当前位置:首页>文档>数学(九省新高考新结构卷02)(参考答案)_2024高考押题卷_62024学科网全系列_24学科网高考押题预测卷_2024年高考数学押题预测卷

数学(九省新高考新结构卷02)(参考答案)_2024高考押题卷_62024学科网全系列_24学科网高考押题预测卷_2024年高考数学押题预测卷

  • 2026-04-06 10:47:34 2026-02-22 05:51:54

文档预览

数学(九省新高考新结构卷02)(参考答案)_2024高考押题卷_62024学科网全系列_24学科网高考押题预测卷_2024年高考数学押题预测卷
数学(九省新高考新结构卷02)(参考答案)_2024高考押题卷_62024学科网全系列_24学科网高考押题预测卷_2024年高考数学押题预测卷
数学(九省新高考新结构卷02)(参考答案)_2024高考押题卷_62024学科网全系列_24学科网高考押题预测卷_2024年高考数学押题预测卷
数学(九省新高考新结构卷02)(参考答案)_2024高考押题卷_62024学科网全系列_24学科网高考押题预测卷_2024年高考数学押题预测卷
数学(九省新高考新结构卷02)(参考答案)_2024高考押题卷_62024学科网全系列_24学科网高考押题预测卷_2024年高考数学押题预测卷
数学(九省新高考新结构卷02)(参考答案)_2024高考押题卷_62024学科网全系列_24学科网高考押题预测卷_2024年高考数学押题预测卷
数学(九省新高考新结构卷02)(参考答案)_2024高考押题卷_62024学科网全系列_24学科网高考押题预测卷_2024年高考数学押题预测卷
数学(九省新高考新结构卷02)(参考答案)_2024高考押题卷_62024学科网全系列_24学科网高考押题预测卷_2024年高考数学押题预测卷

文档信息

文档格式
docx
文档大小
0.559 MB
文档页数
8 页
上传时间
2026-02-22 05:51:54

文档内容

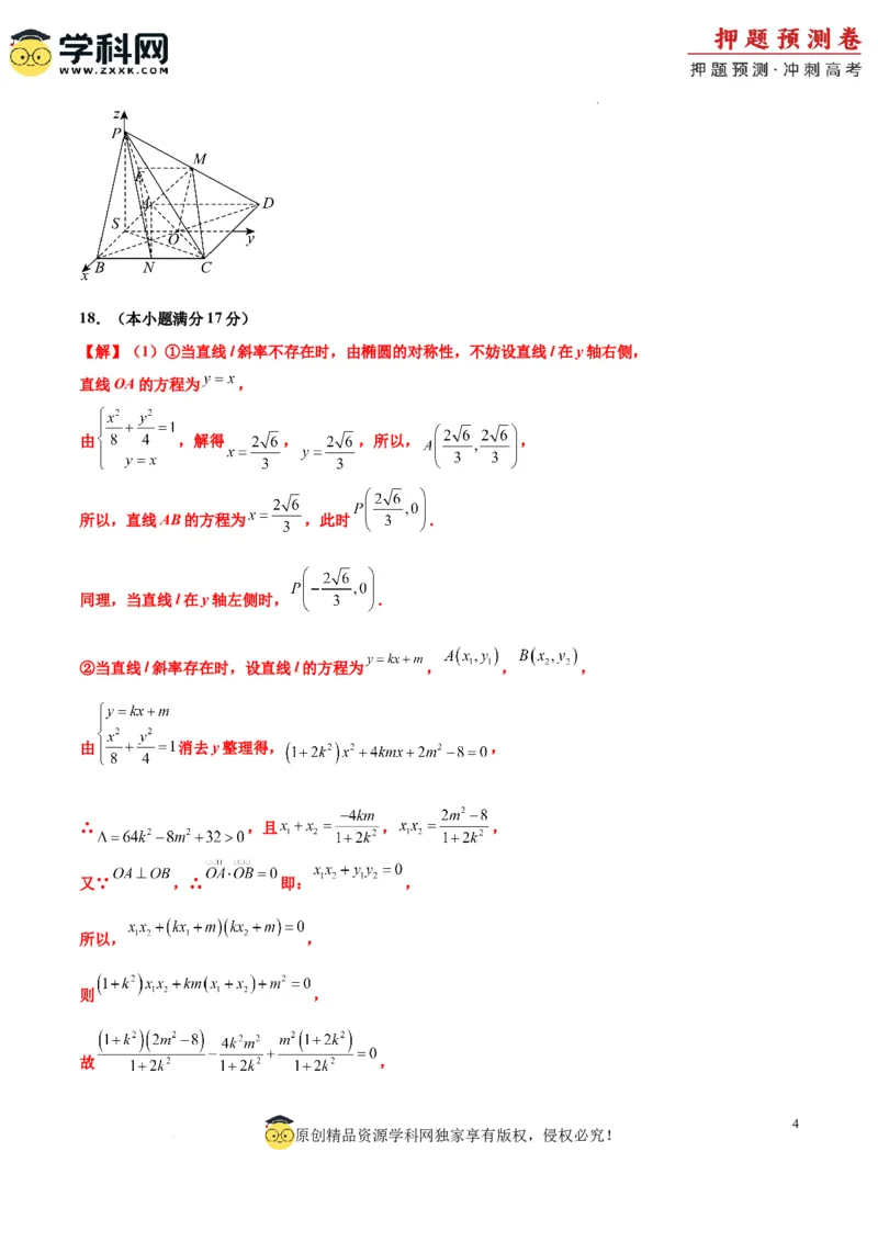
2024 年高考押题预测卷 02【新九省卷】 数学·参考答案 第一部分(选择题 共58分) 一、选择题:本题共8小题,每小题5分,共40分。在每小题给出的四个选项中,只有一项是符合题目要 求的。 1 2 3 4 5 6 7 8 D B A C D D C D 二、选择题:本题共3小题,每小题6分,共18分.在每小题给出的选项中,有多项符合题目要求.全部 选对的得6分,部分选对的得部分分,有选错的得0分. 9 10 11 AC AC AD 第二部分(非选择题 共92分) 三、填空题:本题共3小题,每小题5分,共15分。 13.11 13. 14. 四、解答题:本题共5小题,共77分。解答应写出文字说明、证明过程或演算步棸。 15.(本小题满分13分) 【解】(1)由于 的斜率为 ,所以 , 又 ,故 ,解得 , (2)由(1)知 ,所以 , 故当 时, 单调递增, 当 时, 单调递减, 1 原创精品资源学科网独家享有版权,侵权必究! 学科网(北京)股份有限公司故当 时, 取最小值 , 要使 恒成立,故 ,解得 , 故 的取值范围为 16.(本小题满分15分) 【解】(1)由题知:各组频率分别为:0.15,0.25,0.3,0.2,0.1, 日均阅读时间的平均数为: (分钟) (2)由题意,在[60,80),[80,100),[100,120]三组分别抽取3,2,1人 的可能取值为:0,1,2 则 所以 的分布列为: 0 1 2 17.(本小题满分15分) 【解】(1)连接 交 与点 ,连接 ,可得平面 与平面 的交线为 , 因为 平面 , 平面 ,所以 , 又因为 为 的中点,所以点 为 的中点, 取 的中点 ,连接 ,可得 且 , 又因为 为 的中点,可得 且 , 所以 且 ,所以四边形 为平行四边形,所以 , 2 原创精品资源学科网独家享有版权,侵权必究! 学科网(北京)股份有限公司又因为 平面 ,且 平面 ,所以 平面 . (2)取 的中点 ,连结 , 因为 ,可得 ,且 , 又因为 ,且 , 所以 ,所以 , 又因为 ,且 平面 ,所以 平面 , 以 为坐标原点,建立如图所示的空间直角坐标系 , 可得 , 因为 为 的中点, 为 的中点,可得 , 则 , 设 是平面 的法向量,则 , 取 ,可得 ,所以 , 设 是平面 的法向量,则 , 取 ,可得 ,所以 ; 设平面 与平面 的夹角为 ,则 , 即平面 与平面 的夹角的余弦值为 . 3 原创精品资源学科网独家享有版权,侵权必究! 学科网(北京)股份有限公司18.(本小题满分17分) 【解】(1)①当直线l斜率不存在时,由椭圆的对称性,不妨设直线l在y轴右侧, 直线OA的方程为 , 由 ,解得 , ,所以, , 所以,直线AB的方程为 ,此时 . 同理,当直线l在y轴左侧时, . ②当直线l斜率存在时,设直线l的方程为 , , , 由 消去y整理得, , ∴ ,且 , , 又∵ ,∴ 即: , 所以, , 则 , 故 , 4 原创精品资源学科网独家享有版权,侵权必究! 学科网(北京)股份有限公司所以 满足 , 所以, . 综上, ,所以,点P的轨迹方程为 . (2)①由(1)可知,当直线l斜率不存在或斜率为0时, . ②当直线l斜率存在且不为0时, , ∵ ,∴ ,当且仅当 ,即 等号成立. ∴ ,∴ , ∴ , 综上, . 5 原创精品资源学科网独家享有版权,侵权必究! 学科网(北京)股份有限公司19.(本小题满分17分) 【解】(1) , 由题意可知 ; (2)解法一:①若 ,则 为恒等置换; ②若存在两个不同的 ,使得 ,不妨设 ,则 . 所以 ,即 为恒等置换; ③若存在唯一的 ,使得 ,不妨设 ,则 或 . 当 时,由(1)可知 为恒等置换; 同理可知,当 时, 也是恒等置换; ④若对任意的 , 则情形一: 或 或 ; 6 原创精品资源学科网独家享有版权,侵权必究! 学科网(北京)股份有限公司情形二: 或 或 或 或 或 ; 对于情形一: 为恒等置换; 对于情形二: 为恒等置换; 综上,对任意 ,存在 ,使得 为恒等置换; 解法二:对于任意 ,都有 , 所以 中,至少有一个满足 , 即使得 的 的取值可能为 . 当 分别取 时,记使得 的 值分别为 , 只需取 为 的最小公倍数即可. 所以对任意 ,存在 ,使得 为恒等置换; (3)不妨设原始牌型从上到下依次编号为1到52,则洗牌一次相当于对 作一次如下置换: ,即 其中 . 注意到各编号在置换中的如下变化: , , 7 原创精品资源学科网独家享有版权,侵权必究! 学科网(北京)股份有限公司, , , , , , , 所有编号在连续置换中只有三种循环:一阶循环2个,二阶循环2个,八阶循环48个, 注意到 的最小公倍数为8,由此可见,最少8次这样的置换即为恒等置换, 故这样洗牌最少8次就能恢复原来的牌型. 8 原创精品资源学科网独家享有版权,侵权必究! 学科网(北京)股份有限公司