当前位置:首页>文档>地理参考答案及评分标准_2023年9月_01每日更新_6号_2024届山东省新高考联合质量测评高三上学期开学联考_山东省新高考联合质量测评2024届高三上学期开学联考地理

地理参考答案及评分标准_2023年9月_01每日更新_6号_2024届山东省新高考联合质量测评高三上学期开学联考_山东省新高考联合质量测评2024届高三上学期开学联考地理

  • 2026-03-25 00:53:52 2026-02-12 19:06:23

文档预览

地理参考答案及评分标准_2023年9月_01每日更新_6号_2024届山东省新高考联合质量测评高三上学期开学联考_山东省新高考联合质量测评2024届高三上学期开学联考地理
地理参考答案及评分标准_2023年9月_01每日更新_6号_2024届山东省新高考联合质量测评高三上学期开学联考_山东省新高考联合质量测评2024届高三上学期开学联考地理

文档信息

文档格式
pdf
文档大小
0.206 MB
文档页数
1 页
上传时间
2026-02-12 19:06:23

文档内容

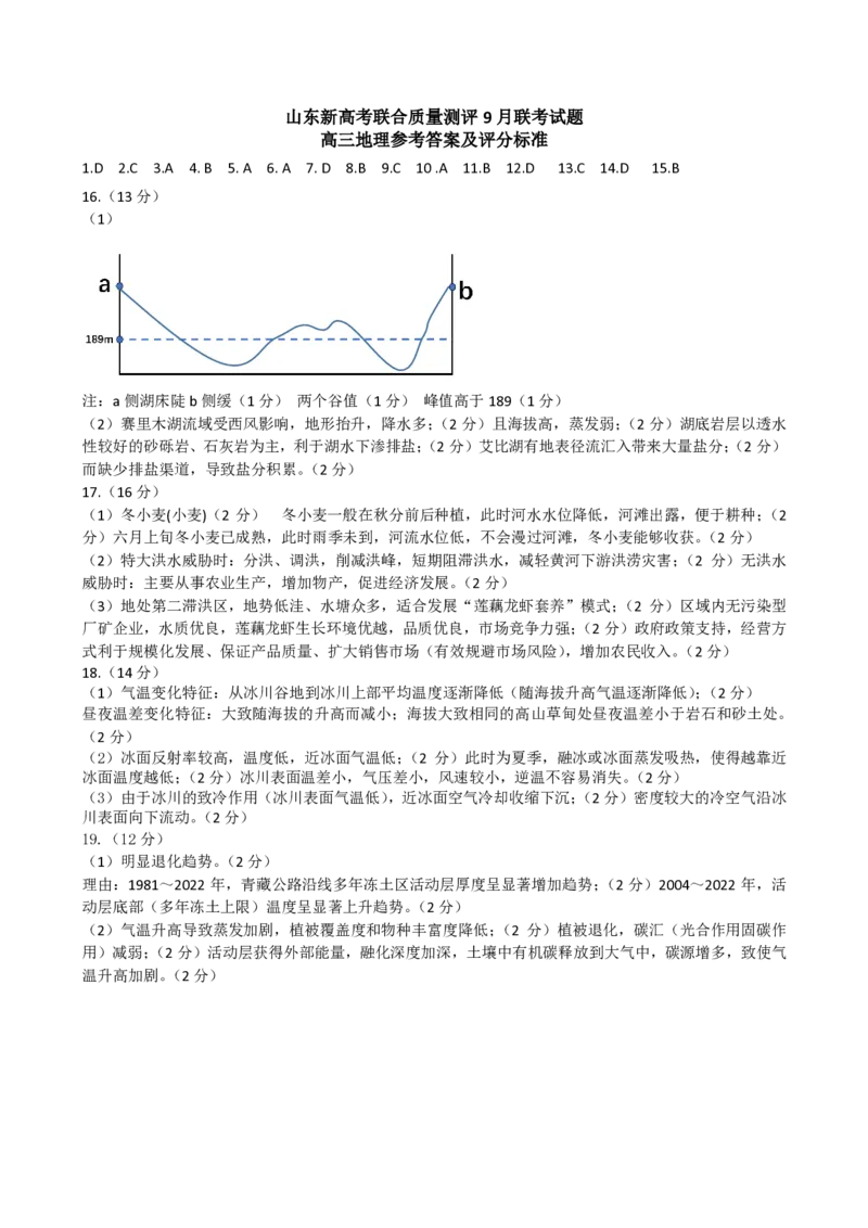
山东新高考联合质量测评 9 月联考试题 高三地理参考答案及评分标准 1.D 2.C 3.A 4. B 5. A 6. A 7. D 8.B 9.C 10 .A 11.B 12.D 13.C 14.D 15.B 16.(13分) (1) 注:a侧湖床陡b侧缓(1分) 两个谷值(1分) 峰值高于189(1分) (2)赛里木湖流域受西风影响,地形抬升,降水多;(2分)且海拔高,蒸发弱;(2分)湖底岩层以透水 性较好的砂砾岩、石灰岩为主,利于湖水下渗排盐;(2分)艾比湖有地表径流汇入带来大量盐分;(2分) 而缺少排盐渠道,导致盐分积累。(2分) 17.(16分) (1)冬小麦(小麦)(2 分) 冬小麦一般在秋分前后种植,此时河水水位降低,河滩出露,便于耕种;(2 分)六月上旬冬小麦已成熟,此时雨季未到,河流水位低,不会漫过河滩,冬小麦能够收获。(2分) (2)特大洪水威胁时:分洪、调洪,削减洪峰,短期阻滞洪水,减轻黄河下游洪涝灾害;(2 分)无洪水 威胁时:主要从事农业生产,增加物产,促进经济发展。(2分) (3)地处第二滞洪区,地势低洼、水塘众多,适合发展“莲藕龙虾套养”模式;(2 分)区域内无污染型 厂矿企业,水质优良,莲藕龙虾生长环境优越,品质优良,市场竞争力强;(2分)政府政策支持,经营方 式利于规模化发展、保证产品质量、扩大销售市场(有效规避市场风险),增加农民收入。(2分) 18.(14分) (1)气温变化特征:从冰川谷地到冰川上部平均温度逐渐降低(随海拔升高气温逐渐降低);(2分) 昼夜温差变化特征:大致随海拔的升高而减小;海拔大致相同的高山草甸处昼夜温差小于岩石和砂土处。 (2分) (2)冰面反射率较高,温度低,近冰面气温低;(2 分)此时为夏季,融冰或冰面蒸发吸热,使得越靠近 冰面温度越低;(2分)冰川表面温差小,气压差小,风速较小,逆温不容易消失。(2分) (3)由于冰川的致冷作用(冰川表面气温低),近冰面空气冷却收缩下沉;(2分)密度较大的冷空气沿冰 川表面向下流动。(2分) 19.(12分) (1)明显退化趋势。(2分) 理由:1981~2022 年,青藏公路沿线多年冻土区活动层厚度呈显著增加趋势;(2 分)2004~2022 年,活 动层底部(多年冻土上限)温度呈显著上升趋势。(2分) (2)气温升高导致蒸发加剧,植被覆盖度和物种丰富度降低;(2 分)植被退化,碳汇(光合作用固碳作 用)减弱;(2分)活动层获得外部能量,融化深度加深,土壤中有机碳释放到大气中,碳源增多,致使气 温升高加剧。(2分) {#{QQABIYKQggCAABAAABgCEQGyCgIQkACCAAgOwBAIoAAByRNABAA=}#}