当前位置:首页>文档>四川省成都市树德中学2024-2025学年高二上学期期中物理试题PDF版含答案_2024-2025高二(7-7月题库)_2024年11月试卷_1108四川省成都市树德中学2024-2025学年高二上学期期中考

四川省成都市树德中学2024-2025学年高二上学期期中物理试题PDF版含答案_2024-2025高二(7-7月题库)_2024年11月试卷_1108四川省成都市树德中学2024-2025学年高二上学期期中考

  • 2026-04-05 01:29:15 2026-02-18 01:05:44

文档预览

四川省成都市树德中学2024-2025学年高二上学期期中物理试题PDF版含答案_2024-2025高二(7-7月题库)_2024年11月试卷_1108四川省成都市树德中学2024-2025学年高二上学期期中考
四川省成都市树德中学2024-2025学年高二上学期期中物理试题PDF版含答案_2024-2025高二(7-7月题库)_2024年11月试卷_1108四川省成都市树德中学2024-2025学年高二上学期期中考
四川省成都市树德中学2024-2025学年高二上学期期中物理试题PDF版含答案_2024-2025高二(7-7月题库)_2024年11月试卷_1108四川省成都市树德中学2024-2025学年高二上学期期中考
四川省成都市树德中学2024-2025学年高二上学期期中物理试题PDF版含答案_2024-2025高二(7-7月题库)_2024年11月试卷_1108四川省成都市树德中学2024-2025学年高二上学期期中考
四川省成都市树德中学2024-2025学年高二上学期期中物理试题PDF版含答案_2024-2025高二(7-7月题库)_2024年11月试卷_1108四川省成都市树德中学2024-2025学年高二上学期期中考

文档信息

文档格式
pdf
文档大小
1.053 MB
文档页数
5 页
上传时间
2026-02-18 01:05:44

文档内容

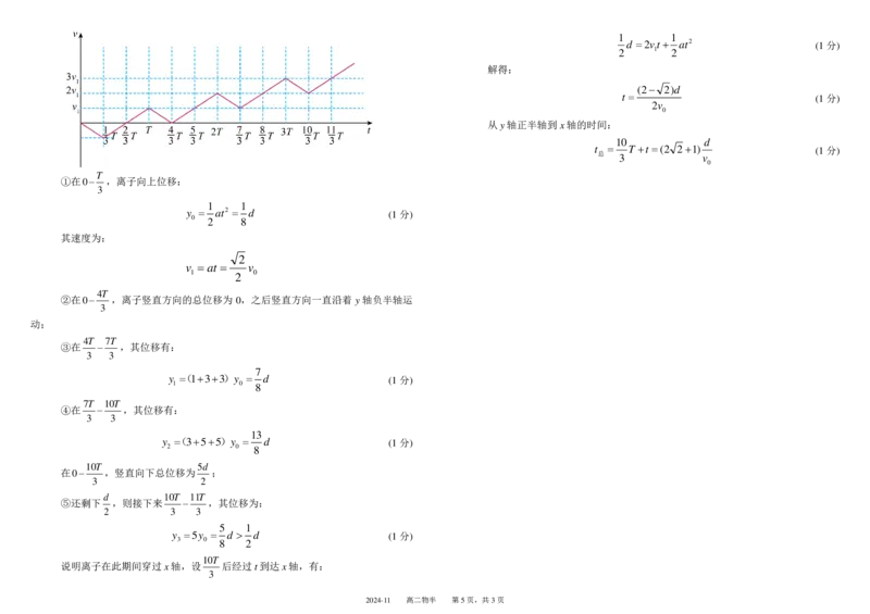
树德中学高 2023 级高二上学期 11 月半期测试物理试题 中的a、b、c所示.则( ). A.图线b表示输出功率P 随电流I变化的关系 时间:75 min 总分:100分 命题人:张文举 审题人:刘健 邓优 张勇 R B.图中a线最高点对应的功率为最大输出功率 一、单项选择题(本题共 7小题,每题 4分,共 28分.每题给出的四个选项中,只 C.图线上A、B、C 三点的纵坐标一定满足关系 P =1.5P =3P 有一个选项符合题目要求) A B C D.两个图线交点M 与N 的横坐标之比一定为 1∶2,纵坐标之比一定为 1∶4 1.下列单位换算关系正确的是( ). A.1法拉=1 库仑•伏特 B.1 焦耳=1.6×10-19电子伏 6.如图所示,电源电动势E、内阻r恒定,定值电阻R 1 的阻值等于 r,定值电阻 R 的阻值等于2r,闭合开关 S,平行板电容器两板间有一带电液滴刚好处于静止状态.将 C.1牛顿⁄库仑=1 伏特⁄米 D.1 安培=1 库仑⁄欧姆 2 滑动变阻器滑片向下滑动,理想电压表 V 、V 、V 的示数变化量的绝对值分别为U 、 2.船上的人和水下的潜水员都能听见轮船的鸣笛声.声波在空气中和在水中传播 1 2 3 1 时的( ). U 、U ,理想电流表 A 示数变化量的绝对值为I,下列说法不 . 正 . 确 . 的是( ). 2 3 A. 波速和波长均不同 B. 频率和波速均不同 A.带电液滴将向下运动,定值电阻 C. 波长和周期均不同 D. 周期和频率均不同 R 中有从a流向b的瞬间电流 2 3.如图,曲线是电子进入点电荷 Q形成的电场中的运动轨迹,它先后经过 A、B B.U U 1 2 两点,受到的电场力如图中箭头所示.已知电子只受电场力,下列说法正确的是( ). U U U C. 1 、 2 、 3 均不变 I I I A.点电荷 Q带负电 D.电源的输出功率变大,电源效率变小 B.电子在 A点的加速度大于 B点的加速度 7.纸面内存在沿某方向的匀强电场,在电场中取 O点为坐标原点建立 x轴,以O C.电子从 A点到B点,速度先减小后增加 为圆心、R为半径,从x轴上的a 点开始沿逆时针方向作圆,a~h是圆周上的 8个等分 D.电子在 A点的电势能小于在B点的电势能 点,如图(a)所示;测量圆上各点的电势 φ与半径同x轴正方向的夹角 θ,描绘的 4.在研究微型电动机的性能时,可采用如图所示的实验电路.当调节滑动变阻器R, 图像如图(b)所示,下列说法正确的是( ). 使电动机停止转动时,电流表和电压表的示数分别为 0.5A和1.0V;当重新调节 R,使 电动机恢复正常运转时,电流表和电压表的示数分别为 2.0A和15.0V。电表均为理想表。 则有关这台电动机正常运转时的说法正确的是( ). A.电动机的内电阻为 7.5Ω B.电动机的内电阻发热功率为 8W C.电动机的输出功率为 30W   A.电场强度的大小为 1 2 B.O点的电势为 1 2 D.电动机的效率约为 27% 2R 2 3() 5.某同学将一直流电源的总功率 P E 、输出功率 P R 和电源内 C.a、e两点的电势差为 1 2 2 部的发热功率 P 随电流I变化的图线画在了同一坐标系中,如图 r D.从e到f,电势一直降低,从 g到h,电势一直升高 2024-11 高二物半 第1页,共3页二、多项选择题(本题共 3小题,每题5分,共15分.每题给出的四个选项中,有多个选 小球在Q点由静止释放,重力加速度为 g.则( ). 项符合题目要求,全部选对得5分,部分选对得3分,选错不得分) mgsin A.匀强电场的电场强度大小为 8.一列简谐横波在t = 0.2s时的波形如图甲所示,P是介质中的质点,图乙是质点P的振动图 5q 像.已知波在介质中的波长为12m,则下列说法正确的是( ). 12gsin B.小球在Q点的加速度大小为 5 12mgLsin C.小球运动的最大动能为 25 24mgLsin D.小球从Q点运动到最低点弹性势能变化量为 25 A. 波速为 10m/s B. 波速为20m/s 三、高考资源网:实验题(本题共 2小 题,共 15分) C. 质点 P的平衡位置坐标为 x = 2m 11.(7分) D. 质点 P的平衡位置坐标为x = 3m (1)某实验小组在“测定金属丝电阻率”的实验过程中,如图甲、乙所示,正确操作 9.如图甲所示,两等量同种正点电荷位于同一竖直线上,在两点电荷连线的中垂 用游标卡尺测得金属丝的长度 L 为 cm、用螺旋测微器测得金属丝的直径 d 线上放置绝缘水平轨道 MN,电荷连线中点 O处有一可视为质点、电荷量大小为 0.5C、 为 mm. 质量为1kg的带电小球.t = 0时刻给小球一个水平向右的初速度 v =1m/s,此后运动的 0 v-t 图像如图乙所示,已知 0 时刻图线斜率绝对值为 4,图线上的 P点切线斜率为 t - 1 t 间曲线切线斜率最大点,其值为 6,小球运动至距 O点0.8m 处时速度减为零,重力加 3 速度g=10m/s2,下列说法正确的是( ). (2)已知实验中所用的滑动变阻器阻值范围为 0~10Ω,电流表内阻约几欧,电压表 内阻约20kΩ,电源为干电池(不宜在长时间、大功率状况下使用),电动势 E=4.5V, 内阻很小。则以下电路图中 (填电路图下方的字母代号)电路为本次实验应 当采用的最佳电路。但用此最佳电路测量的结果仍然会比真实值 (选填“偏大” A.小球带负电 “偏小”或“不变”). B.小球与水平轨道因摩擦产生的热量为 3.2J C.两点电荷连线中垂线上的场强最大值为 10N/C D.若取小球最终停止位置为零电势点,则 O点电势为 5.4V 10.如图所示,固定光滑直杆上套有一个质量为 m,带电量为+q的小球和两根原长 均为L 的轻弹簧,两根轻弹簧的一端与小球绝缘相连,另一端分别 (3)若已知实验所用的电流表内阻的准确值 R =2.0 Ω,则精确测量金属丝 R 的阻值 固定在杆上相距为 2L 的A、B两点;空间存在方向竖直向下的匀强 A x 的最佳电路应是(2)中 电路(选填电路图下方的字母).此时测得电流为 I、电 电场.已知直杆与水平面的夹角为 θ,两弹簧的劲度系数均为 压为U,那么金属丝的电阻率为 (用直接测量的物理量字母表示). 3mgsin 4L 4L ,小球在距B点 的P点处于静止状态.Q点距A点 , L 5 5 2024-11 高二物半 第2页,共3页12.(8分) 14.(14分) 某同学用伏安法测一节干电池的电动势和内阻,现备有下列器材: 如图所示,半径为r 的绝缘光滑圆环固定在竖直平面内,环上套有一质量为 m,带 A.待测干电池一节 电荷量为+q 的珠子,现欲加一个与圆环面平行的匀强电场,场强方向平行 BC 指向 B, B.电流表 A:量程 0~0.6A,内阻为0.8Ω 使珠子由最高点A从静止开始释放,沿圆弧经过 B、C 刚好能运动到D.重力加速度为 C.电压表 V :量程0~3V,内阻未知 g.求: 1 D.电压表 V :量程0~15V,内阻未知 (1)所加电场的电场强度大小; 2 E.滑动变阻器 R :0~20Ω,2A (2)珠子由A到D过程中速度最大时对圆环的作用力大小; 1 F.滑动变阻器 R :0~2000Ω,1A (3)要使珠子能完成完整的圆周运动,在 A点至少应具有多大的初 2 G.开关、导线若干 动能? 伏安法测电池电动势和内阻的实验中,由于电流表和电压表内阻的影响,测量结果 存在系统误差.在现有器材的条件下,为消除上述系统误差,尽可能准确地测量电池的 15.(18分) 电动势和内阻。 如图甲所示,在直角坐标系的 y轴正半轴上,固定一个负点电荷,位置 y 、电量Q (1)在上述器材中请选择适当的器材:电压表 ,滑动变阻器选 (填写器 Q 均未知,其产生的电场仅在第二象限存在.在整个第三象限内,有平行于 y轴向上的匀 材前的序号字母). 强电场,电场强度为 E 但大小未知.一质量为 m,电荷量为 q 的正离子(不计重力) (2)实验电路图应选择下图中的 (填“甲”或“乙”). 1 3d 从 y 轴负半轴距坐标原点 处沿 x 轴负方向以速度 v 射入第三象限,之后从 x 轴负半 0 2 轴距坐标原点 3d 处进入第二象限后做匀速圆周运动,经过 y轴时,第一、四象限开始 3 2 d 有周期性变化的电场 E ,E 初始方向平行于 y 轴正方向,其周期T   ,E 与时 2 2 2 4 v 0 间t 的关系如图乙所示,已知静电力常量为 k.求: (3)根据实验中电流表和电压表的示数得到了如图丙所示的 U-I 图像。由此可知, (1)电场强度E 的大小; 1 干电池的内电阻 r = Ω(结果保留2位有效数字). (2)负点电荷的位置y 、电量 Q; Q 四、计算题(本题共 3小题,共 42分) (3)离子从y轴正半轴到 x轴的时间. 13.(10分) 如图所示电路,电源电动势为 6 V,内阻为1Ω。定值电阻 R 阻值为2Ω,R 阻值为 1 2 1Ω,滑动变阻器阻值范围为 0~8Ω,电表为理想表,则: (1)S断开时调节滑动变阻器的阻值,电压表示数的最大值和最小 值的差为U ;S闭合时调节滑动变阻器的阻值,电压表示数的最大 1 值和最小值的差为U ,求二者之比; 2 (2)S断开时,滑动变阻器阻值为多少时其功率最大?最大功率为 多少? 2024-11 高二物半 第3页,共3页树德中学高 2023 级高二上学期 11 月半期测试物理试题参考答案 qE  ma (1分) 1 1 竖直方向有: 题号 1 2 3 4 5 1 3 答案 C A C B D y  at2  d (1分) 2 1 2 题号 6 7 8 9 10 水平方向有: 答案 B C AD BD BCD x v t  3d (1分) 0 11.(7 分) 解得: (1)1.050(1 分)、0.530(1 分);(2)A(1分)、偏小(1 分); mv2 πd2(U-IR ) E  0 (1分) (3)B(1 分)、 A (2分). 1 qd 4IL 12.(8分) (2)离子在第三象限完成类平抛运动时,速度的偏转角为。有: (1)C(2分)、E(2分);(2)乙(2分);(3)0.20(2分). a t tan 1 (1分) 13.(10分) v 0 8 U 3 (1)U 2V,U  V, 1  (6分) 解得:600 1 2 3 U 4 2 离子在第二象限做匀速圆周运动,半径为r,由几何关系得: (2)滑动变阻器阻值为 4Ω时功率最大,最大为 2.25W (4分) r  2d (1分) 14.(14分) y rcosd (1分) (1)找到等效重力方向:斜向左下方 45°,则: (2分) Q 离子在第二象限做匀速圆周运动,速度为v,有: 2mg E  (2分) 2q v v  0  2v (1分) (2)由A点到等效最低点 M,由动能定理: cos 0 离子在第二象限做匀速圆周运动,静电力充当向心力,有: 2 1 mgr(1cos45) mv2 0 (2分) 2 2 max kQq mv2  (1分) 在等效最低点 M,根据牛顿第二定律: r2 r 2 mv2  3 2 解得: F  mg  max F  F ( 1)mg (4分) N 2 r N N 2 8mdv2 (3)由A点到等效最高点 N,由动能定理: Q  0 (1分) kq 2 21 - mgr(1cos45)0E E  mgr (4分) (3)离子到y轴正半轴时距坐标原点 3d,第1、4象限加速度大小: 2 kA kA 2 qE 2v2 a  2  0 (1分) m d 15.(18分) 以向下为正方向,作出离子运动的 v-t 图像。如图所示 (1)离子在第三象限做类平抛运动,则有: 2024-11 高二物半 第4页,共3页1 1 d 2vt at2 (1分) 2 1 2 解得: (2 2)d t  (1分) 2v 0 从y轴正半轴到x轴的时间: 10 d t  T t (2 21) (1分) 总 3 v 0 T ①在0 ,离子向上位移: 3 1 1 y  at2  d (1分) 0 2 8 其速度为: 2 v  at  v 1 2 0 4T ②在0 ,离子竖直方向的总位移为 0,之后竖直方向一直沿着 y轴负半轴运 3 动; 4T 7T ③在  ,其位移有: 3 3 7 y (133)y  d (1分) 1 0 8 7T 10T ④在  ,其位移有: 3 3 13 y (355)y  d (1分) 2 0 8 10T 5d 在0 ,竖直向下总位移为 ; 3 2 d 10T 11T ⑤还剩下 ,则接下来  ,其位移为: 2 3 3 5 1 y 5y  d  d (1分) 3 0 8 2 10T 说明离子在此期间穿过 x轴,设 后经过t到达x轴,有: 3 2024-11 高二物半 第5页,共3页