当前位置:首页>文档>人教版四年级数学下册单元测试卷(含答案)-第8单元平均数与条形统计图:第八单元检测1_小学1-6年级全部试卷_数学_四年级_3-9-4、小学四年级数学下册_3-9-4-2、练习题、作业、试题、试卷

人教版四年级数学下册单元测试卷(含答案)-第8单元平均数与条形统计图:第八单元检测1_小学1-6年级全部试卷_数学_四年级_3-9-4、小学四年级数学下册_3-9-4-2、练习题、作业、试题、试卷

  • 2026-04-10 12:02:51 2026-02-19 15:44:05

文档预览

人教版四年级数学下册单元测试卷(含答案)-第8单元平均数与条形统计图:第八单元检测1_小学1-6年级全部试卷_数学_四年级_3-9-4、小学四年级数学下册_3-9-4-2、练习题、作业、试题、试卷
人教版四年级数学下册单元测试卷(含答案)-第8单元平均数与条形统计图:第八单元检测1_小学1-6年级全部试卷_数学_四年级_3-9-4、小学四年级数学下册_3-9-4-2、练习题、作业、试题、试卷
人教版四年级数学下册单元测试卷(含答案)-第8单元平均数与条形统计图:第八单元检测1_小学1-6年级全部试卷_数学_四年级_3-9-4、小学四年级数学下册_3-9-4-2、练习题、作业、试题、试卷
人教版四年级数学下册单元测试卷(含答案)-第8单元平均数与条形统计图:第八单元检测1_小学1-6年级全部试卷_数学_四年级_3-9-4、小学四年级数学下册_3-9-4-2、练习题、作业、试题、试卷
人教版四年级数学下册单元测试卷(含答案)-第8单元平均数与条形统计图:第八单元检测1_小学1-6年级全部试卷_数学_四年级_3-9-4、小学四年级数学下册_3-9-4-2、练习题、作业、试题、试卷

文档信息

文档格式
doc
文档大小
0.224 MB
文档页数
5 页
上传时间
2026-02-19 15:44:05

文档内容

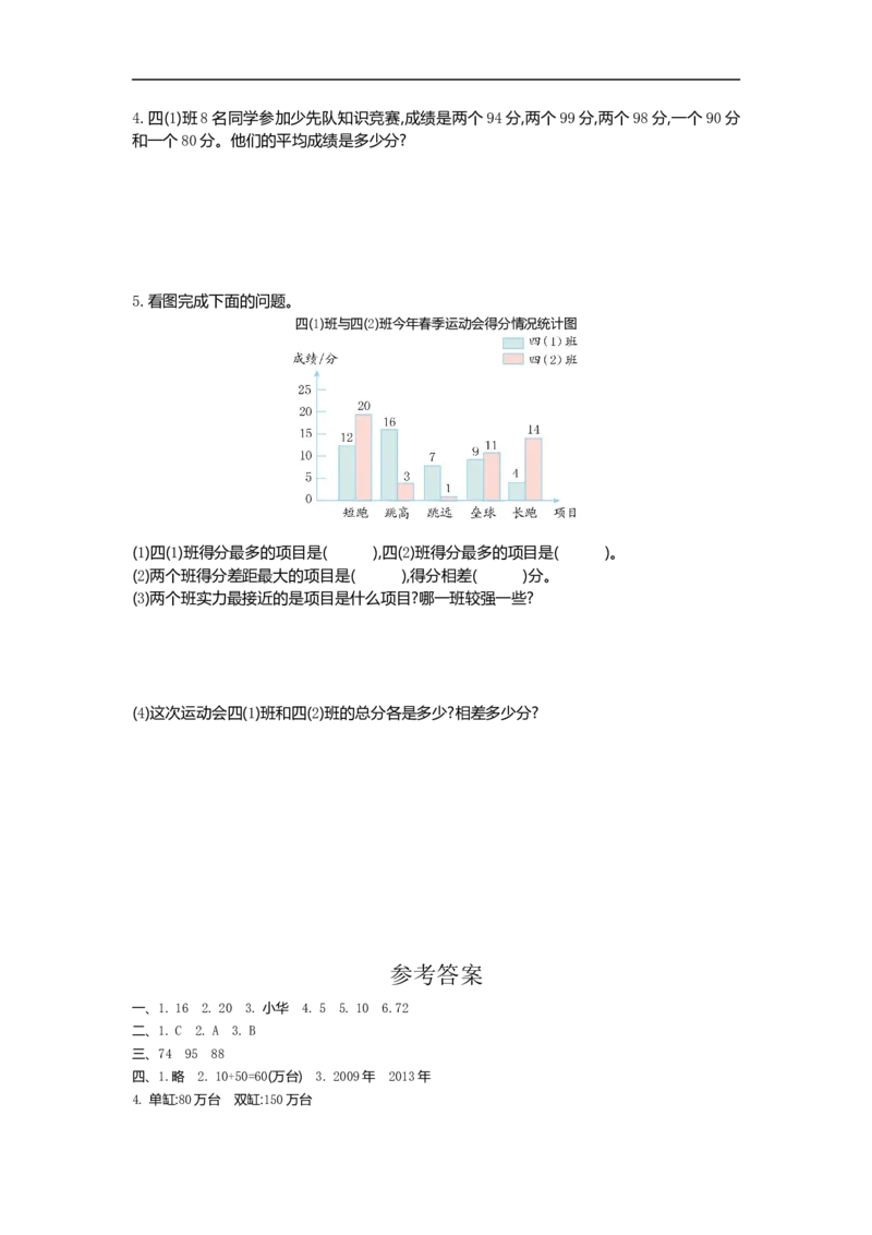
第八单元检测(1) 一、填空题。 1.小明15岁,红红17岁,两人的平均年龄是( )岁。 2.明明读一本课外书,第一天读了17页,第二天读了23页,第三天读了20页,他平均每天读( )页。 3.小军和小华比赛拍皮球,小军2分钟拍166下,小华3分钟拍258下,( )拍得快。 4.三个笔筒中,平均每个笔筒有6支笔,第一个笔筒中有6支笔,第二个笔筒中有7支笔,第3个 笔筒中有( )支笔。 5.四(1)班5名同学向希望小学共捐赠了50本图书,平均每人捐赠了( )本。 6.小明和4名同学一起测量1分钟脉搏跳动的次数,结果分别是:75次、67次、72次、70次、76 次。这几名同学1分钟脉搏跳动的平均次数为( )次。 二、选择题。(把正确答案的序号填在括号里) 四年级同学最喜欢的体育项目统计图 1. 喜欢( )项目的人数最多。 A. 乒乓球 B. 跳绳 C. 游泳 D.足球 2. 喜欢( )项目的人数最少。 A. 乒乓球 B. 跳绳 C. 游泳 D. 踢毽子 3. 四年级一共有( )名同学。 A. 29 B. 187 C. 200 D. 207 三、完成表格。 语文 数学 英语 平均分 李刚 98 92 88 肖强 96 98 91 王浩 98 84 82 四、某品牌洗衣机生产情况如下表。 种类数量/万 单缸 双缸 台年份 2009年 20 10 2010年 18 20 2011年 17 302012年 15 40 2013年 10 50 1.请根据上表的数据完成下面的条形统计图。 2.2013年单缸、双缸洗衣机共生产了多少万台? 3.从2009年到2013年,哪一年生产单缸洗衣机最多?哪一年生产双缸洗衣机最多? 4.这几年共生产单缸、双缸洗衣机各多少万台? 5.从图中可以看出单缸洗衣机的生产量在逐渐增多还是减少?双缸洗衣机呢?从这一点你看 出了什么问题? 五、解决问题。 1.根据下面的统计图回答问题。 甲、乙两村2006~2012年家庭轿车拥有量统计图(1)2012年乙村家庭轿车拥有量是2006年的几倍? (2)2012年甲村家庭轿车拥有量是2006年的几倍? (3)你还能得到什么信息?有什么感受? 2.实验小学高年级各年级捐书情况的统计表如下: 实验小学高年级各年级捐书情况统计表 四年级 五年级 六年级 120本 160本 200本 实验小学高年级班级情况统计表 四年级 五年级 六年级 3个班 3个班 2个班 (1)平均每个年级捐书多少本? (2)平均每个班捐书多少本? 3.王军读一本故事书,前4天每天读16页,后5天读了71页正好读完,这本书共有多少页?王 军平均每天读几页?4.四(1)班8名同学参加少先队知识竞赛,成绩是两个94分,两个99分,两个98分,一个90分 和一个80分。他们的平均成绩是多少分? 5.看图完成下面的问题。 四(1)班与四(2)班今年春季运动会得分情况统计图 (1)四(1)班得分最多的项目是( ),四(2)班得分最多的项目是( )。 (2)两个班得分差距最大的项目是( ),得分相差( )分。 (3)两个班实力最接近的是项目是什么项目?哪一班较强一些? (4)这次运动会四(1)班和四(2)班的总分各是多少?相差多少分? 参考答案 一、1. 16 2. 20 3. 小华 4. 5 5. 10 6.72 二、1. C 2. A 3. B 三、74 95 88 四、1.略 2. 10+50=60(万台) 3. 2009年 2013年 4. 单缸:80万台 双缸:150万台5. 减少 增多 双缸洗衣机越来越受消费者欢迎。 五、1.(1)8 (2)13 (3)答案不唯一,如:两村家庭轿车拥有量都在逐年增加。 2.(1)120+160+200=480(本) 480÷3=160(本) (2)3+3+2=8(个) 480÷8=60(本) 3.16×4=64(页) 64+71=135(页) 135÷(4+5)=15(页) 4.94×2+99×2+98×2+90+80=752(分) 752÷8=94(分) 5.(1)跳高 短跑 (2)跳高 13 (3)垒球 四(2)班较强一些 (4)四(1)班:48分 四(2)班:49分 相差1分