当前位置:首页>文档>五年级下册数学列式计算及答案_小学1-6年级全部试卷_数学_五年级_3-10-4、小学五年级数学下册_3-10-4-2、练习题、作业、试题、试卷_人教版_专项练习

五年级下册数学列式计算及答案_小学1-6年级全部试卷_数学_五年级_3-10-4、小学五年级数学下册_3-10-4-2、练习题、作业、试题、试卷_人教版_专项练习

  • 2026-04-09 22:16:04 2026-02-19 12:23:21

文档预览

五年级下册数学列式计算及答案_小学1-6年级全部试卷_数学_五年级_3-10-4、小学五年级数学下册_3-10-4-2、练习题、作业、试题、试卷_人教版_专项练习
五年级下册数学列式计算及答案_小学1-6年级全部试卷_数学_五年级_3-10-4、小学五年级数学下册_3-10-4-2、练习题、作业、试题、试卷_人教版_专项练习
五年级下册数学列式计算及答案_小学1-6年级全部试卷_数学_五年级_3-10-4、小学五年级数学下册_3-10-4-2、练习题、作业、试题、试卷_人教版_专项练习

文档信息

文档格式
pdf
文档大小
0.313 MB
文档页数
3 页
上传时间
2026-02-19 12:23:21

文档内容

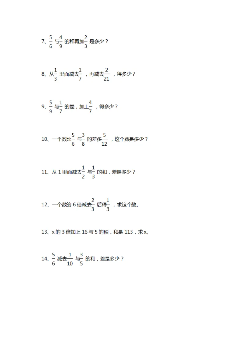
答案 (1)解:设这个数为x 3.6x+8.4x=48 x=4 (2)解:设这个数为x 8x-3x=75.5 x=15.1 (3)3.46×2.7+4.08=13.422 (4)(3.8+13.2)×3.2=54.4 (5)8.45×18÷0.9=169 (6)3.05×2.4-4.78=2.54 (7)一又十八分之十七 (8)2/21 (9)62/63 (10)7/8 (11)1/6 (12)1/6 (13)3x+16×5=113 x=11 (14)2/15