当前位置:首页>文档>浙江省名校协作体2023-2024学年高三上学期开学适应性考试化学答案_2023年8月_01每日更新_15号_2024届浙江省名校协作体高三上学期开学适应性考试

浙江省名校协作体2023-2024学年高三上学期开学适应性考试化学答案_2023年8月_01每日更新_15号_2024届浙江省名校协作体高三上学期开学适应性考试

  • 2026-04-13 20:17:19 2026-02-13 06:53:24

文档预览

浙江省名校协作体2023-2024学年高三上学期开学适应性考试化学答案_2023年8月_01每日更新_15号_2024届浙江省名校协作体高三上学期开学适应性考试
浙江省名校协作体2023-2024学年高三上学期开学适应性考试化学答案_2023年8月_01每日更新_15号_2024届浙江省名校协作体高三上学期开学适应性考试
浙江省名校协作体2023-2024学年高三上学期开学适应性考试化学答案_2023年8月_01每日更新_15号_2024届浙江省名校协作体高三上学期开学适应性考试
浙江省名校协作体2023-2024学年高三上学期开学适应性考试化学答案_2023年8月_01每日更新_15号_2024届浙江省名校协作体高三上学期开学适应性考试
浙江省名校协作体2023-2024学年高三上学期开学适应性考试化学答案_2023年8月_01每日更新_15号_2024届浙江省名校协作体高三上学期开学适应性考试
浙江省名校协作体2023-2024学年高三上学期开学适应性考试化学答案_2023年8月_01每日更新_15号_2024届浙江省名校协作体高三上学期开学适应性考试

文档信息

文档格式
pdf
文档大小
0.288 MB
文档页数
3 页
上传时间
2026-02-13 06:53:24

文档内容

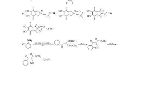
2023 学年第一学期浙江省名校协作体适应性试题 高三年级化学学科参考答案 首命题:学军中学 次命题兼审校:××中学 审核:××中学 一、选择题(本题共16小题,每小题3分,共48分。每小题列出的四个备选项中只有一个 是符合题目要求的,不选、多选、错选均不得分) 题号 1 2 3 4 5 6 7 8 答案 A B B A C D D A 题号 9 10 11 12 13 14 15 16 答案 C A D B C B A C 二、非选择题(本大题共5小题,共52分) 17.(10分) (1) (1分) (2)Fe失去 3 个电子后,形成的Fe3+为3d5半充满,结构稳定,难失去第 4 个电子,所以第 4 电离能比第 3 电离能大很多(2分) (3)C(2分) (4)普鲁士蓝的铁与氰基以配位键结合,剧毒的氰根离子不可能游离出来,因此普鲁士蓝本 身是无毒的(2分) 2 4Mr (5)4(1分) 3 107(2分) 2 N ρ A 18.(10分) (1)2OH-+Cl =H O+Cl-+ClO-(1分) 2 2 (2)Fe2+,Br- (1分) 铁粉(1分) b(1分) (3)5Br-+BrO -+6H+=3Br +3H O(2分) 3 2 2 (4)Br (1分) SO +Br +2H O=H SO +2HBr或用四氯化碳萃取颜色很浅的溶液,观察 2 2 2 2 2 4 溶液下层是否呈棕红色(2分) 稀硫酸(1分) 1 学科网(北京)股份有限公司19.(10分) (1)80.24(1分) (2)BC(1分) (3)AC(2分) 反应Ⅰ吸热,反应Ⅱ、Ⅲ、放热,升高温度,反应Ⅰ平衡正向移动,反应Ⅱ、 Ⅲ平衡逆向移动,三者均使C H 的平衡体积分数增加,且随温度变化明显(2分) 2 4 (4) 96%(2分) (2分) 20.(10分) (1)AD(2分)公众号:全元高考 高温 (2)bd(1分) ZnFe (C O ) ·6H O ZnFe O +2CO ↑+4CO↑+6H O(1分) 2 2 4 3 2 2 4 2 2 (3)D(2分) (4) d→b→c→g→i→f→h→e(1分) 促进Fe3+水解转化为Fe(OH) 沉淀,同时使过量 3 H O 分解除去(2分) 2 2 (5)96.40%(1分) 21.(12分) (1)AD(2分) 2 学科网(北京)股份有限公司(2) 氨基、碳氟键(1分) (2分) (3) ph2O +C 2 H 5 OH(2分) (4) 、 、 、 (3分) (5) CH3OHC=C(COOCH3)2 ph2O H2/Ni DPE (2分) 3 学科网(北京)股份有限公司