当前位置:首页>文档>数学答案_2024年2月_01每日更新_19号_2024届重庆市缙云教育联盟高三下学期2月月度质量检测_重庆市缙云教育联盟2023-2024学年高三下学期2月月度质量检测-数学

数学答案_2024年2月_01每日更新_19号_2024届重庆市缙云教育联盟高三下学期2月月度质量检测_重庆市缙云教育联盟2023-2024学年高三下学期2月月度质量检测-数学

  • 2026-03-19 23:02:14 2026-02-16 23:47:41

文档预览

数学答案_2024年2月_01每日更新_19号_2024届重庆市缙云教育联盟高三下学期2月月度质量检测_重庆市缙云教育联盟2023-2024学年高三下学期2月月度质量检测-数学
数学答案_2024年2月_01每日更新_19号_2024届重庆市缙云教育联盟高三下学期2月月度质量检测_重庆市缙云教育联盟2023-2024学年高三下学期2月月度质量检测-数学
数学答案_2024年2月_01每日更新_19号_2024届重庆市缙云教育联盟高三下学期2月月度质量检测_重庆市缙云教育联盟2023-2024学年高三下学期2月月度质量检测-数学
数学答案_2024年2月_01每日更新_19号_2024届重庆市缙云教育联盟高三下学期2月月度质量检测_重庆市缙云教育联盟2023-2024学年高三下学期2月月度质量检测-数学
数学答案_2024年2月_01每日更新_19号_2024届重庆市缙云教育联盟高三下学期2月月度质量检测_重庆市缙云教育联盟2023-2024学年高三下学期2月月度质量检测-数学
数学答案_2024年2月_01每日更新_19号_2024届重庆市缙云教育联盟高三下学期2月月度质量检测_重庆市缙云教育联盟2023-2024学年高三下学期2月月度质量检测-数学

文档信息

文档格式
pdf
文档大小
0.323 MB
文档页数
6 页
上传时间
2026-02-16 23:47:41

文档内容

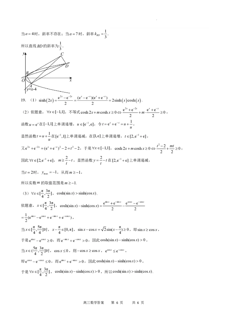
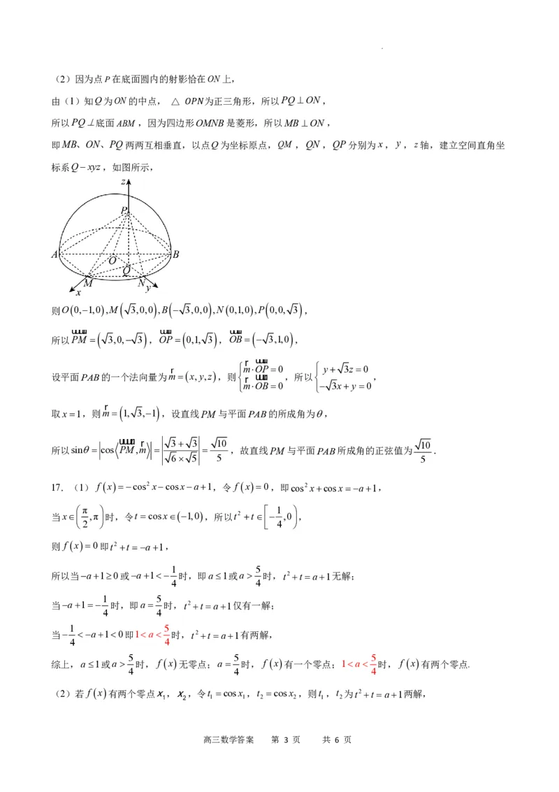
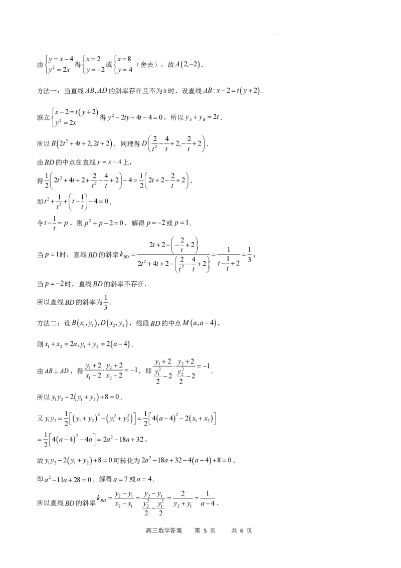
★秘密·2024年2月16日17:00前 重庆市 2023-2024 学年(下)2 月月度质量检测 高三数学答案及评分标准 【命题单位:重庆缙云教育联盟】 试卷视频讲解 一、选择题:本题共8小题,每小题5分,共40分。在每小题给出的四个选项中,只有一项 是符合题目要求的。 1.C 2.D 3.B 4.A 5.A 6.B 7.D 8.D 二、多项选择题:本题共3小题,每小题6分,共18分。在每小题给出的选项中,有多项符 合题目要求的。全部选对的得6分,部分选对的得部分分,有选错的得0分。 9.AC 10.ABD 11.ABC 三、填空题:本题共3小题,每小题5分,共15分。 12.,31, 6 6 2 13. 2 2 14.12 2 四、解答题:本题共5小题,共77分。解答应写出文字说明、证明过程或演算步骤。 1 15.(1)由题意得,X 的可能取值为1,2,3,在第一轮中,试验者每次抽到白球的概率为 , 3 1 2 1 PX 1   ,依题意,在第二轮中,盒中有一个白球,两个红球和一个黄球,每次摸到白球的概率 3 9 1  1 1 2 1 5 为 ,PX 21    ,易知PX 31  PX 1PX 2   ,X 的分布列为: 4  9 4 18 6 X 1 2 3 高三数学答案 第 1 页 共 6 页 学科网(北京)股份有限公司1 1 5 P 9 18 6 1 1 5 49 X 的数学期望EX1 2 3  . 9 18 6 18  1  1   1  1 (2)证明:当k 2时,不难知道P 1 1  L  1   , k  32  42   (k1)2  (k2)2  1  1   1  1 Q 1 1  L  1    32  42   (k1)2  (k2)2 24 35 kk2 1 2 1   L    , 32 42 (k1)2 (k2)2 3 k1k2 2 1 2 1 1  P       k 2 , k 3 k1k2 3k1 k2 1 1 2 1 1  由(1)可知P  ,又P     , 1 9 1 9 311 12 P  2  1  2  1  1    kN* , k 3 k1k2 3k1 k2 n 21 1 1 1 1 1  P(n)P      L    k 32 3 3 4 n1 n2 k1 1 2 1 1    .即Pn . 3 3(n2) 3 3 16.(1)连接OM,MN,BM ,因为M,N是底面半圆弧𝐴𝐵上的两个三等分点, 所以有MON NOB60,又因为OM ON OB2, 所以 △ 𝑀𝑂𝑁, △ 𝑁𝑂𝐵都为正三角形,所以MN NBBOOM ,四边形OMNB是菱形, 记ON与BM 的交点为Q,Q为ON和BM 的中点,因为PON 60,OPON , 1 所以三角形OPN 为正三角形,所以PQ 3 BM ,所以PBPM , 2 因为P是半球面上一点,AB是半球O的直径,所以PBPA, 因为PM PAP,PM,PA平面PAM ,所以PB平面PAM . 高三数学答案 第 2 页 共 6 页 学科网(北京)股份有限公司(2)因为点P在底面圆内的射影恰在ON上, 由(1)知Q为ON的中点, △ 𝑂𝑃𝑁为正三角形,所以PQON, 所以PQ底面ABM ,因为四边形OMNB是菱形,所以MBON, 即MB、ON、PQ两两互相垂直,以点Q为坐标原点,QM ,QN,QP分别为x,y,z轴,建立空间直角坐 标系Qxyz,如图所示, 则O0,1,0,M  3,0,0  ,B   3,0,0  ,N0,1,0,P  0,0, 3  , uuuur uuur uuur       所以PM  3,0, 3 ,OP 0,1, 3 ,OB  3,1,0 , r uuur r  mOP0   y 3z0 设平面PAB的一个法向量为mx,y,z,则r uuur ,所以 , mOB0  3xy0 r   取x1,则m 1, 3,1 ,设直线PM 与平面PAB的所成角为, uuuur r 3 3 10 10 所以sin cos PM,m   ,故直线PM 与平面PAB所成角的正弦值为 . 6 5 5 5 17.(1) f xcos2 xcosxa1,令 f x0,即cos2xcosxa1, π   1  当x ,π时,令t cosx1,0,所以t2 t   ,0, 2   4  则 f x0即t2t a1, 1 5 所以当a10或a1 时,即a1或a 时,t2t a1无解; 4 4 1 5 当a1 时,即a 时,t2t a1仅有一解; 4 4 1 5 当 a10即1a 时,t2t a1有两解, 4 4 5 5 5 综上,a1或a 时, f x无零点;a 时, f x有一个零点;1a 时, f x有两个零点. 4 4 4 (2)若 f x有两个零点x,x,令t cosx ,t cosx ,则t ,t 为t2t a1两解, 1 2 1 1 2 2 1 2 高三数学答案 第 3 页 共 6 页 学科网(北京)股份有限公司则t t 1,则cosx cosx 1,则cos2 x 2cosx cosx cos2 x 1, 1 2 1 2 1 1 2 2 π  由x,x  ,π可得cosx 0,cosx 0,则2cosx cosx 0, 1 2 2  1 2 1 2 3π  所以cos2 x cos2 x 1,所以cos2 x sin2 x cos2  x , 1 2 1 2  2 2  π  3π π  由x  ,π可得 x  ,π, 2 2  2 2 2  3π  3π  所以cos x 0,则cosx cos x ,  2 2  1  2 2  π  3π 由ycosx在 ,π递减,可得x  x , 2  1 2 2 3π 所以πx x  ,所以cosx x 0 1 2 2 1 2 cosx cosx sinx sinx cosx x  令1tanx tanx ,则 1 2 1 2  1 2 0 1 2 cosx cosx cosx cosx 1 2 1 2 1 要证 ≤tanx tanx 3成立, 1tanx tanx 1 2 1 2 1 即证: ≤132;  即证:221≥0,因为22112≥0显然成立,故原式成立. 18.(1)由题意知ACBD,设直线BD:xym. xym 联立 得y22y2m0, y2 2x 则y y 2,y y 2m,x x y y 2m2m2, B D B D B D B D 则BD的中点m1,1在直线y  x4上, 代入可解得m2,y22y40,200,满足直线与抛物线有两个交点, 所以直线BD的方程为xy2,即xy20. (2)当直线AB,AD的斜率为0或不存在时,均不满足题意. 高三数学答案 第 4 页 共 6 页 学科网(北京)股份有限公司yx4 x2 x8 由 得 或 (舍去),故A2,2. y2 2x y2 y4 方法一:当直线AB,AD的斜率存在且不为0时,设直线AB:x2ty2. x2ty2 联立 得y22ty4t40,所以y y 2t. y2 2x A B 所以B  2t24t2,2t2  .同理得D   2  4 2, 2 2  . t2 t t  由BD的中点在直线y  x4上, 1 2 4  1 2  得 2t24t2  24 2t2 2, 2 t2 t  2 t  1  1 即t2 t 40. t2  t 1 令t  p,则p2 p20,解得p2或p1. t  2  2t2 2  t  1 1 当p1时,直线BD的斜率k    ; BD  2 4  1 3 2t24t2  2 t 2 t2 t  t 当p2时,直线BD的斜率不存在. 1 所以直线BD的斜率为 . 3 方法二:设Bx,y ,Dx ,y ,线段BD的中点Ma,a4, 1 1 2 2 则x x 2a,y y 2a4. 1 2 1 2 y 2 y 2 y 2 y 2 1  2 1 由ABAD,得 1  2 1,即 y2 y2 . x 2 x 2 1 2 2 2 1 2 2 2 所以y y 2y y 80. 1 2 1 2 1 1 又y y  y y 2  y2y2 4a422x x  1 2 2 1 2 1 2  2 1 2  1  4a424a2a218a32, 2  故y y 2y y 80可转化为2a218a324a480, 1 2 1 2 即a211a280.解得a7或a4. y y y y 2 1 k  2 1  2 1   所以直线BD的斜率 BD x x y2 y2 y y a4. 2 1 2  1 2 1 2 2 高三数学答案 第 5 页 共 6 页 学科网(北京)股份有限公司1 当a4时,斜率不存在;当a7时,斜率k  . BD 3 1 所以直线BD的斜率为 . 3 e2xe2x (exex)(exex) 19.(1)sinh2x  2sinhxcoshx. 2 2 e2xe2x exex (2)依题意,x[1,1],不等式cosh2xmcoshx0 m 0, 2 2 1 函数uex在[1,1]上单调递增,u[e1,e],令t exex u , u 1 显然函数tu 在[e1,1]上单调递减,在[1,e]上单调递增,t[2,e1e], u t22 mt 又e2xe2x (exex)22t22,于是x[1,1],cosh2xmcoshx0  0, 2 2 2 2 因此t[2,e1e],m t,显然函数y t在[2,e1e]上单调递减, t t 当t 2时,y 1,从而m1, max 所以实数m的取值范围是m1. π 3π (3)x[ , ],cosh(sinx)sinh(cosx). 4 2 π 3π esinxesinx ecosxecosx 依题意,x[ , ],cosh(sinx)sinh(cosx)  4 2 2 2 1  (esinxecosxesinxecosx), 2 π 5π π π 当x[ , ]时,x [0,π],sinxcosx 2sin(x )0,即sinxcosx, 4 4 4 4 于是esinxecosx 0,而esinxecosx 0,因此cosh(sinx)sinh(cosx)0, 5π 3π 当x( , ]时,cosx0,则cosxcosx,ecosx ecosx, 4 2 即ecosxecosx 0,而esinxesinx 0,因此cosh(sinx)sinh(cosx)0, π 3π 于是x[ , ],cosh(sinx)sinh(cosx)0,所以cosh(sinx)sinh(cosx). 4 2 高三数学答案 第 6 页 共 6 页 学科网(北京)股份有限公司