当前位置:首页>文档>高三政治期中试卷_2024-2025高三(6-6月题库)_2024年11月试卷_1120云南省玉溪市一中2024-2025学年高三上学期期中考试_政治

高三政治期中试卷_2024-2025高三(6-6月题库)_2024年11月试卷_1120云南省玉溪市一中2024-2025学年高三上学期期中考试_政治

  • 2026-04-12 08:26:36 2026-02-19 19:23:17

文档预览

高三政治期中试卷_2024-2025高三(6-6月题库)_2024年11月试卷_1120云南省玉溪市一中2024-2025学年高三上学期期中考试_政治
高三政治期中试卷_2024-2025高三(6-6月题库)_2024年11月试卷_1120云南省玉溪市一中2024-2025学年高三上学期期中考试_政治
高三政治期中试卷_2024-2025高三(6-6月题库)_2024年11月试卷_1120云南省玉溪市一中2024-2025学年高三上学期期中考试_政治
高三政治期中试卷_2024-2025高三(6-6月题库)_2024年11月试卷_1120云南省玉溪市一中2024-2025学年高三上学期期中考试_政治
高三政治期中试卷_2024-2025高三(6-6月题库)_2024年11月试卷_1120云南省玉溪市一中2024-2025学年高三上学期期中考试_政治
高三政治期中试卷_2024-2025高三(6-6月题库)_2024年11月试卷_1120云南省玉溪市一中2024-2025学年高三上学期期中考试_政治
高三政治期中试卷_2024-2025高三(6-6月题库)_2024年11月试卷_1120云南省玉溪市一中2024-2025学年高三上学期期中考试_政治
高三政治期中试卷_2024-2025高三(6-6月题库)_2024年11月试卷_1120云南省玉溪市一中2024-2025学年高三上学期期中考试_政治

文档信息

文档格式
docx
文档大小
0.096 MB
文档页数
8 页
上传时间
2026-02-19 19:23:17

文档内容

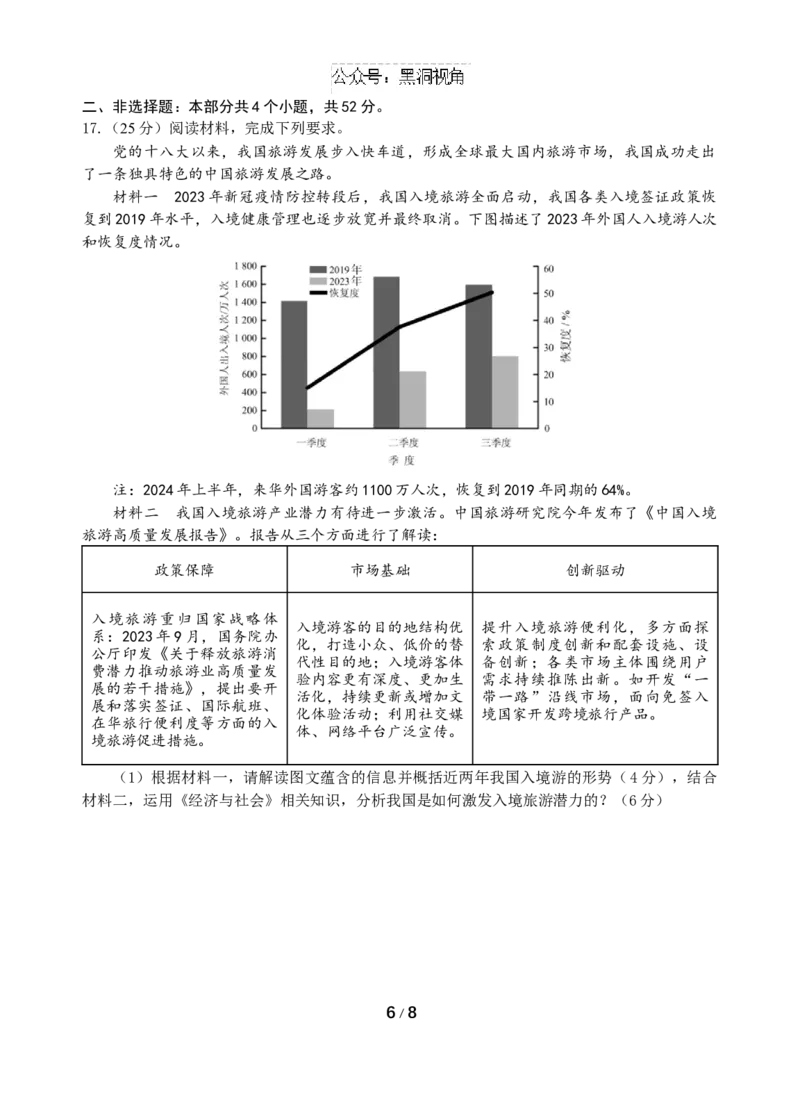
玉溪一中2024-2025学年上学期高三年级期中考 思想政治试卷 (满分:100分;考试时间:75分钟) 命题人:胡君晶 郑阳 一、选择题:本部分共16个小题,每小题3分,共48分。在每小题给出的四个选项中,只有一 个项是符合题目要求的。 1.马克思在《1844年经济学哲学手稿》中指出,工人同自己的劳动产品的关系就是异己的对象 关系。工人在劳动中耗费的力量越多,他亲手创造出来反对自身的、异己的对象世界的力量 就越大,他本身、他的内部世界就越贫乏,归他所有的东西就越少。由此可以推断 ①无产阶级与资产阶级在根本利益上总是对立的 ②资本主义基本矛盾必将随生产社会化得以调和 ③资本家对广大雇佣工人的剥削具有极大隐蔽性 ④工人的贫困是资本主义社会一切矛盾的总根源 A.①③ B.①④ C.②③ D.②④ 2.神舟飞天、高铁奔驰、南水北调……从南海之滨到北国雪原,从东部沿海到西北内陆,一个 个重大工程相继问世,一项项发展成就硕果累累。一位西方政要来华访问时曾提出问题:为 何中国制定的五年规划能一个接一个地完成?得到的答案是:中国的制度设计就是一张蓝图 绘到底,一代接着一代干。这说明 ①中国特色社会主义制度植根于中国特色社会主义伟大实践 ②中国特色社会主义制度是激励全国人民奋勇前进的强大精神力量 ③我国国家治理的系列工作和活动都依照中国特色社会主义制度展开 ④中国特色社会主义制度和国家治理体系能够持续推动国家发展进步 A.①② B.①④ C.②③ D.③④ 3.在某产业园区,一架无人机降落在外卖柜上方,通过精准定位系统将外卖投入柜中,供顾客 自助拿取;在我国西部某地,一架架搭载着新鲜松茸的无人机腾空而起,原本人工背下山需 要一到两小时,现在无人机运送只需要15分钟到半小时……低空经济逐渐走入人们的生活。 它作为新质生产力的代表,已经成为培育发展新动能的重要方向。 资料卡 低空经济是以低空空域为依托,以通用航空产业为主导,涉及低空飞行、航空旅游、 支线客运、通航服务、科研教育等众多行业的经济概念,是辐射带动效应强、产业链较长 的综合经济形态。 由此可见,发展低空经济有利于 ①推动科技与产业融合,促进形成新的经济增长点 ②辐射带动相关领域发展,打造经济社会发展新空间 ③提升发展效率,增加相关行业企业人力资源供给 ④下沉落后边远地区,满足各种市场的需求 A.①② B.①④ C.②③ D.③④ 1 / 84.今年9月13日,全国人民代表大会常务委员会通过实施渐进式延迟法定退休年龄的决定。此 决定综合考虑了我国人均预期寿命、人口结构、国民受教育程度、劳动力供给等因素,按照 小步调整、弹性实施等原则逐步延迟法定退休年龄。该决定 ①使我国劳动力人力资源得到有效配置,释放新的人才红利 ②是一项综合性的社会改革,顺应了社会发展的多方面需要 ③基于劳动力市场匹配就业岗位劳动力人口不断增多的现状 ④有利于改善人口老龄化结构,逐步解决老龄化带来的问题 A.①② B.①④ C.②③ D.③④ 5.党的二十届三中全会提出进一步全面深化改革的“七个聚焦”,其中一个方面是“聚焦发展 全过程人民民主”。关于“全过程人民民主”下列说法正确的是 ①“人”是怎么选的——始终坚持大团结、大联合,做好新时代的统战工作 ②“事”是怎么议的——广开言路,广求良策,全面发展社会主义协商民主 ③“策”是怎么定的——充分保障人民群众在国家政治社会生活中的决策权 ④“权”是怎么用的——通过制度化方式对权力运行进行规范、制约与监督 A.①② B.①③ C.②④ D.③④ 6.2024年5月18日,某区人民法院与该区多家商协会签订诉前调解工作框架协议,探索出“法 院+工商联”多元化调解机制,实现民营企业发生经济纠纷“只进一扇门”“只跑一次腿”, 在商协会里就能完成调解。建立“法院+工商联”多元化调解机制 ①有利于有效化解社会矛盾,维护公平正义,促进社会和谐 ②促进了行政服务效率的提高,引导涉事双方理性表达诉求 ③拓宽了涉企纠纷源头治理渠道,助推法治化营商环境建设 ④有助于健全我国司法救助制度,进一步完善法律服务体系 A.①② B.①③ C.②④ D.③④ 近年来,我国农业科技突飞猛进,支撑能力显著提升。科技兴农、科技助农成为现代农业 的主旋律。阅读材料,回答7-8小题。 7.2024年“科技小院”一词首次写入中央一号文件。科技小院以“研究生+农民+合作社+产 业”的人才培养模式运作,从事科学研究、服务“三农”工作。近年来,科技小院的建设和 发展问题牵动许多政协委员的情思: 四川省科学技术厅对政协四川省第十三届委员会第二次会议第1368号提案答复的函 发布时间:2024-6-28 王长庭委员: 感谢您对我省农业科技工作的关心和支持。您提出的《基于“科技小院+科研基础” 的模式,引领高寒牧区高质量发展》收悉,我厅高度重视,结合工作职能,经认真研 究,现答复如下:…… 材料表明 ①党和国家高度重视“三农”问题,锚定科技小院高质量发展 2 / 8②政协委员积极履行国家职能,参与管理地方的农业科技工作 ③政协委员行使表达权和质询权,监督指导政府有效履行职责 ④人民政协工作聚焦中心任务,主动向国家机关提意见和建议 A.①② B.②③ C.①④ D.③④ 8.习近平总书记在给中国农业大学科技小院的同学们回信中说,青年人就要“自找苦吃”,强 调新时代中国青年就应该有这股精气神。一批批有知识、有技术的青年学子扎根乡村沃土, 把论文和贡献写在希望的田野上,以科技成果助力农民增收致富。由此可见 ①乡村振兴的效果取决于青年人的精神品质 ②主体的知识和能力是实现人生价值的前提 ③青年在投身为人民服务的实践中实现价值 ④砥砺自我是人能不断走向成功的重要因素 A.①② B.①③ C.②④ D.③④ 9.气象工作者通常用气压计的水银柱的高低来预测天气的变化,农民们则通过观察太阳和月亮 的变化来预测天气。这是因为有些事物之间存在着相关关系,当某一事物先出现,另一个事 物也接着出现,所以人们可以根据先出现的事物来预测后出现的事物。对此理解正确的是 ①人可以把握对象之间的关联,做出合理推断 ②人的意识具有能动创造性,可以推测未来 ③两个事物之间必然有着引起和被引起的联系 ④寻找到因果联系,是正确认识事物的基础 A.①② B.①④ C.②③ D.③④ 10.2024年6月25日,嫦娥六号圆满完成任务,使我国成为世界上唯一一个两度着陆月球背面 的国家,实现了人类首次从月球背面成功采集月壤并返回地球的宏愿。中国的这一历史性创 举,不仅代表着中国在航天领域的技术突破,更意味着为人类航天事业补上了一块重要拼图 材料表明 ①先进的认识工具,可以让人发现和接近真理 ②破除客观条件的制约方能实现认识上的突破 ③实践活动可以把观念的存在变成现实的存在 ④人类的实践水平不断提升,具有社会历史性 A.①② B.①④ C.②③ D.③④ 11.2024年全球将有70多个国家和地区举行选举。以下为其中两国选举的新闻: 1月初,孟加拉国举行国民议会选举, 7月4日,英国众议院大选结果揭晓, 哈西娜领导的人民联盟获得223个席位,成 工党以绝对优势获得压倒性胜利,而执政 为多数党。随后,总统穆罕默德·谢哈布 的保守党仅获得少数议席。7月5日,英国 丁·楚普任命哈西娜为总理,并同意由其 工党领袖基尔·斯塔默觐见国王、接受任 组建新内阁。 命,成为新任英国首相。 由此可推断 ①孟加拉国与英国的政府首脑均对议会负责 ②孟加拉国总统是政府首脑,直接行使最高行政权力 ③英国议会若不信任政府,首相可提请国家元首解散议会 ④虽然国家结构形式不同,但两国都属于资产阶级性质的民主 3 / 8A.①② B.①③ C.②③ D.③④ 12.2024年10月23日,习近平主席出席金砖国家领导人第十六次会晤并发表重要讲话,提出建 设“和平金砖”“创新金砖”“绿色金砖”“公正金砖”“人文金砖”五点建议,强调中方 愿同金砖各国一道,开创“大金砖合作”高质量发展新局面,携手更多“全球南方”国家共 同推动构建人类命运共同体。这体现了 ①金砖国家是新兴市场与发达国家之间的合作机制 ②中国一直努力推动金砖国家合作机制的形成和发展 ③承认多样性,强调灵活性、渐进性和开放性的金砖精神 ④金砖国家应深化团结互信,推动构建新型国际关系 A.①② B.①③ C.②④ D.③④ 13.2024年9月初,甲市的邓某以每晚150元的价格在第三方平台订购了乙市某民宿“十一”假 期3天的房间,并通过商家和第三方平台确认订购成功。9月中旬,邓某接到民宿经营者李某 的电话,声称邓某所订民宿正在装修,通知邓某退房。然而,邓某在其他平台上看到该民宿 房间因假期游客猛增,价格涨至600元一晚。据此,以下说法正确的是 ①李某缺乏诚信,邓某可向其主张惩罚性赔偿 ②若双方自愿选择仲裁,则无需接受地域管辖 ③若民宿装修情况属实,即适用不可抗力条款 ④邓某消费权益受损,李某必须承担侵权责任 A.①② B. ①③ C.②④ D.③④ 14.H省第一公立小学旧址位于J县内,为该省文物保护单位。但J县文化和旅游局对该旧址一 直未采取有效措施加强监督管理,致使其建筑面临损毁灭失的风险。J县人民检察院提起公益 诉讼,请求判令J县文化和旅游局履行文物监管职责。J县人民法院查明事实后依法作出一审 判决,责令被告J县文化和旅游局继续履行对H省第一公立小学旧址的监管职责。在这起案件 中 ①J县文化和旅游局应当提供证据证明其行为的合法性 ②法庭辩论和宣告判决是整个诉讼过程中最重要的环节 ③人民法院应当严格按照民事诉讼法规定的程序进行审理 ④J县文化和旅游局可以在一审判决书送达后15日内提起上诉 A.①② B.①④ C.②③ D.③④ 15.《中华人民共和国爱国主义教育法》自2024年1月1日起施行。 第三十七条,任何公民和组织……不得有下列行为:…… (二)歪曲、丑化、亵渎、否定英雄烈士事迹和精神;…… (四)侵占、破坏、污损爱国主义教育设施;…… 第三十八条,教育、文化和旅游……等部门应当按照法定职责,对违反本法第三十七 条规定的行为及时予以制止……并依照有关法律、行政法规的规定予以处罚。 根据以上法条,下列判断或推理正确的是 ①“有第三十七条第二款行为”是“适用第三十八条”的充分不必要条件 4 / 8②甲因违反第三十七条第四款受到处罚:甲没有污损爱国主义教育设施的行为,所以甲有侵 占和破坏爱国主义教育设施的行为 ③如果第三十八条未适用于甲,那么说明甲没有第三十七条第四款的行为 ④除非有第三十七条第二款行为,否则不能适用第三十八条 A.①② B.①③ C.②④ D.③④ 16.中共中央办公厅、国务院办公厅印发的《关于深化新时代学校思想政治理论课改革创新的若 干意见》明确要求,“统筹大中小学思政课一体化建设”“在大中小学循序渐进、螺旋上升 地开设思政课”。这告诉我们思政课一体化建设 ①要从整体角度去思考如何解决思政课存在的问题 ②要着眼于局部,用局部发展推动整体的发展 ③是对大中小学思政课局部独立性的否定和批判 ④要把握思维的动态性,善于运用辩证发展观 A.①② B.①④ C.②③ D.③④ 5 / 8二、非选择题:本部分共4个小题,共52分。 17.(25分)阅读材料,完成下列要求。 党的十八大以来,我国旅游发展步入快车道,形成全球最大国内旅游市场,我国成功走出 了一条独具特色的中国旅游发展之路。 材料一 2023年新冠疫情防控转段后,我国入境旅游全面启动,我国各类入境签证政策恢 复到2019年水平,入境健康管理也逐步放宽并最终取消。下图描述了2023年外国人入境游人次 和恢复度情况。 注:2024年上半年,来华外国游客约1100万人次,恢复到2019年同期的64%。 材料二 我国入境旅游产业潜力有待进一步激活。中国旅游研究院今年发布了《中国入境 旅游高质量发展报告》。报告从三个方面进行了解读: 政策保障 市场基础 创新驱动 入境旅游重归国家战略体 入境游客的目的地结构优 提升入境旅游便利化,多方面探 系:2023年9月,国务院办 化,打造小众、低价的替 索政策制度创新和配套设施、设 公厅印发《关于释放旅游消 代性目的地;入境游客体 备创新;各类市场主体围绕用户 费潜力推动旅游业高质量发 验内容更有深度、更加生 需求持续推陈出新。如开发“一 展的若干措施》,提出要开 活化,持续更新或增加文 带一路”沿线市场,面向免签入 展和落实签证、国际航班、 化体验活动;利用社交媒 境国家开发跨境旅行产品。 在华旅行便利度等方面的入 体、网络平台广泛宣传。 境旅游促进措施。 (1)根据材料一,请解读图文蕴含的信息并概括近两年我国入境游的形势(4分),结合 材料二,运用《经济与社会》相关知识,分析我国是如何激发入境旅游潜力的?(6分) 6 / 8材料三 全国旅游发展大会5月17日在北京召开,这次会议是党中央首次以旅游发展为主 题召开的重要会议。新时代新征程,旅游发展面临新机遇新挑战,要坚持以习近平新时代中国 特色社会主义思想为指导,完整准确全面贯彻新发展理念,加快建设旅游强国。 各地区各部门要切实增强工作责任感使命感,分工协作、狠抓落实,尽快启动旅游法修订 程序,不断完善现行旅游法治体系,更好应对当下旅游关系和旅游秩序重构,以良法促进发展, 形成依法兴旅、依法治旅的良好氛围,推动旅游业高质量发展行稳致远。 (2)结合材料三,运用《政治与法治》相关知识,分析我国旅游业高质量发展行稳致远的 驱动力。(9分) 材料四 “China Travel”来昆明,外国人来了不想走! 2024年10月10日,据携程旅行发布的《2024年国庆旅游消费报告》显示,国庆假期,云 南旅游订单同比增长21%,门票订单同比增长119%,入境游订单同比增长147%,昆明入选入境 游全国15强。在昆明不难见到外国游客,他们或穿梭在公园里,欣赏滇池的湖光山色,或沉浸 在传统市场中,享受各式地道的云南美食,或在西山龙门感受历史的厚重,或在金马碧鸡坊前 拍照留念,云南省博物馆、云南民族博物馆、昆明老街、聂耳故居、篆新农贸市场等地方,都 成为外国游客的打卡地……他们从世界各地来到昆明,从相识到相知,从了解到认同,热情友 好、开放包容的昆明,令他们流连忘返。 入境游是一把“金钥匙”,依托开放带来了多重机遇,昆明在加快建设国际旅游名城方面, 潜力巨大、大有可为! (3)结合材料四,运用“文化传承与文化创新”相关知识,为昆明加快建设成为国际旅游 名城写一篇策划案。(6分) 要求:①围绕主题,明确目标;②内容丰富,创意独特;③学科术语使用规范;④总字数 在200字左右。 7 / 818.(9分)阅读材料,完成下列要求。 2024年8月23日,中央政治局审议通过了《进一步推动西部大开发形成新格局的若干政策 措施》。 1999年国家正式提出“西部大开发战略”,该战略实施20多年来,西部地区开放水平不断 提升,特别是党的十八大以来,西部地区主动融入共建“一带一路”,增强联动效应。中欧班 列作为共建“一带一路”的标志性品牌,2024年1-8月累计开行1.3万列,发送货物139.9万 标箱,同比分别增长12%和11%,开创了亚欧国际运输新格局,推动西部地区扩大国际经贸合作。 从运输品中可以看到,中欧班列运输的服装、家具、家电等外贸“老三样”焕发新生机,新能 源汽车、锂电池、光伏产品等外贸“新三样”展现新优势。中欧班列、中老铁路等一批高水平 开放项目落地,自贸试验区、综合保税区、中外合作产业园区、跨境经济合作区等平台持续发 力,区际经济合作全面加强,推动构建高水平开放格局。 今天的西部,正从开放末梢加快走向前沿。 结合材料,运用《当代国际政治与经济》的知识,说明西部地区从开放末梢加快走向前沿 的重要意义。(9分) 19.(10分)阅读材料,完成下列要求。 A葡萄酒有限公司多次接到消费者投诉,称其购买的该公司生产的葡萄酒存在口感不佳,标 签标注的生产日期、品名信息不清晰不规整等问题。经 A葡萄酒有限公司调查鉴定,被投诉产 品属B商贸有限公司生产的贴有假冒A葡萄酒有限公司“云南红”“柔红”注册商标的产品。为 维护自己的合法权益,A葡萄酒有限公司将B商贸有限公司诉至法院。 结合材料,运用《法律与生活》知识,分析法院应如何判决并说明判决理由,以及该案例 的典型意义。(10分) 20.(8分)阅读材料,完成下列要求。 优美素雅的贵州民间蜡染是中国西南山区极富特色的一束民间艺术之花。被文化部授予 “中国十大民间艺术家”的洪福远从事蜡染艺术设计创作多年,积累了丰富的制作经验。他敢 于打破传统的描蜡技法,另辟蹊径,促使其作品语言优美质朴,造型圆润丰满,色彩和谐鲜丽, 充满孩童般稚气、天真,含有无穷魅力;其蜡染图案组合的节奏感、韵律感和常常出奇制胜的 移花接木、张冠李戴、偷梁换柱等手法十分惹人喜爱,作品中随处可见鱼的身子、蝴蝶的翅膀、 鸟的头脑。为了满足多层次、多风格的欣赏需要,洪先生在贵州民间纹样的基础上把中华传统 优秀图案与新时代新风格结合起来,通过多种表现形式,赋予神秘的青铜艺术、雄浑的汉画车 马、瑰丽的敦煌宝窟、丰富的民间技艺以新的艺术生命。 结合材料,运用逻辑与思维知识,说明洪福远的蜡染艺术设计是如何体现创新思维的。(8 分) 8 / 8