023年南京大学计算机拔尖班二次选拔考试
2023年南京大学计算机拔尖班二次选拔考试数学试题+答案(1)_2023年9月_029月合集_2023年南京大学计算机拔尖班二次选拔考试
2023年南京大学计算机拔尖班二次选拔考试数学试题+答案(1)_2023年9月_029月合集_2023年南京大学计算机拔尖班二次选拔考试
2023年南京大学计算机拔尖班二次选拔考试数学试题+答案(1)_2023年9月_029月合集_2023年南京大学计算机拔尖班二次选拔考试
2023年南京大学计算机拔尖班二次选拔考试数学试题+答案(1)_2023年9月_029月合集_2023年南京大学计算机拔尖班二次选拔考试

文档信息

文档格式
pdf
文档大小
0.314 MB
文档页数
6 页
上传时间
2026-02-12 11:17:32

文档内容

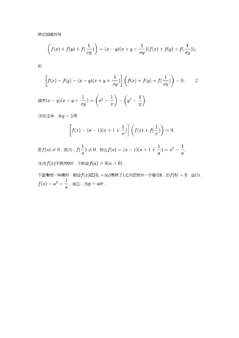
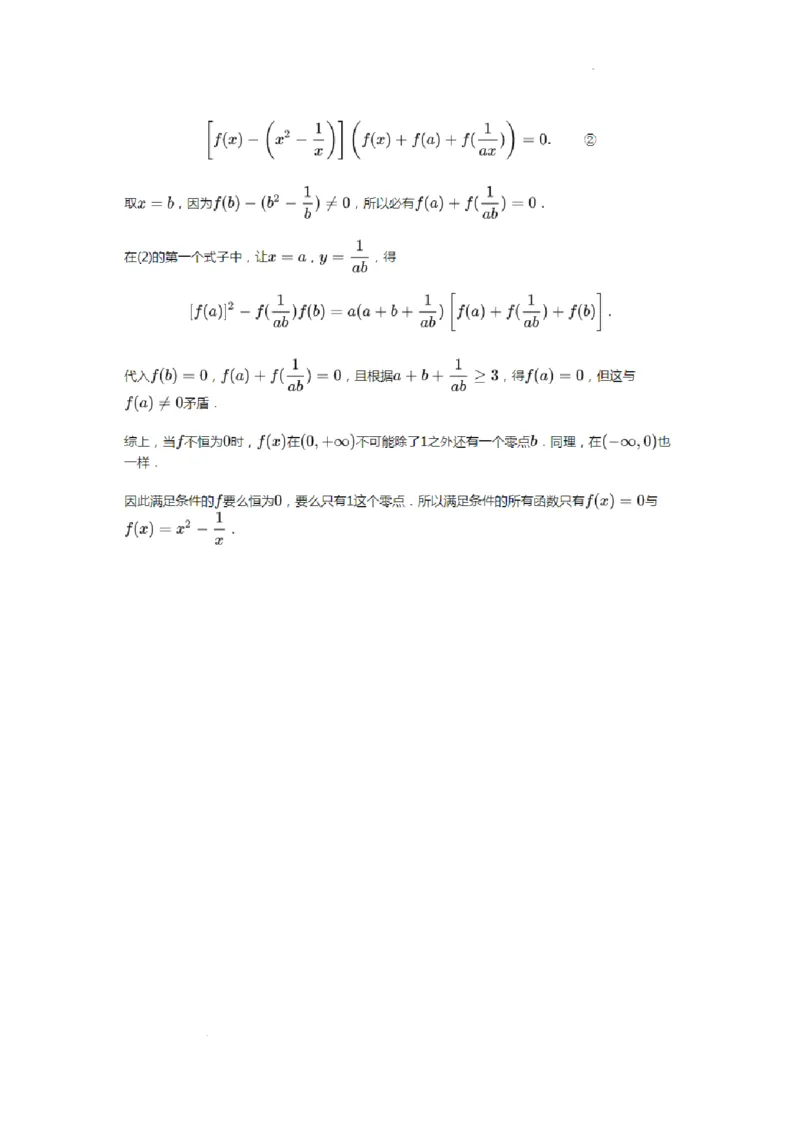
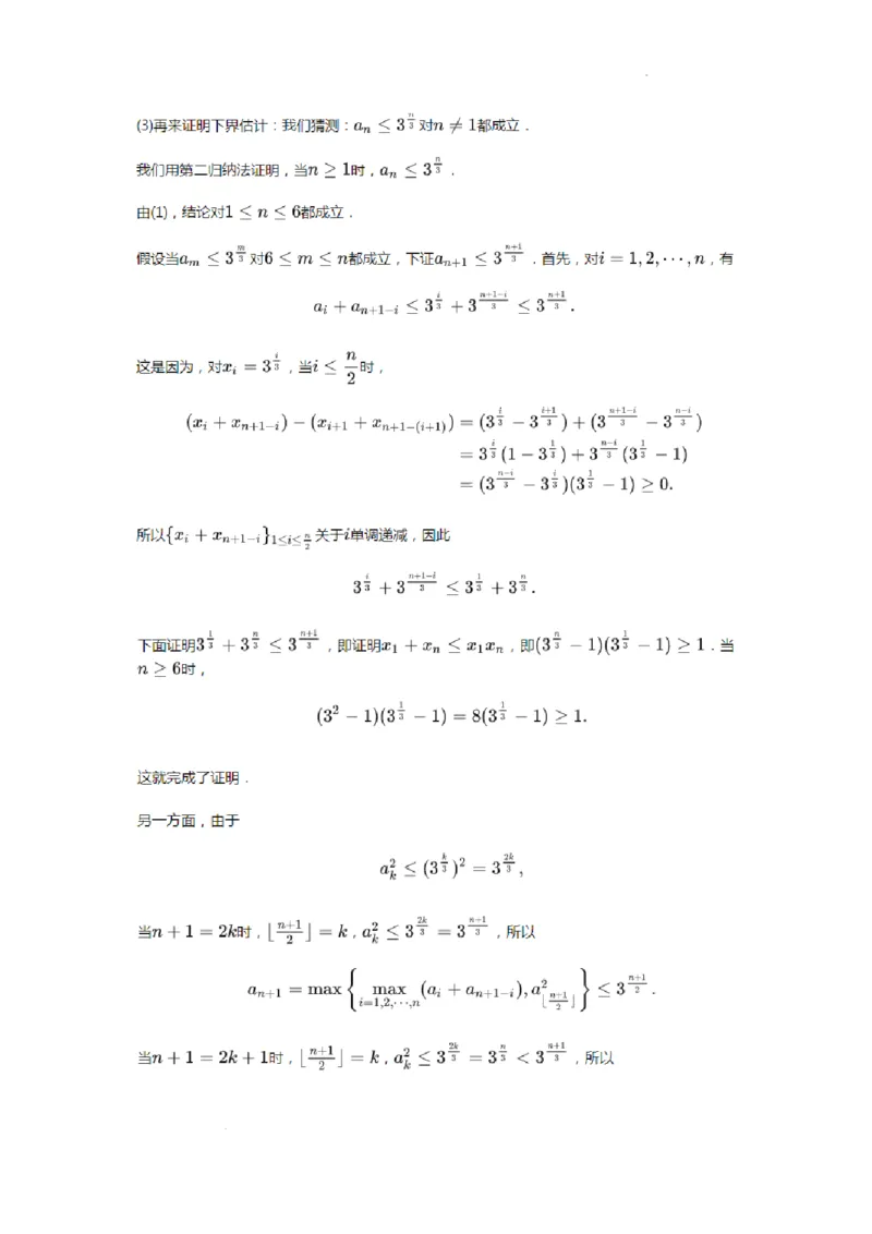
2023 年南京大学计算机拔尖班二次选拔考试数学试题 第一题(20 分) 在黑板上写有2023个1,下面进行2022 次如下操作:每次操作擦掉黑板上的任 意两个数a和b,并写下(a+b)或者min{a2 +b2},最后只剩下一个数,把这个数 的最大可能值记为r.求证: 2023 2023 2 2 3,n>3, f ,, f 为S的k个排列函数,记 f(x)= f (f ((f (x)))),证明: 1 k 1 2 k c(f )+c(f )++c(f )≤n(k−1)+c(f) 1 2 k 学科网(北京)股份有限公司第四题(20 分) 对于正整数n,可以把n的所有约数排成一列:d ,,d .求满足存在n的所有 1 k 约数的一个排列,使得d +d ++d (i =1,2,,k)均为整数的平方的所有正整数 1 2 i n. 2023 年南京大学计算机拔尖班二次选拔考试数学试题解答 第一题: 学科网(北京)股份有限公司学科网(北京)股份有限公司第二题: 学科网(北京)股份有限公司学科网(北京)股份有限公司学科网(北京)股份有限公司