当前位置:首页>文档>黄金卷03-赢在高考·黄金8卷备战2024年高考数学模拟卷(新高考Ⅰ卷专用)(参考答案)_2024高考押题卷_92024赢在高考全系列_赢在高考·黄金8卷备战2024年高考数学模拟卷

黄金卷03-赢在高考·黄金8卷备战2024年高考数学模拟卷(新高考Ⅰ卷专用)(参考答案)_2024高考押题卷_92024赢在高考全系列_赢在高考·黄金8卷备战2024年高考数学模拟卷

  • 2026-03-18 13:09:01 2026-02-14 02:34:01

文档预览

黄金卷03-赢在高考·黄金8卷备战2024年高考数学模拟卷(新高考Ⅰ卷专用)(参考答案)_2024高考押题卷_92024赢在高考全系列_赢在高考·黄金8卷备战2024年高考数学模拟卷
黄金卷03-赢在高考·黄金8卷备战2024年高考数学模拟卷(新高考Ⅰ卷专用)(参考答案)_2024高考押题卷_92024赢在高考全系列_赢在高考·黄金8卷备战2024年高考数学模拟卷
黄金卷03-赢在高考·黄金8卷备战2024年高考数学模拟卷(新高考Ⅰ卷专用)(参考答案)_2024高考押题卷_92024赢在高考全系列_赢在高考·黄金8卷备战2024年高考数学模拟卷
黄金卷03-赢在高考·黄金8卷备战2024年高考数学模拟卷(新高考Ⅰ卷专用)(参考答案)_2024高考押题卷_92024赢在高考全系列_赢在高考·黄金8卷备战2024年高考数学模拟卷
黄金卷03-赢在高考·黄金8卷备战2024年高考数学模拟卷(新高考Ⅰ卷专用)(参考答案)_2024高考押题卷_92024赢在高考全系列_赢在高考·黄金8卷备战2024年高考数学模拟卷
黄金卷03-赢在高考·黄金8卷备战2024年高考数学模拟卷(新高考Ⅰ卷专用)(参考答案)_2024高考押题卷_92024赢在高考全系列_赢在高考·黄金8卷备战2024年高考数学模拟卷
黄金卷03-赢在高考·黄金8卷备战2024年高考数学模拟卷(新高考Ⅰ卷专用)(参考答案)_2024高考押题卷_92024赢在高考全系列_赢在高考·黄金8卷备战2024年高考数学模拟卷
黄金卷03-赢在高考·黄金8卷备战2024年高考数学模拟卷(新高考Ⅰ卷专用)(参考答案)_2024高考押题卷_92024赢在高考全系列_赢在高考·黄金8卷备战2024年高考数学模拟卷
黄金卷03-赢在高考·黄金8卷备战2024年高考数学模拟卷(新高考Ⅰ卷专用)(参考答案)_2024高考押题卷_92024赢在高考全系列_赢在高考·黄金8卷备战2024年高考数学模拟卷
黄金卷03-赢在高考·黄金8卷备战2024年高考数学模拟卷(新高考Ⅰ卷专用)(参考答案)_2024高考押题卷_92024赢在高考全系列_赢在高考·黄金8卷备战2024年高考数学模拟卷
黄金卷03-赢在高考·黄金8卷备战2024年高考数学模拟卷(新高考Ⅰ卷专用)(参考答案)_2024高考押题卷_92024赢在高考全系列_赢在高考·黄金8卷备战2024年高考数学模拟卷

文档信息

文档格式
docx
文档大小
0.409 MB
文档页数
7 页
上传时间
2026-02-14 02:34:01

文档内容

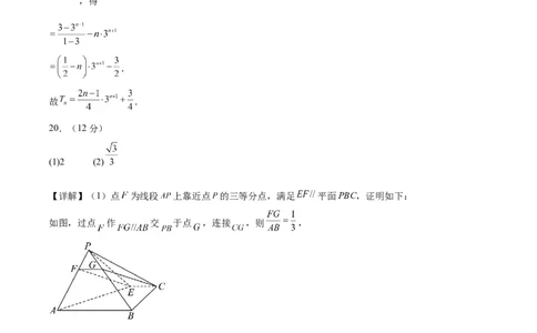
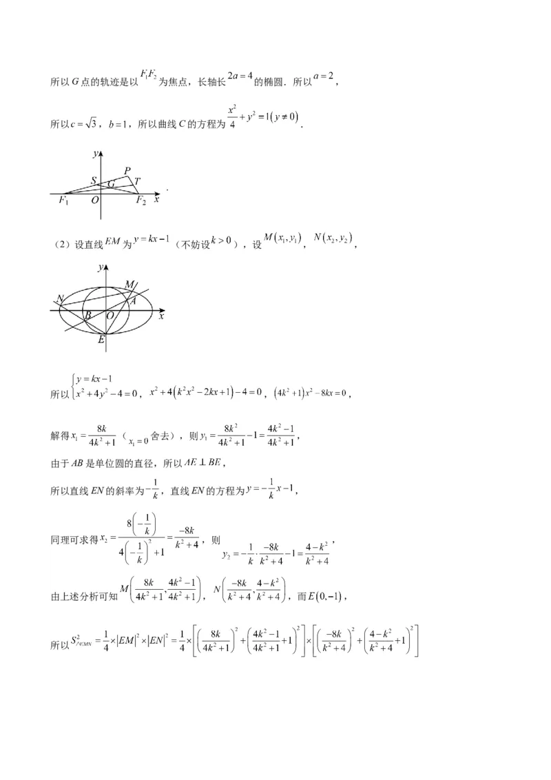
【赢在高考·黄金8卷】备战2024年高考数学模拟卷(新高考 卷专用) Ⅰ 黄金卷03·参考答案 (考试时间:120分钟 试卷满分:150分) 第 I 卷(选择题) 一、单项选择题:本题共8小题,每小题5分,共40分,在每小题给出的四个选项中,只有一项是符合要 求的。 1 2 3 4 5 6 7 8 B A D D A A B D 二、多项选择题:本题共4小题,每小题5分,共20分,在每小题给出的四个选项中,有多项符合题目的 要求,全部选对的得5分,部分选对的得2分,有选错的得0分。 9 10 11 12 BD ACD ABD BCD 第 II 卷(非选择题) 三、填空题:本题共4小题,每小题5分,共20分。 13. 14.9 16.4 16. 四、解答题:本题共6小题,共70分,解答应写出必要的文字说明、证明过程及验算步骤。 17.(10分) (1) (2) 【详解】(1)解:因为 ,由正弦定理可得 , 所以, , 因为 、 ,所以, ,则 ,故 . (2)解:因为 , , , 由余弦定理可得 ,则 ,由正弦定理可得 ,所以, . 18.(12分) (1) ;(2)分布列见解析,数学期望为 元. 【详解】(1)由题意,要使小刘第一关闯关成功,但所得总奖金为零, 选择闯第二关且失败,或选择闯第二关且成功,又选择闯第三关且失败, 所以小刘第一关闯关成功,但所得总奖金为零的概率 . (2)由题意, ,且 , , , , X的分布列如下: 0 1000 3000 6000 元. 19.(12分) (1) (2) 【详解】(1)由已知得 , , 所以 ,① 当 时, ,② ,得 , 也符合该式,所以 . (2)由(1)得 , 所以 ,③ ,④ ,得 . 故 . 20.(12分) (1)2 (2) 【详解】(1)点 为线段 上靠近点 的三等分点,满足 平面PBC,证明如下: 如图,过点 作 交 于点 ,连接 ,则 , 又 , ,所以 .因为 ,所以 , 所以四边形 为平行四边形,有 , 又 平面 , 平面 ,所以 平面 . 此时有 . (2) , 为等腰直角三角形,, , , . 取 的中点 ,以 为坐标原点, 为 轴建立如图所示的空间直角坐标系, 设 , , , , 则 , , 因为 , ,所以 ,解得 , 则 , , , 设平面 的法向量为 , 则 , 不妨取 ,则 , , 设平面 的一个法向量为 ,则 , 则锐二面角 的的余弦值为 . 21.(12分) (1) (2) 【详解】(1)设 的中点为S, 的中点为T,所以 , , 所以 ,所以 ,所以G点的轨迹是以 为焦点,长轴长 的椭圆.所以 , 所以 , ,所以曲线C的方程为 . . (2)设直线 为 (不妨设 ),设 , , 所以 , , , 解得 ( 舍去),则 , 由于AB是单位圆的直径,所以 , 所以直线EN的斜率为 ,直线EN的方程为 , 同理可求得 ,则 , 由上述分析可知 , ,而 , 所以, 所以 ,令 , 当且仅当 , 时等号成立, 则 ,函数 在 上单调递增, 所以当 时, 取得最小值为 . 【点睛】关键点睛:在圆锥曲线中,求解三角形面积最值、范围等的有关问题,关键点有两点,第一点是 求得三角形面积的表达式,可考虑根与系数关系、点到直线的距离公式等等来进行求解;第二点根据面积 的表达式,使用基本不等式、二次函数等知识求得面积的最值或取值范围. 22.(12分) (1) (2) 【详解】(1)解:当 时, , 因为 , 所以,曲线 在 处的切线方程是 ,即 . (2)因为 ,都有 ,所以 . 设 ,则 .记 ,设 ,则 , 当 时, ,当 时, , 所以 在 上单调递增,在 上单调递减, 所以 , 所以 ,所以 在 上单调递减. 因为 ,当 时, ,当 时, , 所以 在 上单调递增,在 上单调递减, 所以 ,所以, . 【点睛】方法点睛:对于 , 恒成立,则 ;对于 , 恒成立,则 ;对于 , 有解,则 ;对于 , 有解,则 ;