当前位置:首页>文档>四川省凉山州2021年中考化学试题(原卷版)_中考真题_5.化学中考真题2015-2024年_2021年中考化学真题(83份)_凉山化学

四川省凉山州2021年中考化学试题(原卷版)_中考真题_5.化学中考真题2015-2024年_2021年中考化学真题(83份)_凉山化学

  • 2026-04-02 19:54:33 2026-02-22 07:49:30

文档预览

四川省凉山州2021年中考化学试题(原卷版)_中考真题_5.化学中考真题2015-2024年_2021年中考化学真题(83份)_凉山化学
四川省凉山州2021年中考化学试题(原卷版)_中考真题_5.化学中考真题2015-2024年_2021年中考化学真题(83份)_凉山化学
四川省凉山州2021年中考化学试题(原卷版)_中考真题_5.化学中考真题2015-2024年_2021年中考化学真题(83份)_凉山化学
四川省凉山州2021年中考化学试题(原卷版)_中考真题_5.化学中考真题2015-2024年_2021年中考化学真题(83份)_凉山化学
四川省凉山州2021年中考化学试题(原卷版)_中考真题_5.化学中考真题2015-2024年_2021年中考化学真题(83份)_凉山化学
四川省凉山州2021年中考化学试题(原卷版)_中考真题_5.化学中考真题2015-2024年_2021年中考化学真题(83份)_凉山化学
四川省凉山州2021年中考化学试题(原卷版)_中考真题_5.化学中考真题2015-2024年_2021年中考化学真题(83份)_凉山化学

文档信息

文档格式
doc
文档大小
0.257 MB
文档页数
7 页
上传时间
2026-02-22 07:49:30

文档内容

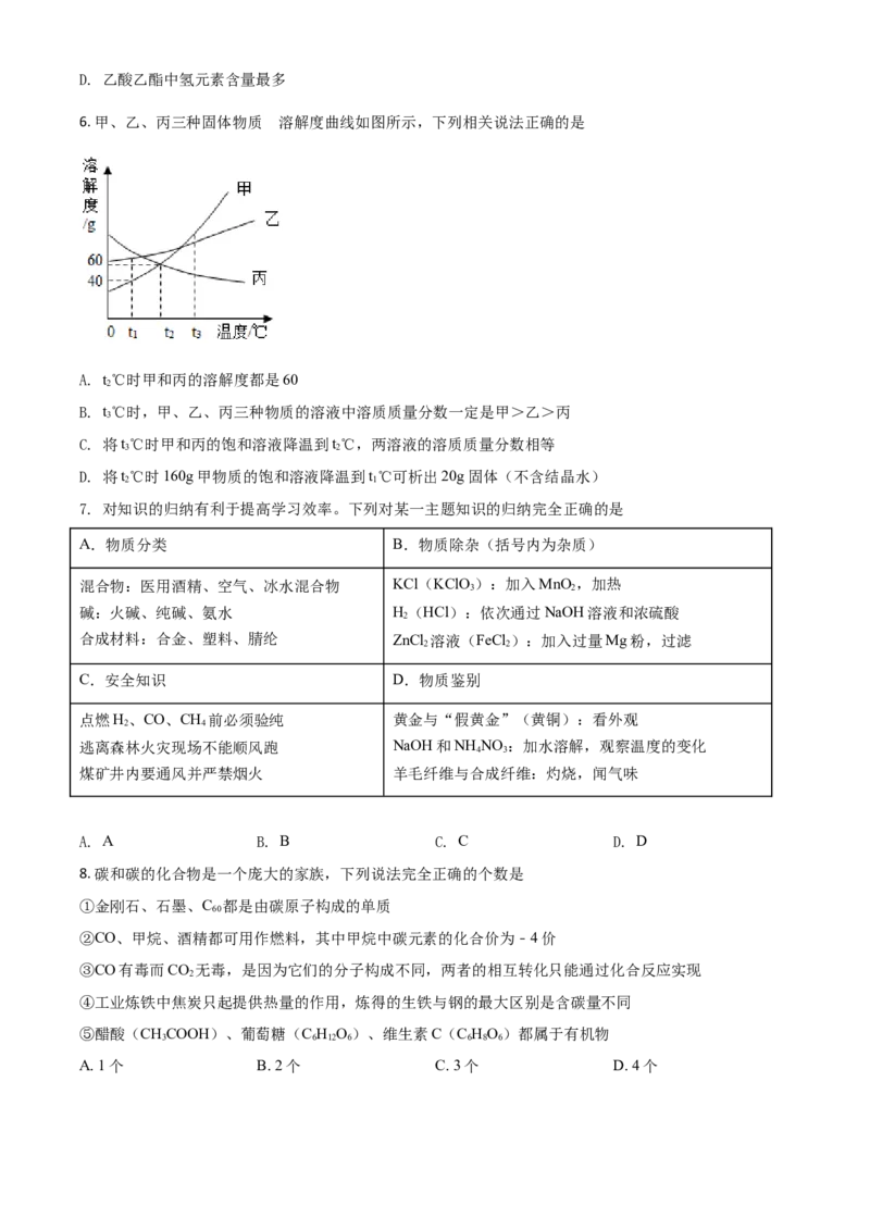
2021 年四川省凉山州中考化学试卷 一、选择题(共9小题,每小题2分,共18分,每小题只有一项是符合题意要求的。) 1. 下列物质的使用过程中发生了化学变化的是 A. 干冰降雨 B. 活性炭净水 C. 醋酸除水垢 D. 酒精清洗碘渍 2. 2021年4月22日是第52个世界地球日,主题为“珍爱地球,人与自然和谐共生”。下列说法不符合该 主题 的是 A. 农业上禁止焚烧农作物秸秆 B. 工业废水只要无色透明就可以随意排放 C. 使用可降解型塑料减少白色污染 D. 开发新能源,节能减排,力争2030年碳达峰,2060年碳中和 3. 水是生命之源,是人体六大基本营养素之一。下列有关水的说法不正确的是 A. 明矾用于净水主要起到杀菌消毒的作用 . B 肥皂水可用于鉴别硬水和软水 C. 自来水厂净水流程依次为沉淀、过滤、吸附、消毒 D. 电解水实验中电源正极和负极产生气体的体积比约为1:2 4. 汽车尾气是城市空气主要污染源,每年9月22日是世界“无车日”。汽车使用燃料通常为汽油或柴油 (主要含C、H元素,基本不含N元素),燃料与吸入的空气在发动机内反应,产生的尾气中含有CO、 NO等有害气体。目前汽车尾气处理系统中可安装催化转化器,尾气中的CO和NO在催化剂的作用下发生 反应:2CO+2NO N+2CO 。下列相关说法错误的是 2 2 A. 尾气处理时CO发生了还原反应 B. 尾气外理反应前后分子的数目发生了改变 C. 由上述资料推知氮气和氧气在一定条件下也能反应 的 D. 减少尾气污染还可通过改进发动机 燃烧方式使燃料充分燃烧 5. 我们常说“酒越陈越香”,酒在存放过程中会在微生物的作用下产生一种具有果香味的物质﹣﹣乙酸乙 酯,其化学式为C HO,下列有关乙酸乙酯的说法不正确的是 4 8 2 A. 能够闻到酒的“香味”说明了分子在不停地运动 B. 乙酸乙酯的相对分子质量为88 C. 乙酸乙酯分子由碳原子、氢原子、氧原子构成D. 乙酸乙酯中氢元素含量最多 的 6. 甲、乙、丙三种固体物质 溶解度曲线如图所示,下列相关说法正确的是 A. t℃时甲和丙的溶解度都是60 2 B. t℃时,甲、乙、丙三种物质的溶液中溶质质量分数一定是甲>乙>丙 3 C. 将t℃时甲和丙的饱和溶液降温到t℃,两溶液的溶质质量分数相等 3 2 D. 将t℃时160g甲物质的饱和溶液降温到t℃可析出20g固体(不含结晶水) 2 1 7. 对知识的归纳有利于提高学习效率。下列对某一主题知识的归纳完全正确的是 A.物质分类 B.物质除杂(括号内为杂质) 混合物:医用酒精、空气、冰水混合物 KCl(KClO):加入MnO ,加热 3 2 碱:火碱、纯碱、氨水 H(HCl):依次通过NaOH溶液和浓硫酸 2 合成材料:合金、塑料、腈纶 ZnCl 溶液(FeCl ):加入过量Mg粉,过滤 2 2 C.安全知识 D.物质鉴别 点燃H、CO、CH 前必须验纯 黄金与“假黄金”(黄铜):看外观 2 4 逃离森林火灾现场不能顺风跑 NaOH和NH NO :加水溶解,观察温度的变化 4 3 煤矿井内要通风并严禁烟火 羊毛纤维与合成纤维:灼烧,闻气味 A. A B. B C. C D. D 8. 碳和碳的化合物是一个庞大的家族,下列说法完全正确的个数是 ①金刚石、石墨、C 都是由碳原子构成的单质 60 ②CO、甲烷、酒精都可用作燃料,其中甲烷中碳元素的化合价为﹣4价 ③CO有毒而CO 无毒,是因为它们的分子构成不同,两者的相互转化只能通过化合反应实现 2 ④工业炼铁中焦炭只起提供热量的作用,炼得的生铁与钢的最大区别是含碳量不同 ⑤醋酸(CHCOOH)、葡萄糖(C H O)、维生素C(C HO)都属于有机物 3 6 12 6 6 8 6 A. 1个 B. 2个 C. 3个 D. 4个的 9. 兴趣小组对实验室制取二氧化碳 废液进行了探究,最终确认废液中的溶质为CaCl 和HCl。已知CaCl 2 2 溶液呈中性。某同学取了一定质量的该废液于烧杯中,并向其中逐滴加入NaCO 溶液,以下坐标图是他 2 3 对烧杯中物质变化情况的分析图,其中明显不合理的是 A. B. C. D. 二、填空题(化学方程式每个2分,其余每空1分,共12分) 10. 用氢、锶(Sr)等材料制成的原子钟精准度极高,常被用于卫星的精准计时。如图中图1是锶原子的原 子结构示意图。 (1)锶原子形成的离子可用符号表示为______,图1、图2中共有______种金属元素。 (2)图2中与锶原子化学性质相似的微粒符号是______,锶原子与图2中C代表的微粒形成的化合物的化 学式为______。 11. 写出一种由空气中含量最多的元素、地壳中含量最多的元素、人体中含量最多的金属元素组成的化合 物的化学式______。 12. (1)凉山州脱贫攻坚的成果为各县市带来了多种特色产业、下列凉山特色产业的产品中富含蛋白质的 是______。 A.高山露地蔬菜 B.西门达尔牛牛肉 C.特色马铃薯 D.盐源苹果(2)又是一年“端午”,粽叶飘香,在粽叶种植过程中为使其生长茂盛、叶色浓绿,可施用下列化肥中 的______。 A.KCl B.Ca (PO ) C.CO(NH ) 3 4 2 2 2 13. 2021年5月15日,我国“天问一号”探测器成功着陆火星,探测器采用了钛合金、铝合金等材料制造。 冶炼金属钛的部分流程如图: 金红石主要成分为TiO,无色气体A是一种有毒的可燃性气体,试写出①处的化学反应方程式______,氩 2 气在②处的作用是______。 14. 通过海水晒盐可得到粗盐。化学兴趣小组为了除去粗盐中难溶性杂质,进行了如图操作: (1)上述操作的正确顺序是______(填序号)。 (2)下列情况可能导致精盐产率偏低的是______(填字母代号)。 A.溶解时加入的水过少导致粗盐未溶完 B.过滤时漏斗内液面超过滤纸边缘 C.蒸发时有液体飞溅 D.所得精盐中含有少量水分 三、实验探究题(化学方程式每个2分,其余每空1分,共15分) 15. 请同学们用如图装置完成相应气体的制取。【资料】已知氨气是一种密度比空气小、极易溶于水且有刺激性气味的气体。以下两个反应均可产生氨气: ①碳酸氢铵受热分解:NH HCO HO+CO↑+NH↑ 4 3 2 2 3 ②熟石灰与氯化铵固体共热:Ca(OH)+2NHCl CaCl +2H O+2NH ↑ 2 4 2 2 3 【解决问题】 (1)实验室若用加热熟石灰与氯化铵固体混合物的方法制氨气,其发生装置可选用上述装置中的______ (填字母代号),在用D装置收集氨气时可在a端放置一团蘸有酚酞试液的湿棉花,以便______。在选择 制取氨气的反应原理时,选用反应②而不选用反应①的理由是______。 (2)上述装置中X仪器的名称为______,请写出一个用A装置制氧气的反应的化学方程式______。 16. 某化学兴趣小组以A装置为核心装置设计了如图系列实验:(固定装置的仪器已省略) 按如图所示连接仪器,检查整套装置的气密性良好,添加药品,固定装置,进行实验。 (1)关闭K,打开K,将HO 溶液缓缓滴入锥形瓶中,待D装置中出现连续均匀气泡时点燃C装置中 2 1 2 2 的酒精灯,观察到V型管内a处的硫燃烧,现象是______,试写出在D装置中反应的化学方程式______, 待V型管内的硫燃尽后仍要继续通一段时间的氧气,目的是______。 (2)打开K,关闭K,继续将HO 溶液缓慢滴入锥形瓶,观察到装置E中______(填现象),说明氢氧 2 1 2 2 化钠和稀盐酸一定发生了反应。 (3)兴趣小组有同学提出疑问:E装置内反应后的废液中除酚酞以外还有哪些溶质呢?请你一起参与探究。【作出猜想】 猜想一:NaCl 猜想二:NaCl和NaOH 猜想三:______。 【分析】以上有一种猜想一定错误,请写出错误猜想的序号及错误理由______。 【资料】NaCl的水溶液呈中性。 【设计并进行实验】排除了错误猜想后,为了验证其余猜想,同学们进行了如下实验: 实验操作 实验现象 实验结论 取少量E装置中的废液于试管中, ______ 猜想三正确 并向其中加入______。 【交流反思】该废液未经处理不能随意倒入水池。 四、计算题 17. 某石灰水中含有氢氧化钙1.48g,要使该石灰水中的氢氧化钙全部转化为碳酸钙沉淀,至少需要二氧化 碳的质量是多少?