当前位置:首页>文档>数学(新高考Ⅰ卷01)(考试版A4)_2024年4月_其他_一模备考备战2024年高考数学第一次模拟资源精选_数学(新高考Ⅰ卷01)-学易金卷:2024年高考第一次模拟考试

数学(新高考Ⅰ卷01)(考试版A4)_2024年4月_其他_一模备考备战2024年高考数学第一次模拟资源精选_数学(新高考Ⅰ卷01)-学易金卷:2024年高考第一次模拟考试

  • 2026-03-23 17:01:40 2026-02-17 01:48:36

文档预览

数学(新高考Ⅰ卷01)(考试版A4)_2024年4月_其他_一模备考备战2024年高考数学第一次模拟资源精选_数学(新高考Ⅰ卷01)-学易金卷:2024年高考第一次模拟考试
数学(新高考Ⅰ卷01)(考试版A4)_2024年4月_其他_一模备考备战2024年高考数学第一次模拟资源精选_数学(新高考Ⅰ卷01)-学易金卷:2024年高考第一次模拟考试
数学(新高考Ⅰ卷01)(考试版A4)_2024年4月_其他_一模备考备战2024年高考数学第一次模拟资源精选_数学(新高考Ⅰ卷01)-学易金卷:2024年高考第一次模拟考试
数学(新高考Ⅰ卷01)(考试版A4)_2024年4月_其他_一模备考备战2024年高考数学第一次模拟资源精选_数学(新高考Ⅰ卷01)-学易金卷:2024年高考第一次模拟考试
数学(新高考Ⅰ卷01)(考试版A4)_2024年4月_其他_一模备考备战2024年高考数学第一次模拟资源精选_数学(新高考Ⅰ卷01)-学易金卷:2024年高考第一次模拟考试
数学(新高考Ⅰ卷01)(考试版A4)_2024年4月_其他_一模备考备战2024年高考数学第一次模拟资源精选_数学(新高考Ⅰ卷01)-学易金卷:2024年高考第一次模拟考试
数学(新高考Ⅰ卷01)(考试版A4)_2024年4月_其他_一模备考备战2024年高考数学第一次模拟资源精选_数学(新高考Ⅰ卷01)-学易金卷:2024年高考第一次模拟考试

文档信息

文档格式
docx
文档大小
0.754 MB
文档页数
7 页
上传时间
2026-02-17 01:48:36

文档内容

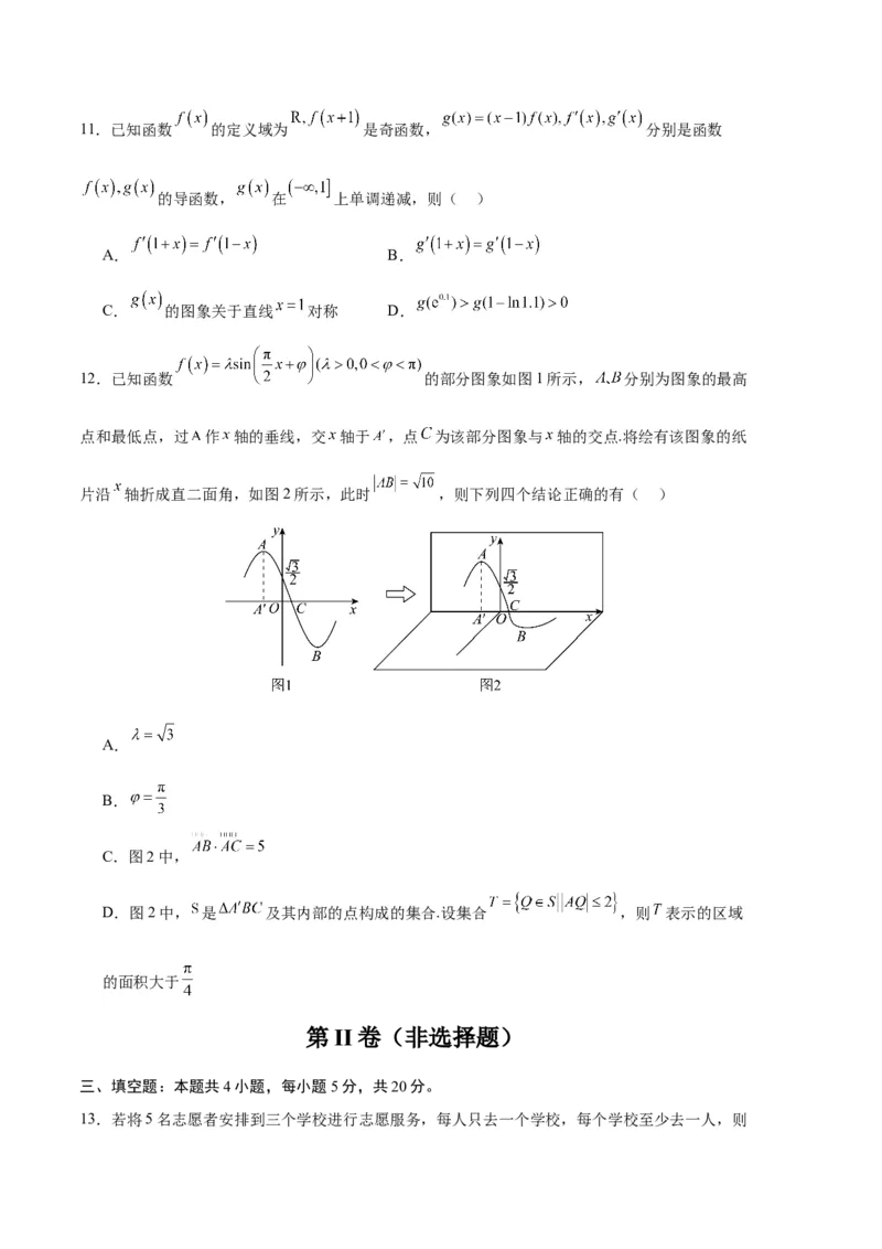
2024 年高考数学第一次模拟考试 高三数学(新高考 I 卷) (考试时间:120分钟 试卷满分:150分) 注意事项: 1.本试卷分第Ⅰ卷(选择题)和第Ⅱ卷(非选择题)两部分.答卷前,考生务必将自己的姓 名、准考证号填写在答题卡上. 2.回答第Ⅰ卷时,选出每小题答案后,用2B铅笔把答题卡上对应题目的答案标号涂黑.如 需改动,用橡皮擦干净后,再选涂其他答案标号.写在本试卷上无效. 3.回答第Ⅱ卷时,将答案写在答题卡上.写在本试卷上无效. 4.测试范围:高考全部内容 5.考试结束后,将本试卷和答题卡一并交回. 第 I 卷(选择题) 一、单项选择题:本题共8小题,每小题5分,共40分,在每小题给出的四个选项中,只有一项 是符合要求的。 1.已知全集 ,集合 , ,则 等于( ) A. B. C. D. 2.已知复数z满足 ,则 ( ) A. B. C. D. 3.函数 的图象大致为( )A. B. C. D. 4.已知 是公差为 ( )的无穷等差数列 的前 项和,设甲:数列 是递增数列,乙: 对任意 ,均有 ,则( ) A.甲是乙的充分条件但不是必要条件 B.甲是乙的必要条件但不是充分条件 C.甲是乙的充要条件 D.甲既不是乙的充分条件也不是乙的必要条件 5.己知函数 在 上有 个零点,则实数 的最大值为( ) A. B. C. D. 6.已知 为坐标原点, 分别是椭圆 的左顶点、上顶点和右焦点点 在椭圆 上,且 ,若 ,则椭圆 的离心率为( ) A. B.1 C. D. 7.已知 , 是方程 的两个实数根,则 ( ) A. B. C. D.8.已知 ,则( ) A. B. C. D. 二、多项选择题:本题共4小题,每小题5分,共20分,在每小题给出的四个选项中,有多项符 合题目的要求,全部选对的得5分,部分选对的得2分,有选错的得0分。 9.已知一组样本数据 ,其中 为正实数.满足 , 下列说法正确的是( ) A.样本数据的第50百分位数为 B.去掉样本的一个数据,样本数据的极差可能不变 C.若数据的频率分布直方图为单峰不对称,且在左边“拖尾”,则样本数据的平均数小于中 位数 D.样本数据的方差 ,则这组样本数据的总和等于80 10.如图,有一组圆 都内切于点 ,圆 ,设直线 与圆 在第二象限的交点为 ,若 ,则下列结论正确的是( ) A.圆 的圆心都在直线 上 B.圆 的方程为 C.若圆 与 轴有交点,则 D.设直线 与圆 在第二象限的交点为 ,则11.已知函数 的定义域为 是奇函数, 分别是函数 的导函数, 在 上单调递减,则( ) A. B. C. 的图象关于直线 对称 D. 12.已知函数 的部分图象如图1所示, 分别为图象的最高 点和最低点,过 作 轴的垂线,交 轴于 ,点 为该部分图象与 轴的交点.将绘有该图象的纸 片沿 轴折成直二面角,如图2所示,此时 ,则下列四个结论正确的有( ) A. B. C.图2中, D.图2中, 是 及其内部的点构成的集合.设集合 ,则 表示的区域 的面积大于 第 II 卷(非选择题) 三、填空题:本题共4小题,每小题5分,共20分。 13.若将5名志愿者安排到三个学校进行志愿服务,每人只去一个学校,每个学校至少去一人,则不同的分配方案共有 种.(用数字作答) 14.(2023陕西西安期中)等差数列 中的 是函数 的极值点,则 . 15.在三棱锥 中, 是边长为2的等边三角形, 平面 ,若P,A,B,C四 点都在表面积为 的球的球面上,则三棱锥 的体积为 . 16.如图,在 中, , ,CD与BE交于点P, , , ,则 的值为 ;过点P的直线l交AB,AC于点M,N,设 , ( , ),则 的最小值为 . 四、解答题:本题共6小题,共70分,解答应写出必要的文字说明、证明过程及验算步骤。 17.(10分)在 中,内角 , , 所对的边分别为 , , ,满足 . (1)求角 的大小; (2)若 , 边上的中线 的长为 ,求 的面积. 18.(12分)在数列 中, . (1)证明:数列 为常数列. (2)若 ,求数列 的前 项和 . 19.(12分)某单位组织“乡村振兴”知识竞赛,有甲、乙两类问题.每位参加比赛的选手先在两 类问题中选择一类并从中随机抽取一个问题回答,若回答错误,则该选手比赛结束;若回答正确,则从另一类问题中再随机抽取一个问题回答,无论回答正确与否,该选手比赛结束.甲类问题中的 每个问题回答正确得30分,否则得0分;乙类问题中的每个问题回答正确得50分,否则得0分.已 知选手张某能正确回答甲类问题的概率为0.9,能正确回答乙类问题的概率为0.7,且能正确回答问 题的概率与回答次序无关. (1)若选甲、乙两类问题是等可能的,求张某至少答对一道问题的概率; (2)如果答题顺序由张某选择,以累计得分多为决策依据,说明张某应选择先回答哪类问题. 20.(12分)已知抛物线 的焦点为 ,且经过点 . (1)求抛物线C方程及其准线方程; (2)过 作斜率不为0的直线交抛物线 于 两点,直线 分别交 于 两点,求 证:以 为直径的圆经过 轴上的两个定点. 21.(12分)如图,在四棱锥 中,底面 为直角梯形, , , , , 为 的中点. (Ⅰ)求证: 平面 ; (Ⅱ)求二面角 的正弦值; (Ⅲ)记 的中点为 ,若 在线段 上,且直线 与平面 所成的角的正弦值为 , 求线段 的长. 22.(12分)已知函数 . (1)求曲线 在 处切线的斜率;(2)当 时,比较 与x的大小; (3)若函数 ,且 ( ),证明: .