当前位置:首页>文档>专题五:三角函数图像及性质_2024年4月_其他_2024年新高考数学新题型试卷结构冲刺讲义_专题05:三角函数图像及性质(五大题型)-2024年新高考新题型试卷结构冲刺讲义

专题五:三角函数图像及性质_2024年4月_其他_2024年新高考数学新题型试卷结构冲刺讲义_专题05:三角函数图像及性质(五大题型)-2024年新高考新题型试卷结构冲刺讲义

  • 2026-04-06 15:01:31 2026-02-15 03:57:05

文档预览

专题五:三角函数图像及性质_2024年4月_其他_2024年新高考数学新题型试卷结构冲刺讲义_专题05:三角函数图像及性质(五大题型)-2024年新高考新题型试卷结构冲刺讲义
专题五:三角函数图像及性质_2024年4月_其他_2024年新高考数学新题型试卷结构冲刺讲义_专题05:三角函数图像及性质(五大题型)-2024年新高考新题型试卷结构冲刺讲义
专题五:三角函数图像及性质_2024年4月_其他_2024年新高考数学新题型试卷结构冲刺讲义_专题05:三角函数图像及性质(五大题型)-2024年新高考新题型试卷结构冲刺讲义
专题五:三角函数图像及性质_2024年4月_其他_2024年新高考数学新题型试卷结构冲刺讲义_专题05:三角函数图像及性质(五大题型)-2024年新高考新题型试卷结构冲刺讲义
专题五:三角函数图像及性质_2024年4月_其他_2024年新高考数学新题型试卷结构冲刺讲义_专题05:三角函数图像及性质(五大题型)-2024年新高考新题型试卷结构冲刺讲义
专题五:三角函数图像及性质_2024年4月_其他_2024年新高考数学新题型试卷结构冲刺讲义_专题05:三角函数图像及性质(五大题型)-2024年新高考新题型试卷结构冲刺讲义
专题五:三角函数图像及性质_2024年4月_其他_2024年新高考数学新题型试卷结构冲刺讲义_专题05:三角函数图像及性质(五大题型)-2024年新高考新题型试卷结构冲刺讲义
专题五:三角函数图像及性质_2024年4月_其他_2024年新高考数学新题型试卷结构冲刺讲义_专题05:三角函数图像及性质(五大题型)-2024年新高考新题型试卷结构冲刺讲义
专题五:三角函数图像及性质_2024年4月_其他_2024年新高考数学新题型试卷结构冲刺讲义_专题05:三角函数图像及性质(五大题型)-2024年新高考新题型试卷结构冲刺讲义
专题五:三角函数图像及性质_2024年4月_其他_2024年新高考数学新题型试卷结构冲刺讲义_专题05:三角函数图像及性质(五大题型)-2024年新高考新题型试卷结构冲刺讲义
专题五:三角函数图像及性质_2024年4月_其他_2024年新高考数学新题型试卷结构冲刺讲义_专题05:三角函数图像及性质(五大题型)-2024年新高考新题型试卷结构冲刺讲义
专题五:三角函数图像及性质_2024年4月_其他_2024年新高考数学新题型试卷结构冲刺讲义_专题05:三角函数图像及性质(五大题型)-2024年新高考新题型试卷结构冲刺讲义
专题五:三角函数图像及性质_2024年4月_其他_2024年新高考数学新题型试卷结构冲刺讲义_专题05:三角函数图像及性质(五大题型)-2024年新高考新题型试卷结构冲刺讲义
专题五:三角函数图像及性质_2024年4月_其他_2024年新高考数学新题型试卷结构冲刺讲义_专题05:三角函数图像及性质(五大题型)-2024年新高考新题型试卷结构冲刺讲义
专题五:三角函数图像及性质_2024年4月_其他_2024年新高考数学新题型试卷结构冲刺讲义_专题05:三角函数图像及性质(五大题型)-2024年新高考新题型试卷结构冲刺讲义

文档信息

文档格式
docx
文档大小
0.713 MB
文档页数
15 页
上传时间
2026-02-15 03:57:05

文档内容

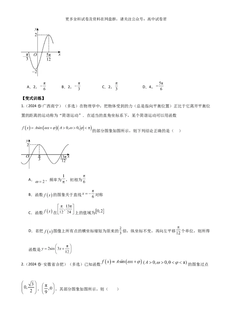
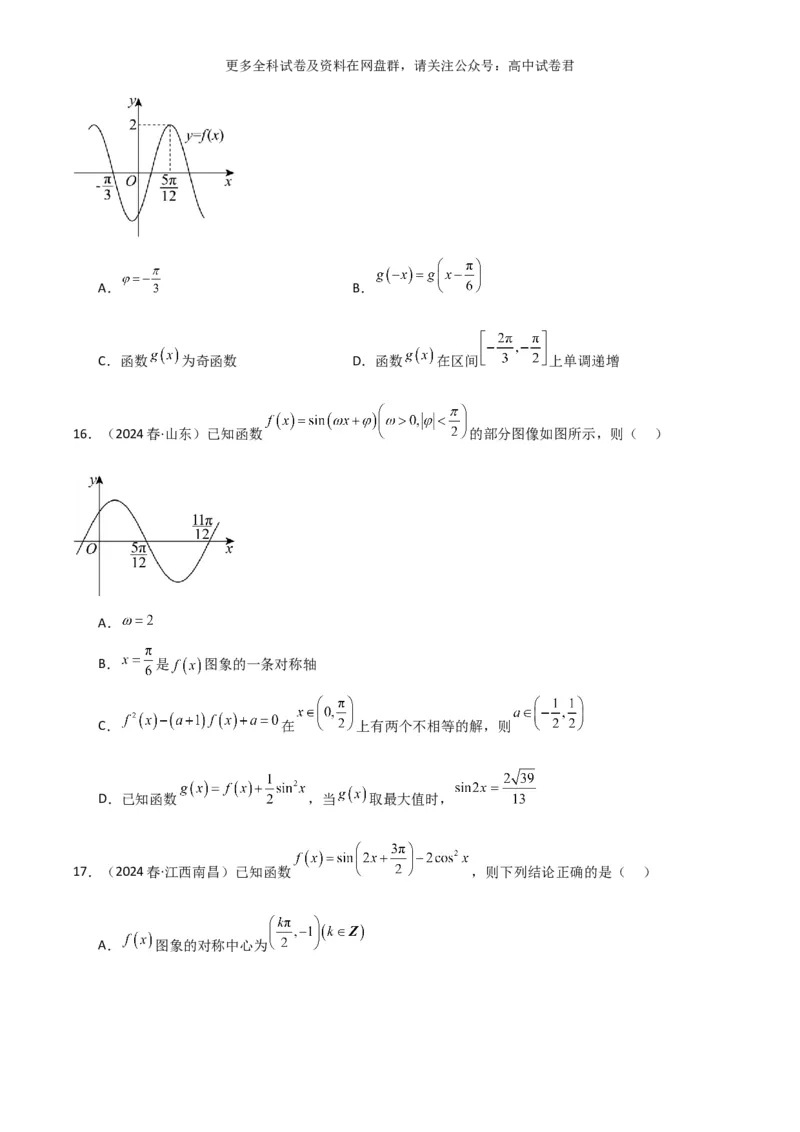
更多全科试卷及资料在网盘群,请关注公众号:高中试卷君 2024届新高考二轮复习第五讲:三角函数的图像及性质 1.(7).已知 ,则 ( ) A. B. C. 1 D. 2.(9)(多选) 已知函数 ,则( ) A. 函数 为偶函数 B. 曲线 的对称轴为 C. 在区间 单调递增 D. 的最小值为更多全科试卷及资料在网盘群,请关注公众号:高中试卷君 题型一:三角函数概念及诱导公式 【典例例题】 例1.(2024春·新高考)已知角 的终边经过点 ,且 ,则 的值是( ) A. B. C.12 D.13 【变式训练】 1.(2024春·江西南昌)(多选)下列说法正确的是( ) A.“ 为第一象限角”是“ 为第一象限角或第三象限角”的充分不必要条件 B.“ , ”是“ ”的充要条件 C.设 , ,则“ ”是“ ”的充分不必要条 件 D.“ ”是“ ”的必要不充分条件 2.(2024春·广东省揭阳市)已知角 的终边经过点 ,则 ( )更多全科试卷及资料在网盘群,请关注公众号:高中试卷君 A. B. C. D. 3.(2024春·广东省)已知 ,则 ( ) A. B. C. D. 4.(2024春·广西桂林)已知 ,则 ( ) A. B. C. D. 题型二:三角恒等变换 【典例例题】 例1.(2024春·湖北省)已知 ,则 ( ) A. B. C. D. 【变式训练】 1.(2024春·江西省)(多选)下列等式正确的有( ) A. B. C. D. 2.(2024春·湖北省)(多选)计算下列各式的值,其结果为2的有( ) A. B. C. D.更多全科试卷及资料在网盘群,请关注公众号:高中试卷君 3.(2024春·惠州市)已知 , ,则 等于( ) A. B. C. D. 4.(2024春·广东省东莞市)已知 ,则 的值为( ) A. B. C. D. 题型三:三角函数的图像及性质 【典例例题】 例 1. ( 2024 春 · 新 疆 ) 已 知 函 数 满 足 , 若 ,且 ,则 的值为( ) A. B. C. D. 【变式训练】 1.(2024春·广东省)(多选)关于函数 的性质,下列叙述正确的是( ) A. 的最小正周期为 B. 是偶函数 C. 的图象关于直线 对称 D. 在区间 上单调递增 2.(2024春·湖南长沙)设函数 ,已知方程 在 上有且仅有2更多全科试卷及资料在网盘群,请关注公众号:高中试卷君 个根,则 的取值范围是( ) A. B. C. D. 3.(2024春·广东省东莞市)(多选)已知函数 , , 是 的导函数, 则下列结论正确的是( ) A. 与 对称轴相同 B. 与 周期相同 C. 的最大值是 D. 不可能是奇函数 4.(2024春·黑龙江)(多选)若 在 上仅有一个最值,且为最大值, 则 的值可能为( ) A. B. 1 C. D. 题型四:三角函数图像变换问题 【典例例题】 例1.(2024春·湖北武汉)若函数 的图象向左平移 个单位长度后,其图象 与函数 的图象重合,则 的值可以为( ) A. B. C. D. 【变式训练】 1.(2024春·河南郑州)将函数 图象上所有点的横坐标都缩短到原来的 ,再向左平移 个更多全科试卷及资料在网盘群,请关注公众号:高中试卷君 单位,得到函数 的图象,则 是( ) A. 周期为 的奇函数 B. 周期为 的偶函数 C. 周期为 的奇函数 D. 周期为 的偶函数 2.(2024春·重庆)(多选)关于函数 ,则下列命题正确的是( ) A. 的图象关于点 对称 B.函数 的最小正周期为 C. 在区间 上单调递增 D.将 图象上所有点的横坐标伸长为原来的2倍,再把图象向右平移 个单位长度得到的函数为 3.(2024春·浙江)(多选)函数 相邻两个最高点之间的距离为 为 的对称中心,将函数 的图象向左平移 后得到函数 的图象,则( ) A. 在 上存在极值点 B.方程 所有根的和为 C.若 为偶函数,则正数 的最小值为 D.若 在 上无零点,则正数 的取值范围为 题型五: 的图像及性质 【典例例题】 例1.(2024春·河北)函数 的部分图像如图所示,则 , 的值分别 是( )更多全科试卷及资料在网盘群,请关注公众号:高中试卷君 A.2, B.2, C.2, D.4, 【变式训练】 1.(2024春·广西南宁)(多选)在物理学中,把物体受到的力(总是指向平衡位置)正比于它离开平衡位 置的距离的运动称为“简谐运动”.在适当的直角坐标系下,某个简谐运动可以用函数 的部分图象如图所示,则下列结论正确的是( ) A. ,频率为 ,初相为 B.函数 的图象关于直线 对称 C.函数 在 上的值域为 D.若把 图像上所有点的横坐标缩短为原来的 倍,纵坐标不变,再向左平移 个单位,则所得 函数是 2.(2024春·安徽省合肥)(多选)已知函数 的图象过点 , ,其部分图象如图所示,则( )更多全科试卷及资料在网盘群,请关注公众号:高中试卷君 A. B. 的图象关于直线 对称 C. 在区间 上单调递增 D. 将 的图象向右平移 个单位后所得图象关于原点对称 3.(2024春·甘肃省)已知点 是函数 的图象的一个对称中心, 则( ) A. 是 奇函数 B. , C. 若 在区间 上有且仅有 条对称轴,则 D. 若 在区间 上单调递减,则 或 4.(2024春·广东省)(多选)已知函数 的部分图象如图所 示,则( )更多全科试卷及资料在网盘群,请关注公众号:高中试卷君 A. 的单调递增区间是 B. 的单调递增区间是 C. 在 上有3个零点 D. 将函数图象向左平移3个单位长度得到的图象所对应的函数为奇函数 一、单项选择 1.(2024春·广东深圳)若角 的终边过点 ,则 ( ) A. B. C. D. 2.(2024春·湖南长沙)若 ,则 ( ) A. B. C. D. 3.(2024春·江西)已知 为锐角,且 ,则 ( ) A. B. C. D. 4.(2024春·广州市)已知 , , ,则 的值为( ) A. B. C. D. 2更多全科试卷及资料在网盘群,请关注公众号:高中试卷君 5.(2024春·河北)已知函数 满足对于任意 都有 .若函数 在区间 上有且仅有一个零点,则 的最大值为( ) A.3 B. C. D.5 6.(2024春·湖北武汉)如图,在函数 的部分图象中,若 ,则点 的纵坐标为 ( ) A. B. C. D. 7.(2024春·四川)函数 的图象向左平移 个单位长度后与函数 的图象重合,则 的最小值为( ). A.1 B.2 C.3 D.4 二、多项选择 8.(2024春·广州铁一中学)下列式子中,运算结果为1的是( ) A. B. C. D.更多全科试卷及资料在网盘群,请关注公众号:高中试卷君 9.(2024春·贵州黔东南)已知函数 ,则下列结论正确的是( ) A. 的图象关于直线 对称 B. 的图象关于点 中心对称 C. 的最小正周期是 D. 在 上有最大值,且最大值为 10.(2024春·湖南)已知函数 在 上单调,且 , 则 的取值可能为( ) A. B. C. D. 11.(2024春·广西桂林)关于函数 有下述四个结论,其中结论正确的是( ) A. 的最小正周期为 B. 的图象关于直线 对称 C. 的图象关于点 对称 D. 在 上单调递增 12.(2024春·黑龙江齐齐哈尔)已知函数 ,则下列说法正确的有( ) A.当 时, 的最小正周期为 B.当 时, 的最小值为 C.当 时, 在区间 上有4个零点更多全科试卷及资料在网盘群,请关注公众号:高中试卷君 D.若 在 上单调递减,则 13.(2024春·江苏)已知函数 ( , ),且 , ,则( ) A. B. 的最小正周期为 C. 在 上单调递减 D. 为奇函数 14.(2024春·重庆)已知函数 ,则下列说法正确的是( ) A. 的值域为 B. 的对称中心为 C. 在 上的递增区间为 D. 在 上的极值点个数为1 15.(2024春·山西吕梁)已知函数 的部分图象如图所示,将函 数 的图象先关于 轴对称,然后再向左平移 个单位长度后得到函数 的图象,则下列说法正确 的是( )更多全科试卷及资料在网盘群,请关注公众号:高中试卷君 A. B. C.函数 为奇函数 D.函数 在区间 上单调递增 16.(2024春·山东)已知函数 的部分图像如图所示,则( ) A. B. 是 图象的一条对称轴 C. 在 上有两个不相等的解,则 D.已知函数 ,当 取最大值时, 17.(2024春·江西南昌)已知函数 ,则下列结论正确的是( ) A. 图象的对称中心为更多全科试卷及资料在网盘群,请关注公众号:高中试卷君 B. 是奇函数 C. D. 在区间 上单调递减 18.(2024春·江西)已知函数 ( , , ),若 的图象过 , , 三点,其中点B为函数 图象的最高点(如图所示),将 图象上的每个点的 纵坐标保持不变,横坐标变为原来的 倍,再向右平移 个单位长度,得到函数 的图象,则( ) A. B. C. 的图象关于直线 对称 D. 在 上单调递减 三、填空题 20.(2024春·广东实验中学1月段考)已知 均为锐角,且 ,若 ,则 ________. 21.(2024春·广东深圳)若函数 的最小正周期为 ,其图象关于点更多全科试卷及资料在网盘群,请关注公众号:高中试卷君 中心对称,则 .