当前位置:首页>文档>湖北省宜荆荆随2024届高三上学期10月联考历史(1)_2023年10月_01每日更新_7号_2024届湖北省宜荆荆随高三上学期10月联考

湖北省宜荆荆随2024届高三上学期10月联考历史(1)_2023年10月_01每日更新_7号_2024届湖北省宜荆荆随高三上学期10月联考

  • 2026-03-30 14:14:51 2026-02-13 07:11:13

文档预览

湖北省宜荆荆随2024届高三上学期10月联考历史(1)_2023年10月_01每日更新_7号_2024届湖北省宜荆荆随高三上学期10月联考
湖北省宜荆荆随2024届高三上学期10月联考历史(1)_2023年10月_01每日更新_7号_2024届湖北省宜荆荆随高三上学期10月联考
湖北省宜荆荆随2024届高三上学期10月联考历史(1)_2023年10月_01每日更新_7号_2024届湖北省宜荆荆随高三上学期10月联考
湖北省宜荆荆随2024届高三上学期10月联考历史(1)_2023年10月_01每日更新_7号_2024届湖北省宜荆荆随高三上学期10月联考
湖北省宜荆荆随2024届高三上学期10月联考历史(1)_2023年10月_01每日更新_7号_2024届湖北省宜荆荆随高三上学期10月联考
湖北省宜荆荆随2024届高三上学期10月联考历史(1)_2023年10月_01每日更新_7号_2024届湖北省宜荆荆随高三上学期10月联考
湖北省宜荆荆随2024届高三上学期10月联考历史(1)_2023年10月_01每日更新_7号_2024届湖北省宜荆荆随高三上学期10月联考
湖北省宜荆荆随2024届高三上学期10月联考历史(1)_2023年10月_01每日更新_7号_2024届湖北省宜荆荆随高三上学期10月联考
湖北省宜荆荆随2024届高三上学期10月联考历史(1)_2023年10月_01每日更新_7号_2024届湖北省宜荆荆随高三上学期10月联考
湖北省宜荆荆随2024届高三上学期10月联考历史(1)_2023年10月_01每日更新_7号_2024届湖北省宜荆荆随高三上学期10月联考
湖北省宜荆荆随2024届高三上学期10月联考历史(1)_2023年10月_01每日更新_7号_2024届湖北省宜荆荆随高三上学期10月联考
湖北省宜荆荆随2024届高三上学期10月联考历史(1)_2023年10月_01每日更新_7号_2024届湖北省宜荆荆随高三上学期10月联考
湖北省宜荆荆随2024届高三上学期10月联考历史(1)_2023年10月_01每日更新_7号_2024届湖北省宜荆荆随高三上学期10月联考
湖北省宜荆荆随2024届高三上学期10月联考历史(1)_2023年10月_01每日更新_7号_2024届湖北省宜荆荆随高三上学期10月联考
湖北省宜荆荆随2024届高三上学期10月联考历史(1)_2023年10月_01每日更新_7号_2024届湖北省宜荆荆随高三上学期10月联考
湖北省宜荆荆随2024届高三上学期10月联考历史(1)_2023年10月_01每日更新_7号_2024届湖北省宜荆荆随高三上学期10月联考

文档信息

文档格式
docx
文档大小
2.021 MB
文档页数
12 页
上传时间
2026-02-13 07:11:13

文档内容

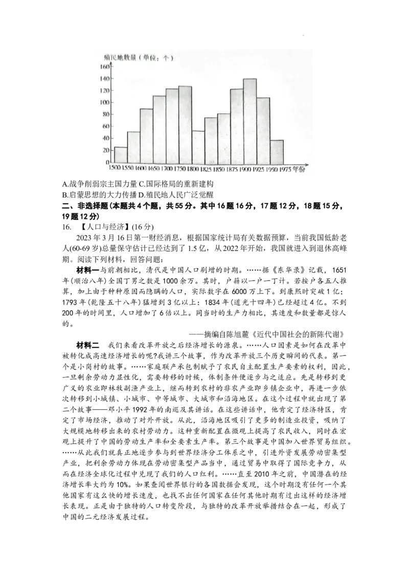
2023年宜荆荆随高三10月联考 高三历史试卷 考试时间:2023年10月5日上午10:30-11:45 注意事项: 1.答题前,先将自己的姓名、准考证号、考场号、座位号填写在试卷和答题卡上, 并将准考证号条形码粘贴在答题卡上的指定位置。 2.选择题的作答:每小题选出答案后,用 2B铅笔把答题卡上对应题目的答案标号 涂黑。写在试卷、草稿纸和答题卡上的非答题区域均无效。 3.非选择题的作答:用黑色签字笔直接答在答题卡上对应的答题区域内。写在试 卷、草稿纸和答题卡上的非答题区域均无效。 一、选择题(本大题共15小题,每小题3分,共45分。在每小题列出的四个选项中, 只有一项符合题意) 1.下图为2019年考古学家在湖北随州发现的春秋中晚期曾国曾侯宝夫人、楚王女儿芈 加墓出土的部分文物及其铭文: 上述记载表明() A.曾与随是同一个诸侯国的不同称呼B.曾随之谜的问题依然没有得到解决 C.文物考古与文献记载必须相互印证D.中国古代的青铜铸造技术领先世界 2.东晋名士桓伊虽出身累世为官的门阀士族,但他为人谦素,文武双全,淝水之战后, 因军功封侯,为政宽恤,安抚士民、“百姓赖焉”,后卒于任上,谥号烈。他还是著名 的音乐家,善吹笛,号称“江左第一",有“笛圣”之称,相传著名琴曲《梅花三弄》就 是根据他的笛谱而改编。据此可知( ) A.桓伊凭借才艺扬名于世B.依靠淝水之战成就桓伊 C.应注重人物的阶级属性D.评价人物应有开放思维 3. 《千金方》是人称“药王”的唐代孙思邈所作的综合性临床医著,他认为生命的价 值贵于千金,而一个处方能救人于危殆,价值更当胜于此,医生首先要确立"普救含灵 之苦"的志向;书中所载医论、医方较系统地总结了唐代以前的医学成就。这部医书() A.渗透了大量佛教轮回思想B.包含经世致用的实学思潮 C.医德伦理观念的特色突出D.标志着中医临床理论诞生 4.朱瑞熙先生从以下五个方面来论述宋代商人:“首先,是商人可以送其子弟进入官办 的州县学就读;其次,是商人被允许参加科举考试和出任官职;第三,是商贾可以通 过向官府进纳钱粟而跻入仕途……"。对于宋代商人的认识最符合材料主旨的是() A.商人的政治地位得到了普遍提高B.商人群体的阶级属性发生了变化 学科网(北京)股份有限公司C.文化水平影晌了商人的社会地位 D.商人所处社会环境有一定开放性 5.乾降年间各地陆续出现一系列“叫观”案件,从浙江始发波及全国。乾隆因发现其中 有偷剪别人头发的作案手段,“叫魂”案随即被定性为“反叛”,要求严查重判,造成 社会上人心惶惶。军机大臣们老成持重,他们采取的措施是一面重视和查办,一面刻 意把矛盾的案情信息大量送乾隆审阅,十个月后,乾隆不得不低调叫停追查该类案件。 据此可推知( ) A.军机处利用职权可以轻易干预司法审判 B.军机处具有对皇权的东方式柔性约束力 C.乾隆年间民间反清组织仍有很强的势力 D.清代中期皇帝不满官僚系统的行政效率 6.1855年10月,在厦门的街道上到处粘贴着一份绅商所写的揭帖,揭露了外国殖民者 在厦门成为通商口岸之后,雇佣一些心术不正的叛徒,通过各种手段,诱骗老实的人 民,然后通过海运把这些受骗人卖到外国进行强迫劳动的事情。揭贴所揭露的内容反 映了() A.官府借告示揭露殖民者给中国带来灾难 B.西方资本主义具有扩张掠夺的本质属性 C.以华制华是外国殖民者侵略中国的方式 D.劳务输出成为中国对外交流的途径之一 7. 1929年之后,上海公共租界的房地产市场以惊人的速度增长。过热的房地产投资, 加上投机性的交易,地产价格抬升,已经远远超过了企业与个人能够支付的租金水平。 据此可知,当时的中国( A.官僚资本家正疯狂进行投机B.市场上有大量外国商品输入 C.经济危机引发资本异向流动D.民族资本主义发展势头强劲 8.下图所示的是解放战争时期的一次重大军事行动,据此可知() A.国民党傅作义集团沿长城一线固守B.中央军委为聚歼敌军作出周密部署 C.人民解放军的战略进攻拉开了序幕D.平津战役基本消灭了国民党军主力 9.那时候,中国的奇迹有很多,林县的红旗渠,南京长江大桥、八万座大中型水库,大 江大河的治理;成渝铁路、成昆铁路、三线建设、两弹一星、首都十大建筑、许多重 大科技突破、建立中国工业的基本构架……奇迹数也数不清。这些奇迹() A.得益于人民长期凝聚形成的巨大力量B.大多数都诞生在第一个五年计划时期 C.有力推动新中国产业结构的合理布局D.为恢复国民经济提供了基础设施保障 10.1979年5月,81岁的美国石油大亨哈默受中国领导人邓小平的邀请,并经中国民航 部门给予“特事特办”,他有幸成为第一位乘坐私人飞机访问中国的西方企业家。此后, 哈默与中国政府签订了一系列经济合作协议。中方通过对哈默访华的重视() A.进一步推动中美两国的建交进程 B.展现给世界对外开放的真诚姿态 学科网(北京)股份有限公司C.突破了美国建立的“石油美元体系” D.拉动美国商界加大对华投资力度 11.英国学者布勒德在《英国宪政史谭》描述说:“无论如何,自 1086年以后,所有佃 户,不问其所领之土地系直接得之于王者,或间接得之于贵族地主者,其对于王均属 直接之人民。姑无论其间接属之于贵族地主也,所谓率土之滨,莫非王臣是也。”据 此可知,当时的英国() A.开始了封建化的过程B.实行的是贵族民主制 C.强化了封建君主权力D.移植法国的封臣制度 12.如图中A、B两处是16世纪时的两个极盛的国家。它们分别是() A.玛雅、加纳B.阿兹特克、阿克苏姆 C.印加、桑海D.马里、大津巴布韦 13.下表是美国钢铁业统计表 此表所反映的19世纪后期美国钢铁业发展变化的主要特征是( ) A.生产和资本走向集中B.行业竞争非常激烈 C.劳动生产率快速提高D.企业规模数量扩展 14.戴高乐从1958年开始连续当了11年法国总统,任内他把主要精力放在对外事务上。 他支持发展核武器、制定泛欧洲外交政策、努力减少美国和英国的影响、促使法国退 出北约、反对英国加入欧洲共同体、承认中华人民共和国,这一系列思想政策被称为 “戴高乐主义”。对法国“戴高乐主义”认识正确的是() A.保持战后国际主导地位是其主要的出发点 B.欧共体的成立促使法国外交政策及时转变 C.突出体现了摆脱美苏外交掣肘的现实要求 D.是重塑大国形象提高国际地位的当然选择 15.下图为殖民扩张和收缩的两个长周期示意图(500-1975年)。其中两个殖民收缩期出 现的相同原因主要是() 学科网(北京)股份有限公司A.战争削弱宗主国力量C.国际格局的重新建构 B.启蒙思想的大力传播D.殖民地人民广泛觉醒 二、非选择题(本题共4个题,共55分。其中16题16分,17题12分,18题15分, 19题12分) 16. 【人口与经济】(16分) 2023年3月16日第一财经消息,根据国家统计局有关数据预算,当前我国低龄老 人(60-69岁)总量保守估计已经达到了1.5亿,从2022年开始,我国就进入到退休高峰 期。阅读下列材料,回答问题: 材料一与前朝相比,清代是中国人口剧增的时期。……据《东华录》记载,1651 年(顺治八年)全国丁男之数是1000余万。其时,户籍以一户一丁计。若按户各五人推 算,加上由于种种原因而隐瞒的人口,实际数字在 6000万上下。到康熙时突破1亿; 1793年(乾隆五十八年)猛增到3亿以上:1834年(道光十四年)已经超过4亿。不到 200年的时间里,人口增加了6倍以上。同当时的生产力相比,其速度和数量都是惊人 的。 ——摘编自陈旭麓《近代中国社会的新陈代谢》 材料二 我们来看改革开放之后经济增长的源泉。……人口因素是如何在改革中 被转化成高速经济增长的呢?我讲三个故事,作为改革开放三个历史瞬间的代表。第一 个是小岗村的故事。……家庭联产承包制赋予了农民自主配置生产要素的权利,因此, 一旦剩余劳动力显性化,需要转移的时候,体制条件便逐步与之适应。先是转移到更 广义的农业即林牧副渔产业上,继而转到农村的非农产业即乡镇企业中,再进一步依 次转移到小城镇、小城市、中等城市、大城市和沿海地区。在这个过程中就出现了第 二个故事——邓小平1992年的南巡及其讲话。在这些讲话中,他肯定了经济特区,肯 定了市场经济,推动了对外开放。从此,沿海地区吸引了更多的制造业投资,吸纳了 大规模地转移出来的农村劳动力。这种重新配置在微观上提高了农民收入,同时在宏 观上提升了中国的劳动生产率和全要素生产率。第三个故事是中国加入世界贸易组织。 ……从此我们就真正地逐步参与到世界经济分工体系之中,引进外资发展劳动密集型 产业,把利余劳动力体现在劳动密集型产品当中,通过贸易中取得了国际竞争力,从 而在经济全球化过程中兑现了我们的人口红利。……直至2010年之前,中国潜在的经 济增长率大约为10%。如果查阅世界银行的各国数据会发现,这个时期没有任何一个其 他国家有这么快的增长速度,也找不出任何国家在任何其他时期有过出这样的经济增 长表现。正是由于独特的人口转变阶段,与独特的改革开放举措结合在一起,形成了 中国的二元经济发展过程。 学科网(北京)股份有限公司——中国社会科学院蔡昉教授在首届中国发展理论国家年会上的发言 (1)根据材料一并结合所学,简析清代人口数剧增的原因及造成的影响。(8分) (2)根据材料二并结合所学,分析改革开放后人口因素是如何推动社会主义建设的?结合 上述材料谈谈对今天中国的启示。(8分) 17. 【中共文艺政策与抗战歌曲】(12分) 材料一毛泽东《在延安文艺座谈会上的讲话》中强调,文艺是一条革命的“战 线”。在中共文艺政策的指导下,太行根据地的八路军战士和普通百姓都热衷于唱抗 战民歌。他们常常将太行山民歌在歌词内容与演唱形式上进行改造。如《我送哥哥上 前线》《当不了英雄别登门》《送郎去参军》《送青年们去参军》《哥哥扛上了机关 枪》《参军曲》等生动再现了全民动员积极参军的情景。 ——摘编自杨丽琴《抗战歌曲的历史记忆———以太行山抗战民歌为考察对象》 材料二 文化抗战的组织形式,是中共领导的抗日民族文化统一战线。在音乐抗战 领域,中共领导的音乐界抗战活动开始自“九一八”事变后。进步音乐界人士创作了 大批抗战歌曲。全面抗战后,进步音乐界创作了大批反映抗战、鼓动群众的歌曲,如 《到敌人后方去》《在太行山上》《大刀进行曲》《游击队歌》等,提振了抗日士气, 坚定了抗战决心。其中《义勇军进行曲》《黄河颂》等更是成为中华民族精神的象征, 鼓舞千千万万爱国人士为民族解放和民族独立而献身。 ——摘自王继平、罗雅真《中国共产党领导的文化抗战与中华民族精神的凝聚》 (1)根据材料并结合所学,概括抗战歌曲创作的主要特征。(6分) (2)根据材料并结合所学,简述中共抗战时期文艺政策的历史作用。(6分) 18. 【大航海与海洋格局】(15分) 材料一直到15世纪之后人类世界才真正开始尝试相互碰撞、物资交换,开始了相 互支配和冲突以及文化的交流。大洋航海之路一旦被打开,世界各大陆迅速实现了相 互连结。海洋不再是交流的障碍,开始扮演超高速公路的角色。各文明圈和生态界的 各要素向全世界扩散,我们生活的近代世界也随之经历了激变。……最初世界海路的 开拓毫无疑问是欧洲航海人的功绩。 -(韩)朱京哲《深蓝帝国:海洋争霸时代1400-1900》 材料二 就海上格局而言,人类历史大致经历了16世纪前的区域格局阶段、1500 —2000年的单极主导阶段,以及正在进入的一个多极格局阶段。 —摘自胡波《从霸权更替到“多极制衡”——16世纪以来的海上格局演变》 (1)根据材料一并结合所学,回答“最初世界海路的开拓毫无疑问是欧洲航海人的功 学科网(北京)股份有限公司绩”的原因,并概括“大洋航海之路”打开对人类社会发展的影响。 (8分) (2)结合材料二和所学知识,对材料二曲线图所示的海洋格局予以说明。(7分) 19.【李大钊与史学研究】(12分) 材料 李大钊作为中国马克思主义史学的奠基者之一,在阐释、传播唯物史观方 面作出了重要贡献。1916年,李大钊曾撰写《民彝与政治》一文,认为人民的意志和 力量在历史运动中起着决定的作用。后来,他还写了《庶民的胜利》《平民政治与工 人政治》等文章。1919年,李大钊发表《我的马克思主义观》一文,指出“历史的唯 物论者,既把种种社会现象不同的原因,总约为经济的原因,更依社会学上竞争的法 则,认许多组成历史明显的社会事实,只是那直接,间接,或多,或少,各殊异阶级 间团体竞争所表现的结果。他们所以牵入这竞争中的缘故,全由于他们自己特殊经济 上的动机。”。1920年,李大钊撰写《由经济上解释中国近代思想变动的原因》,指出 “凡一时代,经济上若发生了变动,思想上也必发生变动。换句话说,就是经济的变 动是思想变动的重要原因”。 ——摘编自《中国史学史》 阅读材料,任选中外历史上的一个史事(历史事件或历史现象),运用材料中李大钊 阐释的唯物史观进行解释。(要求:观点明确,史论结合,表述成文。) 学科网(北京)股份有限公司2023年宜荆荆随高三10月联考高三历史试卷参考答案 1. 【答案】A 【考点】文物与考古 【解析】根据铭文“楚王滕随仲芈加”,可知在曾国的墓葬中发现了随国的信息,说明 曾与随是同一个诸侯国的不同称呼,“曾随之谜”的争论得以平息,所以 A项正确, B项错误。中国的传世文献中从来没有曾国的记载,但1978年曾侯乙墓的发现却证明 历史上湖北随州确实存在一个姬姓曾国,而史籍中明确记载这一地区的只有一个随国, 却从未见随国青铜器出土,文献记载与考古发现存在不一致,而2019年的考古发现则 解决了文物考古和文献记载不一致的矛盾,弥补了文献史料中对曾国记载的空白,故 C项说法错误。曾侯宝夫人墓出土的铜缶是青铜器,但材料体现不出中国古代的青铜 铸造技术领先世界,故D项错误。 2. 【答案】D 【考点】人物评价 【解析】此题为人物评价题,桓伊既是猛将、又是名士、也是忠臣,集豪情、才情、 悲情于一身,不只有笛艺的风流,不只有淝水之战的战功,不能因为出身累世为官的 门阀士族而否定他,故排除A、B、C三项,选D。 3. 【答案】C 【考点】中国古代医学 【解析】孙思邈认为生命的价值贵于千金,医生首先要确立“普救含灵之苦”的志向, 体现《千金方》这部医书医德伦理观念的特色突出,故选C。材料没有体现佛教轮回 及经世致用思想,排除A项、B项。中医学理论体系形成的标志是先秦秦汉时期所出 现的《黄帝内经》,《千金方》是一部综合性临床医著,排除D项。故此题答案为C。 4. 【答案】D 【考点】宋代商人 【解析】材料强调的是宋代商人社会地位提高的途径多元化,并不能直接判断商人的 社会地位是否得到了明显提高,阶级属性是否发生了变化,但却可以体现宋代商人改 变自身地位的途径多元化,社会环境具有开放性特征,故A、B不准确,D符合材料主 旨;文化水平只符合“其次”的内容,不是材料主旨,故C不准确。 5. 【答案】B 【考点】清朝的军机处 【解析】叫魂案源于浙江德清乡下的沈姓农夫,他要求石匠将写有人名的符粘在桥桩 上,然后用锤子砸此符以泄私愤。石匠揭发检举了农夫,最后县衙将其抓捕。乾隆年 间小小的叫魂案将当时整个中国的社会众生相、官场套路和官僚体制特色描绘得详实 生动。对于乾隆,他担心的是汉人是否真的接受了满人统治,加上江浙一带是以前反 清复明的根据地,叫魂案正好给了他整肃朝纲的机会,通过直接督办此案来斥责、罢 免他不喜欢的官员,从而强化君权。而地方官起初对叫魂案多以息事宁人处理,但随 着皇帝的重视,在上级压力下地方官为了迎合上级便纵容、鼓励部下制造冤假错案, 以显示忠心与政绩,官场腐败,司法混乱。乾隆身边的军机大臣凭借丰富的政治阅历 不信真有强大的敌对势力,他们不想社会与朝廷由此混乱,但又不得不配合皇帝,所 以假装积极配合,实际上劝皇帝收手。军机大臣不惜设法规劝皇帝的同时还要给他留 足面子,煞费苦心,体现出东方式的柔性约束。盛世繁华下危机四伏,小小的案件就 可能引发社会动荡,而官员与皇帝的博弈也暂时维持安稳。故此题答案为B。 学科网(北京)股份有限公司6. 【答案】B 【考点】列强侵华、资本主义的罪恶 【解析】据材料可知揭帖的作者是绅商群体,属于民间自发行为,与官府无关,排除 A项;根据材料“外国殖民者……把这些受骗者卖到外国进行强迫劳动”可知,殖民 者的目的是掠夺人口,填补其他国家的劳动力短缺,从而实现资本主义的发展,这反 映了资本主义扩张掠夺的本质属性,B项正确;以华制华是外国资本主义在19世纪后 期采取的侵略中国的策略之一,与材料显示时间1855年不符,排除C项;D项不是材 料所表达的主旨,排除D项。故此题答案为B。 7. 【答案】C 【考点】经济危机与中国市场 【解析】官僚资本主义指半殖民地半封建国家中的买办的、封建的国家垄断资本主义。 中国官僚资本主义产生于1927年,以四大家族为代表,在解放战争时期蓬勃发展,在 1929年时期还比较薄弱,没有较强的资本基础支撑其疯狂投机,排除 A项。大量外国 商品输入不符合材料,排除B项。1929年之后,由于经济大危机的影响,许多国家通 过放弃金本位使本国货币贬值以达到增强出口竞争力的目的,这一举动直接导致中国 的货币相对升值。有限的资金找不到获利机会,纷纷涌向房地产,改变了资本流向, 从而导致房地产的狂热现象,故C项正确。据材料可知,房地产出现狂热现象是由于 资金在国内其他产业找不到获利机会,纷纷涌向房地产所致,无法从中得出民族资本 主义生产经营情况,另外,联系时代背景可知,当时的中国受到经济大萧条和世界货 币秩序变动的波及,民族资本主义发展也会受到一定影响。排除 D项。故此题答案为 C。 8.【答案】B 【考点】解放战争 【解析】从地图中的张家口、北平、天津这些地名可知这是解放战争中的平津战役。 根据所学,平津战役成功地将国民党军傅作义集团滞留于华北地区,进行战略包围和 战役分割,予以各个歼灭,并以军事压力与政治争取相结合,实现了北平守军的和平 改编,故A项错误,B项正确。战略进攻拉开序幕的是刘邓大军挺进大别山,排除 C 项。平津战役基本解放了华北全境,基本消灭国民党军主力是三大战役,排除 D项。 故此题答案为B项。 9.【答案】A 【考点】社会主义建设的成就 【解析】材料所列举的是六七十年代社会主义建设的成就,这一时期能创造众多奇迹, 得益于人民群众在中国共产党领导下,在爱国主义、社会主义旗帜下长期凝聚形成的 巨大力量,故选A项。B项、D项时间不符合。C项只与上述奇迹中的部分内容有关, 排除。 10. 【答案】B 【考点】新中国的外交 【解析】中美两国的建交时间是1979年1月,美国石油大亨哈默访华是在中美建交之 后排除A项。1979年5月还是改革开放的初期,西方国家对中国还不了解,中方对哈 默访华的重视向世界展现出中国对外开放的真诚姿态,故选B项。C项与材料无关。 那时西方国家对中国还不了解,投资几乎为零,更谈不上加大,D项错误。 11. 【答案】C 【考点】封君封臣制度 【解析】根据时间信息,此时的英国处在1066年诺曼征服之后,诺曼征服前英国已开 学科网(北京)股份有限公司始了封建化过程,诺曼征服加速了英国封建化进程,排除 A项。诺曼征服前,英国社 会的政治制度是贵族民主制,国王和贤人会议共同实行统治,排除B项。诺曼征服后, 国王成为全国土地的最高所有者,他通过土地分封,建立了完备的封建君臣制度,国 王是名符其实的最高统治者,所有封建土地持有者都是国王的封臣,根据材料"所有佃 户,….其对于王均属直接之人民",可知征服者威廉强化了封建君主权力,C项正确。 征服者威廉在英国树立强有力的王权,他不但要求直属的附庸宣誓效忠,而且也要求 臣下的附庸宣誓效忠并服兵役,这和法国流行的封臣只对直接封主效忠的制度迥然不 同,排除D项。故此题答案为C。 12.【答案】C 【考点】16世纪的美洲非洲国家 【解析】考查学生时空的观念,特别是空间观念。据本题材料和所学可知,图中A、B 两处分别对应的是美洲的印加和非洲的桑海,它们在16世纪曾是极盛的国家,故A项 错误,C项正确。阿兹特克在今墨西哥地区,在 A处更北的位置,阿克苏姆王国在东 非,4世纪进入鼎盛时期,排除B项。马里是西非强国,在B处更北的位置,南非的 大津巴布韦在14--15世纪而非16世纪成为极盛的国家,排除D项。故选C项。 13.【答案】A 【考点】第二次工业革命 【解析】从表格中的数据可以看出,企业数量虽然减少,但产量和投资额都在增长, 这说明生产和资本走向集中。故此题答案为A项。 14. 【答案】D 【考点】戴高乐主义 【解析】法国在战后已经不再具有国际主导地位,所以不存在保持主导地位,故 A项 错误;欧共体成立的时间是1967年,与材料的时间信息不符,故B项错误;材料主旨 体现的是法国崛起,力图摆脱美国的控制,展开独立自主的外交,尤其是“制定泛欧 洲外交政策”、“承认中华人民共和国”等,突出体现的是摆脱美国的外交掣肘,对 于苏联用“突出体现”不准确,C项不准确,故选D项。 15.【答案】A 【考点】殖民体系的瓦解 【解析】据图可知,在19世纪初期出现第一个殖民收缩期,20世纪以来尤其是二战后 出现另一个殖民收缩期,第一个殖民收缩期是因为拿破仑战争严重削弱了欧洲殖民地 国家的军事力量,第二个殖民收缩期与两次世界大战削弱了欧洲国家的实力有关,所 以两次殖民收缩期的共同原因是战争削弱宗主国力量,故选 A项;19世纪初期拉丁美 洲有启蒙思想的传播,两次世界大战后民族独立运动的发展也有自由、民主、平等和 民族自决等进步思想的传播,但思想传播不是最主要的原因,排除 B项;从19世纪初 期到二战结束前,世界格局的中心仍在欧洲,并没有国际格局的重新构建,排除C项; 两个殖民收缩期的出现都离不开殖民地人民的觉醒与独立运动,但殖民地人民的广泛 觉醒是在二战后,排除D项。故此题答案为A项。 16.【参考答案及评分细则】 (1)原因:政治稳定;农耕经济的繁荣;赋税户籍制度的变革;高产农作物的引进;政 府鼓励垦荒的政策;多子多福等传统观念的影响。(任意答两点得4分) 影响:为经济发展提供充足的劳动力,促进资本主义萌芽发展;有利于精耕细作农业 的发展;加快了人口流动和迁移;造成人地矛盾尖锐;过度开发造成生态环境破坏; 一定程度上带来社会不稳定,加剧阶级矛盾。(从积极和消极两个角度作答各得2分, 共4分) 学科网(北京)股份有限公司(2)改革开放促进了劳动力资源的优化配置,加快了非农产业的发展;加快了城镇化建 设;中国加入WTO有利于国际分工,加快劳动密集型产业的发展,增强国际竞争力。 (任意答两点得4分) 启示:制定适宜的人口政策;优化人口结构;加快产业结构转型升级;重视农业发展, 保障粮食安全;实行绿色可持续发展。(任意答两点得4分) 【解析】本题考查学生对于历史上不同时期人口增长的原因及对当时造成的影响,同 时分析对今天中国的借鉴意义。综合考察学生的唯物史观、史料实证、家国情怀等综 合素养。 17.【参考答案及评分细则】 (1)主要特征: ①创作意图明确服务于抗战,或动员参军,或提振士气; ②创作主体多元,或为音乐界人士,或为将士,或为百姓; ③创作成果丰富多彩,影响深远,经典作品较多; ④创作形式多样,或改编民歌,或进行原创。(6分,任意答3点得6分) (2)历史作用: ①建立并巩固了抗日民族文化统一战线,凝聚了中华民族精神; ②宣传了中共抗战政策,鼓舞了抗战士气,为抗战胜利注入了精神动力;③推动了抗 战文化的勃兴,促进了抗战精神的形成。 ④为中共以后文艺政策的制定提供了借鉴。(3点6分,其它言之成理亦可给分) 【解析】第一问根据两段材料,可从创作意图、创作主体、创作成果、创作形式等角 度概括抗战歌曲创作的主要特征。第二问可结合材料中的“抗日民族文化统一战线”, “抗战士气”、“中华民族精神”等关键词组织语言简述抗战时期文艺政策的历史作用, 还可从抗战文化、抗战精神的角度作答,长远的历史作用可从继承和发扬革命文艺传 统,为中共以后文艺政策的制定提供借鉴来作答。 18. 【参考答案及评分细则】 (1)原因:欧洲资本主义萌芽的产生发展;商业危机下传统商路不能满足欧洲人对亚洲 香料、奢侈品的需求;传播基督教的热情;(任答两点4分) 影响:推动了商品、物种、人口等的全球流动;加强了世界各地联系,使世界逐渐成 为一个整体;推动了人类社会从封建主义向资本主义的转型。(任答两点得4分,其它 言之有理可酌情给分) (2)1500年前后,地理大发现和大航海开启了世界海上单极霸权的时代,葡萄牙、西班 牙、荷兰先后主导海上霸权;18世纪以后,英国逐渐确立海上霸权,海上单极格局在 英国霸权时代到达巅峰;20世纪后海上单极格局开始步入下降趋势,逐渐向多极化方 向发展。可见,16世纪以来西方主要资本主义国家主导了海洋霸权,海上格局演变由 单一国家的霸权趋向多极化制衡趋势。(分三个时段作答共6分,总结1分,共7分) 【解析】 (1)根据材料一并结合所学,多角度分析大洋航海之路开辟的原因和影响。 (2)观察1500年以来海上单极的相对权力变化曲线图,逐段分析16世纪以来的海上格 局演变:16—17世纪,葡萄牙、西班牙、荷兰先后成为海上霸主。17世纪中后期,在 与英国海战失利后,荷兰霸主地位被取代。18世纪至19世纪初,英国多次击败法国, 维持了海上霸权。两次世界大战之间,美国海权崛起,英、美、法、日等海权国家并 立。二战结束后,美国海军成为独一无二的海上力量。21世纪以来,‘海上多极’趋 势明显”。可知,16世纪以来主导海洋霸权的是西方主要资本主义国家,海上格局演 变由单一国家的霸权趋向多极制衡趋势。 学科网(北京)股份有限公司19. 【参考答案及评分细则】 示例一:百家争鸣 (2分) 基本观点:经济基础决定上层建筑(2分) 解释:春秋战国时期,经济得到重大发展,铁农具开始使用,牛耕也得到推广;手工 业分工更加细密;货币流通广泛,人口众多、商贾云集的中心城市出现。社会经济发 展,促使阶级关系出现新变化,新兴的士阶层崛起。(6分) 百家争鸣是春秋战国时期社会经济发展、阶级关系变化在思想领域的反映,是中国历 史上第一次思想解放运动。这体现了唯物史观中的“经济基础决定上层建筑”。(2分) 示例二:文艺复兴运动(2分) 基本观点:经济基础决定上层建筑(2分) 解释:西欧中世纪晚期,欧洲的历史开始进入了近代文明的黎明期。在意大利的佛罗 伦萨、威尼斯等地,工商业已经有了长足发展,一些城市还出现了资本主义萌芽,新 兴资产阶级开始走上政治舞台,他们需要新的意识形态,为他们所追求的政治、经济 利益辩护,他们需要新的学术、新的文化,为他们所做的一切给予支持。他们打着复 兴希腊罗马古典文化的旗号,宣扬新思想和新文化。这样,一种完全崭新的近代精神 就产生了。(6分)文艺复兴冲击了欧洲封建秩序,解放了人性,是近代欧洲第一次思想 解放运动,推动欧洲历史发展。这体现了唯物史观中的“经济基础决定上层建筑”。 (2分) 示例三:新民主主义革命(2分) 基本观点:人民群众在社会发展中的重要作用(2分) 解释:1919年,五四运动爆发,广大人民群众为挽救民族危亡积极参与,凝聚了民族 力量,推动了社会进步。1924年,以“打倒列强,除军阀”为目标的国民革命席卷全 国,国民大革命基本推翻了北洋军阀的反动统治。土地革命战争时期,农村革命根据 地广泛建立,土地革命"打土豪,分田地",受到广大农民的欢迎,农民支持革命,革命 新道路得以开辟。抗日战争时期,抗日民族统一战线建立,全民族团结抗战,赢得了 近代以来中国抗击外敌入侵所取得的第一次完全胜利,为维护世界和平作出了巨大贡 献。(6分) 由此可以看出人民群众是历史发展的推动者。(2分) 【解析】 本题考查的是史学研究的基本方法,考查考生阅读史料、获取与解读信息、调动与运 用知识等能力和史料实证、历史解释等素养。 首先概括材料中李大钊阐释的唯物史观。根据材料"历史的唯物论者,既把种种社会现 象不同的原因总约为经济的原因,更依社会学上竞争的原则,认许多组成历史明显的 社会事实"可概括出经济基础决定上层建筑(从经济现象去研究历史和说明历史;思想变 动的根本原因是经济变动);根据材料“各殊异阶级间团体竞争所表现的结果”可分析出 阶级斗争学说;根据材料“认为人民的意志和力量在历史运动中起着决定的作用。” 可分析出人民群众在历史发展中的重要作用。然后结合李大钊的以上观点,任意选取 中外历史上的一个史事,再运用上述唯物史观理论进行解释。 学科网(北京)股份有限公司学科网(北京)股份有限公司