当前位置:首页>文档>高一地理答案_2024-2025高一(7-7月题库)_2024年10月试卷_1023吉林省三校学校2024-2025学年高一上学期10月月考_吉林省部分学校2024-2025学年高一上学期10月月考地理试题

高一地理答案_2024-2025高一(7-7月题库)_2024年10月试卷_1023吉林省三校学校2024-2025学年高一上学期10月月考_吉林省部分学校2024-2025学年高一上学期10月月考地理试题

  • 2026-04-08 03:29:36 2026-02-16 11:08:31

文档预览

高一地理答案_2024-2025高一(7-7月题库)_2024年10月试卷_1023吉林省三校学校2024-2025学年高一上学期10月月考_吉林省部分学校2024-2025学年高一上学期10月月考地理试题
高一地理答案_2024-2025高一(7-7月题库)_2024年10月试卷_1023吉林省三校学校2024-2025学年高一上学期10月月考_吉林省部分学校2024-2025学年高一上学期10月月考地理试题
高一地理答案_2024-2025高一(7-7月题库)_2024年10月试卷_1023吉林省三校学校2024-2025学年高一上学期10月月考_吉林省部分学校2024-2025学年高一上学期10月月考地理试题
高一地理答案_2024-2025高一(7-7月题库)_2024年10月试卷_1023吉林省三校学校2024-2025学年高一上学期10月月考_吉林省部分学校2024-2025学年高一上学期10月月考地理试题

文档信息

文档格式
pdf
文档大小
0.216 MB
文档页数
4 页
上传时间
2026-02-16 11:08:31

文档内容

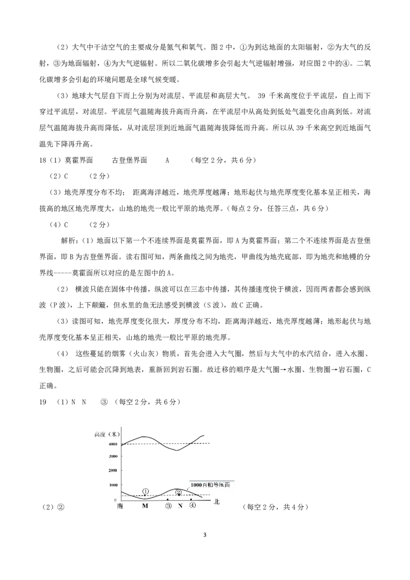
2024-2025 学年度上学期第一次月考 高一地理试题答案及评分标准 一.选择题(每小题 3 分,共 16 题,共 48 分) 1 2 3 4 5 6 7 8 B A D C C A D A 9 10 11 12 13 14 15 16 B A B B B C D B 1 B 【解析】中国空间站围绕地球运转,中心天体为行星,月球也围绕地球运转,所以中国空间站类似 于月球级别。B正确; 2 A 【解析】神舟十八号载人飞船属于地球的人造卫星,属于地月系、太阳系、银河系及可观测宇宙。 可观测宇宙包括了所有的天体系统,级别最高,A正确. 3 D 【解析】根据所学可知,①为大气上界的太阳辐射,③为到达地面的太阳辐射,④为地面辐射,⑤ 为大气逆辐射。大部分太阳短波辐射可以通过透明玻璃进入室内,但是长波辐射的热量被温室大棚阻隔在 棚内,棚内气温高,所以与室外相比,透明的温室大棚内⑤大气逆辐射增强,使得温室大棚内温度比室外 高,D正确 4 C 【解析】在大气受热过程示意图中,①是到达大气上界的太阳辐射,②是大气反射作用,③是到达 地面的太阳辐射,④是地面辐射,⑤是大气逆辐射。大气的受热过程,简单地说,就是“太阳暖大地→大 地暖大气→大气还大地”,故该地近地面大气主要的直接热源是地面辐射,即图中的④,C正确。 5 C 【解析】由材料可知,甲是恐龙化石,恐龙出现在中生代;乙是三叶虫化石,三叶虫出现于古生代 早期;丙是哺乳动物化石,哺乳动物在新生代快速发展;丁是鱼类化石,鱼出现于古生代中期。故图中四 块化石中的动物按出现年代从新到老排序为丙甲丁乙, C正确。 6 A 【解析】甲是恐龙化石,在中生代快速发展,因此甲化石地层所表示的地质年代是中生代,当时裸 子植物盛行。A正确。新生代冷暖交替,出现了一次气候寒冷的大冰期,B错误;古生代形成联合古陆, 形成中国地质地貌基础,C错误;前寒武纪形成了占世界总储量60%的铁矿,D错误。 7 D 【解析】 据所学知识可知,小行星带运行轨道基本位于火星轨道和木星轨道之间,该模式图表示 太阳系,曲线①②③④为行星轨道,阴影部分为小行星带,根据八大行星由内而外的排布规律可知曲线③ 为火星轨道,曲线②为木星轨道,则曲线④为地球的公转轨道。地球的特殊性是因为有生命,地球上有生 命的条件之一就是有适宜的温度,所以D正确。地球与太阳系中其他行星具有共同的运动特征,同向性, 1 {#{QQABaQYEggioAJJAAAhCUwV6CgAQkBAAAagGBAAIsAAAyQNABCA=}#}共面性,近圆性。距离太阳最近的行星是水星。 8 A 【解析】太阳外部大气结构,自内向外分别为光球层、色球层、日冕层。③④之间为光球层,②③ 之间为色球层, ①②之间为日冕层。太阳活动爆发时会干扰地球磁场A对,海口在低纬地区,即使太阳 活动爆发也不能增加极光出现的机会B错, 太阳活动爆发会中断无线通信,不是有线通信,C错,极端天 气可能增多D错。 9 B 【解析】若阴影部分表示地幔,结合所学知识,可得出曲线①②之间为地壳,③④之间为地核,岩 浆主要来自于软流层,软流层位于地幔所以 ②③之间正确,选B。 10 A 【解析】根据我国太阳辐射分布图可知,重庆多阴雨天气,太阳总辐射量小,不利于太阳能热水器 营销,A对;兰州、昆明、福州太阳辐射量多于重庆。 11 B 【解析】福州属于亚热带季风气候,靠近海洋,全年降水较多;而北京属于温带季风气候,夏季多 雨,全年降水相对偏少,故年太阳总辐射量偏高,B正确;纬度更高不是太阳辐射量高的原因;地势、距 海洋距离不是主要影响。 12 B 【解析】教室内使用空调,气温较低,近地面气压较高;室外气温较高,近地面气压较低;打开教 室门,近地面(腿部)气流从室内流向室外,较凉爽;高空(面部)气流运动方向与近地面相反,从室外 流向室内,较热,B正确。 13 B 【解析】图示中部等压线为高值,说明中间等压线数值较高,为高压区,南北两侧气压值较低,乙 聚落水平气压梯度力指向北,在地转偏向力的作用下,北半球向右偏转,乙聚落的风向应为西南风,B正 确。 14 C 【解析】结合图示,甲聚落所在区域等压线比乙聚落所在区域气压差更大,水平气压梯度力更大, 风速较乙聚落大,A错误;结合图示等压线判断,乙聚落西南风,与甲聚落风向不同,B错误;由甲聚落 附近的等压线数值判断出甲的风向应为东北风,放风筝时应向东北方向起跑,C正确。 15 D 【解析】苹果树下放反光膜是为了增加地面反射,使得苹果各个方面都受到照射,整个苹果都是 红色的.所以选D. 16 B 【解析】东北地区春季低温,白色地膜有增温的作用,可以防止农作物冻害。 17(1)甲 对流运动 乙 (每空2分,共6分) (2)氮气 氧气 ④ 全球气候变暖 (每空2分,共8分) (3)平流层 对流层 气温先下降再升高 (每空2分,共6分) 解析:(1)地球大气层自下而上分别为对流层、平流层和高层大气。对流层大气中水汽和固体杂质 较多,对流层大气天气现象复杂多变,甲为近地面大气是对流层,以对流运动为主,乙为平流层,以平流 运动为主,适合高空飞行。 2 {#{QQABaQYEggioAJJAAAhCUwV6CgAQkBAAAagGBAAIsAAAyQNABCA=}#}(2)大气中干洁空气的主要成分是氮气和氧气。图2中,①为到达地面的太阳辐射,②为大气的反 射,③为地面辐射,④为大气逆辐射。所以二氧化碳增多会引起大气逆辐射增强,对应图2中的④。二氧 化碳增多会引起的环境问题是全球气候变暖。 (3)地球大气层自下而上分别为对流层、平流层和高层大气。 39 千米高度位于平流层,自上而下 穿过平流层,对流层。平流层气温随海拔升高而升高,在平流层中从高处到低处气温变化由高到低。对流 层气温随海拔升高而降低,从对流层顶到近地面气温随海拔降低而升高。所以从39千米高空到近地面气 温先下降再升高。 18(1)莫霍界面 古登堡界面 A (每空2分,共6分) (2)C (2分) (3)地壳厚度分布不均; 距离海洋越近,地壳厚度越薄;地形起伏与地壳厚度变化基本呈正相关,海 拔高的地区地壳厚度大,山地的地壳一般比平原的地壳厚。(每点2分,任答三点,共6分) (4)C (2分) 解析:(1)地面以下第一个不连续界面是莫霍界面,即A为莫霍界面;第二个不连续界面是古登堡 界面,即B为古登堡界面。读右图可知,两条曲线之间为地壳,甲曲线为地壳底部,即为地壳和地幔的分 界线-----莫霍面所以对应的是左图中的A。 (2) 横波只能在固体中传播,纵波可以在三态中传播,其传播速度快于横波,因而两者都会感到纵 波(P波),上下颠簸,但水里的鱼无法感受到横波(S波),故C正确。 (3)读图可知,地壳厚度变化很大,厚度分布不均,距离海洋越近,地壳厚度越薄;地形起伏与地 壳厚度变化基本呈正相关,山地的地壳一般比平原的地壳厚。 (4) 这些蔓延的烟雾(火山灰)物质,首先会进入大气圈,然后与大气中的水汽结合,进入水圈、 生物圈,之后可能会沉降到地表,重新回到岩石圈。故迁移的顺序是大气圈→水圈、生物圈→岩石圈,C 正确。 19 (1)N N ③ (每空2分,共6分) (2)② (每空2分,共4分) 3 {#{QQABaQYEggioAJJAAAhCUwV6CgAQkBAAAagGBAAIsAAAyQNABCA=}#}(3)冷巷与天井的温差使空气流动,形成穿堂风,起到降温通风的效果。(2分) (画图4分) 解析:(1)白天陆地气温高,气压低,等压线向地面弯曲,M是陆地;白天海洋气温低,气压高,等 压线向高空弯曲,N是海洋。海洋的比热容大于陆地,海洋的气温日较差小,所以是N。若要在图示区域③ 或④处选址建绿化带,从改善城区大气环境质量的角度考虑,应该选在③处,因为③处位于热力环流圈之 内,将质量好的大气输入城区。 (2)根据等压线的判断规律“高弯高压、低弯低压”,①和②比较,高压区位于②。4000米高空的 等压面弯曲跟地面完全相反。画图如下 (3) 没有自然风时,因为两侧高墙的遮挡,冷巷内接受的太阳热辐射较少,温度较低;天井因为接 受的太阳辐射较多,温度较高,冷巷和天井的温差促进空气流动,冷巷与天井之间可能会形成穿堂风,从 而起到通风降温的效果。 冷巷相对房间气温较低,气流下沉,凉风从门下进入房间,房间较热的空气从门上逸出,较冷空气就会进 入补充,所以如图所示。 4 {#{QQABaQYEggioAJJAAAhCUwV6CgAQkBAAAagGBAAIsAAAyQNABCA=}#}