当前位置:首页>文档>黑龙江省“六校联盟”2025届高三上学期联合适应性考试化学_2024-2025高三(6-6月题库)_2025年02月试卷_0202黑龙江省“六校联盟”2025届高三上学期联合适应性考试(全科)

黑龙江省“六校联盟”2025届高三上学期联合适应性考试化学_2024-2025高三(6-6月题库)_2025年02月试卷_0202黑龙江省“六校联盟”2025届高三上学期联合适应性考试(全科)

  • 2026-03-30 17:10:54 2026-02-19 20:57:03

文档预览

黑龙江省“六校联盟”2025届高三上学期联合适应性考试化学_2024-2025高三(6-6月题库)_2025年02月试卷_0202黑龙江省“六校联盟”2025届高三上学期联合适应性考试(全科)
黑龙江省“六校联盟”2025届高三上学期联合适应性考试化学_2024-2025高三(6-6月题库)_2025年02月试卷_0202黑龙江省“六校联盟”2025届高三上学期联合适应性考试(全科)
黑龙江省“六校联盟”2025届高三上学期联合适应性考试化学_2024-2025高三(6-6月题库)_2025年02月试卷_0202黑龙江省“六校联盟”2025届高三上学期联合适应性考试(全科)
黑龙江省“六校联盟”2025届高三上学期联合适应性考试化学_2024-2025高三(6-6月题库)_2025年02月试卷_0202黑龙江省“六校联盟”2025届高三上学期联合适应性考试(全科)
黑龙江省“六校联盟”2025届高三上学期联合适应性考试化学_2024-2025高三(6-6月题库)_2025年02月试卷_0202黑龙江省“六校联盟”2025届高三上学期联合适应性考试(全科)
黑龙江省“六校联盟”2025届高三上学期联合适应性考试化学_2024-2025高三(6-6月题库)_2025年02月试卷_0202黑龙江省“六校联盟”2025届高三上学期联合适应性考试(全科)
黑龙江省“六校联盟”2025届高三上学期联合适应性考试化学_2024-2025高三(6-6月题库)_2025年02月试卷_0202黑龙江省“六校联盟”2025届高三上学期联合适应性考试(全科)
黑龙江省“六校联盟”2025届高三上学期联合适应性考试化学_2024-2025高三(6-6月题库)_2025年02月试卷_0202黑龙江省“六校联盟”2025届高三上学期联合适应性考试(全科)
黑龙江省“六校联盟”2025届高三上学期联合适应性考试化学_2024-2025高三(6-6月题库)_2025年02月试卷_0202黑龙江省“六校联盟”2025届高三上学期联合适应性考试(全科)
黑龙江省“六校联盟”2025届高三上学期联合适应性考试化学_2024-2025高三(6-6月题库)_2025年02月试卷_0202黑龙江省“六校联盟”2025届高三上学期联合适应性考试(全科)
黑龙江省“六校联盟”2025届高三上学期联合适应性考试化学_2024-2025高三(6-6月题库)_2025年02月试卷_0202黑龙江省“六校联盟”2025届高三上学期联合适应性考试(全科)
黑龙江省“六校联盟”2025届高三上学期联合适应性考试化学_2024-2025高三(6-6月题库)_2025年02月试卷_0202黑龙江省“六校联盟”2025届高三上学期联合适应性考试(全科)

文档信息

文档格式
pdf
文档大小
1.982 MB
文档页数
12 页
上传时间
2026-02-19 20:57:03

文档内容

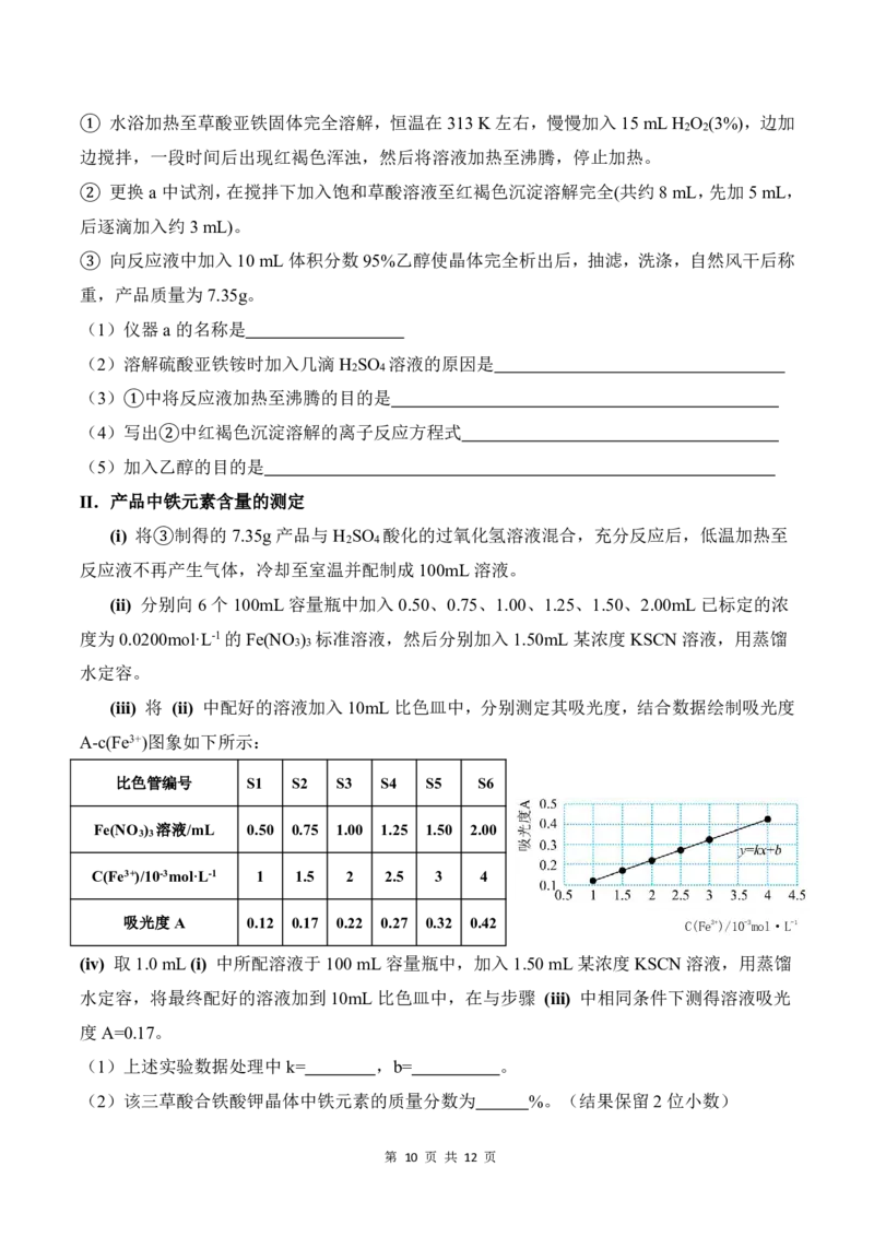
黑龙江省“六校联盟”高三年级联合适应性测试 化学 本试卷共 12页。考试结束后,将本试卷和答题卡一并交回。 注意事项: 1.答题前,考生先将自己的姓名准考证号码填写清楚,将条形码准确粘贴在考生信息条形码 粘贴区。 2.选择题必须使用 2B 铅笔填涂;非选择题必须使用 0.5毫米黑色字迹的签字笔书写,字体 工整、笔迹清楚。 3.请按照题号顺序在答题卡各题目的答题区域内作答,超出答题区域书写的答案无效;在草 稿纸、试卷上答题无效。 4.作图可先使用铅笔画出,确定后必须用黑色字迹的签字笔描黑。 5.保持卡面清洁,不要折叠,不要弄破、异皱,不准使用涂改液、修正带、刮纸刀。 可能用到的相对原子质量:H1 C12 O16 Fe 56 Na 23 Cu 64 一、选择题:本题共 15小题,每小题 3分,共 45分。在每小题给出的四个选项中,只有一 项符合题目要求。 1.五育并举,劳动先行。下列劳动内容的具体做法及所对应的化学知识合理的是( ) 选项 劳动内容 化学知识 家务劳动:擦干已洗净的铁锅以防 A 铁锅在空气中发生析氢腐蚀 生锈 社区服务:使用风油精擦去墙上的 风油精与胶水中某些成分符合“相似相 B 胶水印 溶”原理 职业体验:电工师傅将铝线和铜线 铝有耐蚀性,铜化学性质不活泼,可 C 直接相连导电 长时间使用 科技助农:牧民在草场安装太阳能 D 晶体硅硬度大,具有良好导电性 电池 2.下列各组离子在溶液中可以大量共存,且加入试剂后也能大量共存的是( ) A.Cl、Na、HCO 、SiO 2,加入过量醋酸溶液 3 3 B.Fe2、Na、Cl、NO ,通入少量SO 3 2 C.K、Al  OH    、SO 2、CO 2 ,加入少量氨水  4  4 3 D.Ag  NH    、Na、NO 、Br ,加入过量热的NaOH  3 2  3 第 1 页 共 12 页 {#{QQABDYMoxgCwgAbACD4rAUXyCUqQsJMiJWgEgVAaOARKiZNIBIA=}#}3.下列化学用语表述正确的是( ) A.NaBF 的电子式: 4 B. 的系统命名:3-羟基-1,6-己二醛 C.乙烯形成碳碳键时轨道重叠方式: D.邻羟基苯甲醛分子内的氢键示意图: 4.“冰雪同梦,亚洲同心”。近年来,火爆出圈的“冻梨摆盘”、“豆腐脑加糖”、“锅包肉剪块”、 “烤红薯配勺”等暖心之举彰显着东北人民的热情好客,而即将开幕的第九届亚冬会将再次彰显 龙江冰雪的无限魅力。下列有关说法不正确的是( ) A.冻梨变黑与多酚氧化酶有关,通常温度越低,多酚氧化酶活性越低 B.“锅包肉”在人体内发生水解的产物包括氨基酸、甘油等多种有机物 C.豆腐脑富含蛋白质,卤水豆腐脑的制作过程中涉及胶体的聚沉 D.烤红薯含有多种糖类,其中蔗糖、淀粉和纤维素都属于寡糖 5.我国某科研团队制得一种超分子功能材料,合成反应如下。下列说法正确的是( ) A.HClO 分子中3个非羟基氧吸电子,使O—H键极性增大,难电离出H+ 4 B.乙质子化后形成的阳离子嵌入甲的环内,通过离子键结合形成超分子 C.丙中N原子的杂化方式有两种,含有的化学键类型为σ键、π键、氢键 D.若将乙更换为其类似物,则可根据其阳离子大小选择空腔适合的甲的类似物 第 2 页 共 12 页 {#{QQABDYMoxgCwgAbACD4rAUXyCUqQsJMiJWgEgVAaOARKiZNIBIA=}#}6.1926年,我国化工专家侯德榜创造出的“侯氏制碱法”,结束了由美、英、法等国垄断世界 纯碱市场的时代。下图基本工业流程中有关物质的离子方程式书写正确的是( ) 电解 A.电解饱和食盐水制备NaClO 的离子方程式: Cl 4H O ClO 4H  4 2 4 2 B.侯氏制碱法制备NaHCO : NH CO H O  HCO   NH  3 3 2 2 3 4 C.少量Cl 通入NaOH溶液中: 2Cl 6OH  3ClO  Cl  3H O 2 2 2 D.少量的NaHCO 溶液与澄清石灰水混合: 3 2HCO  2OH Ca2 CaCO  CO 2 2H O 3 3 3 2 7.钠硒电池是一类以单质硒或含硒化合物为正极、金属钠为负极的新型电池,具有能量密度 大、导电率高、成本低等优点。以Cu Se填充碳纳米管作为正极材料的一种钠硒电池工作原 2-x 理如图所示,充放电过程中正极材料立方晶胞内未标出因放电产生的0价Cu 原子。下列说法 错误的是( ) A.每个Cu Se 晶胞中Cu+个数为8-8x 2-x B.已知Na Se晶胞边长为a nm,则Na 与Se之间的最短距离为 anm 2 2 C.充分放电时,正极的电极反应式为Cu Se+ 2Na+ +2e-=Na Se+(2-x)Cu 2-x 2 2 D.充电时外电路中转移l mol电子,两极质量变化差为46g 第 3 页 共 12 页 {#{QQABDYMoxgCwgAbACD4rAUXyCUqQsJMiJWgEgVAaOARKiZNIBIA=}#}8.“中国地要种中国种”。通过太空育种,“华夏东极”抚远培育出“太空超级莓”,打破了北美 对蔓越莓市场的垄断,填补了国内空白。蔓越莓成为当地脱贫致富的重要产业,其含有的齐墩 果酸(见下图)具有抗炎、抗肿瘤和抗癌活性的药用价值,下列说法正确的是( ) A.齐墩果酸能发生的反应类型有加成反应、消去反应、取代反应和水解反应 B.等物质的量的齐墩果酸分别与足量的Na和NaHCO 反应,生成气体体积比为2:1 3 C.齐墩果酸能使酸性KMnO 溶液褪色,证明分子中存在碳碳双键 4 D.一个齐墩果酸分子中手性碳原子的的数目为8 9.一种光学晶体的结构如图所示 ,其中,X、Y、Z、W是原子序数依次增大的 短周期主族元素,基态Y原子核外电子有5种空间运动状态。以W、Y 的单质为起点均能实 现下列物质间的直接转化: W或Y单质O 2氧化物aO 2氧化物bH 2O酸c 下列推断一定正确的是( ) A.基态原子的第一电离能:Z>Y>W B.简单氢化物的沸点:Z>Y>W C.简单阴离子半径大小顺序为XEC>EG D.有水存在时EG与EO 可以合成通式为(C H O) ·C H O 的高分子聚合物 2 4 n 2 6 2 11.若阿伏伽德罗常数的数值为 N ,下列说法正确的是( ) A A.1mol水中含有的氢键数目为2N B.碳酸乙烯酯(EC)中σ键的总数为6N A A C.44g干冰中晶胞的数目为0.25N D.1mol环氧乙烷中价电子数目为24N A A 12.实验室模拟上图中相关的制备过程,由于原料EO与CO 中不可避免的会带有微量水,因 2 此上述副反应不可避免。下列装置最适宜对产品EC进行分离提纯的是( )。 13.醇的直接转化是绿色化学十大重点研究领域之一。以碳酸二甲酯为绿色溶剂,用三苯甲醇 与二苯甲酮肟在室温下反应生成肟醚和水的合成路线如图所示,下列说法不正确的是( ) (已知:ph代表苯基C H —) 6 5 第 5 页 共 12 页 {#{QQABDYMoxgCwgAbACD4rAUXyCUqQsJMiJWgEgVAaOARKiZNIBIA=}#}物质X A.合成路线中H PW O 为催化剂 B.反应过程中存在极性键的断裂和生成 3 12 40 C.由IA 到IIA 过程中的生成物X是H O D.同分异构体B 与B’均存在顺反异构 2 14.Fe3+在水溶液中主要以水解产物[Fe(H 0) (OH) ](3-n)+(n=1,2)存在,[Fe(H 0) (OH) ](3-n)+的 2 6-x n 2 6-x n 氧化性很弱,难以将H S或HS—氧化,却易与S2—结合生成Ksp 极小的黑色Fe S 沉淀。某 2 2 3 兴趣小组的同学为了探究Fe3+与S2—反应的产物,做了如下实验,下列说法不正确的是( ) 实验1 实验2 实验3 分别将实验1和实验2中的 黑色沉淀过滤,洗涤干净, 将其置于洁净的试管中,加 入无水乙醇浸泡片刻,用滴 管吸取上层清液,将其滴入 装有蒸馏水的试管中 滴入FeCl 溶液立刻有黑 滴入Na S溶液立刻生成 3 2 色沉淀生成,继续滴入 黑色沉淀,继续滴入 FeCl 溶液,振荡试管后局 Na S溶液,振荡试管未 盛有蒸馏水的试管中液体 3 2 部有红褐色沉淀生成,黑 出现红色沉淀,黑色沉淀 均变浑浊 色沉淀增多,静置后试管 增多,静置后试管底部沉 底部只有黑色沉淀。 淀的颜色为黑色。 第 6 页 共 12 页 {#{QQABDYMoxgCwgAbACD4rAUXyCUqQsJMiJWgEgVAaOARKiZNIBIA=}#}A.实验1中在Na S 溶液过量的情况下,黑色沉淀Fe S 中存在少量的Fe(OH) ,由红褐 2 2 3 3 色沉淀消失证明Ksp(Fe(OH) )